Table
of Content
Donnerstag, 13. Juni 2019
22:31
·
MFN_Notes from March
(First test measurements)
·
MFN First Measurement Plan (+10deg)
·
MFN Measurements (0deg) perp
·
measurements at 90deg (static field)
o Analyzing Field Dependence (static)
·
Measurements while sweeping field
m:
MFN_
Samstag, 1. Juni 2019
13:05
|
|
||||||||||||
|
|
||||||||||||
|
|
|
||||||||||||
|
|
|
||||||||||||
|
|
|
||||||||||||
|
|
|
||||||||||||
|
|
||||||||||||
|
|
|
||||||||||||
|
|
||||||||||||
|
|
||||||||||||
|
|
||||||||||||
|
|
||||||||||||
|
|
||||||||||||
|
|
||||||||||||
|
|
|
MFN_Notes
from March
Tuesday, 4. June
2019
11:43
See
Testing Noise
Measurements in
Angles_Hloop

MFN
First Measurement Plan (+10deg)
Samstag, 1. Juni 2019
13:05
|
Structure |
SR785 |
|
Plusses
(1 - 13) |
|
|
Empty
Cross |
1/f
noise function in origin
Mittwoch, 5. Juni 2019
18:32

![]()

Angle:
+10deg / SA: SR785
![]()
![]()
![]()
![]()
![]()
![]()
![]()
![]()
![]()
![]()
Samstag, 1. Juni 2019
13:05
![]()
![]()
![]()
![]()
![]()
![]()
![]()
![]()
![]()

![]()
m260: Plusses_MFN_T=30K_0.5T
Samstag, 1. Juni 2019
13:05
|
|
||||
|
|
|
||||
|
|
|
||||
|
|
|
||||
|
|
R12 = 132/1000*50 = 6,6 R13 = 45/1000*10 = 0,45 |
||||
|
|
|
||||
|
|
||||
|
|
||||
|
|
||||
|
|
||||
|
<<m260_First_MFN_SR785.dat>> |
||||
|
|
||||
|
|
|
![]()
![]()
![]()
![]()
![]()
![]()
![]()
![]()
![]()
![]()
![]()
![]()

![]()
![]()
![]()
![]()
![]()
![]()
![]()
![]()
![]()
![]()
![]()
![]()
![]()
m261: Plusses_MFN_T=30K_0.5T
Samstag, 1. Juni 2019
13:05
|
|
||
|
|
|
||
|
|
|
||
|
|
|
||
|
|
R12 = 132/1000*50 = 6,6 R13 = 45/1000*10 = 0,45 |
||
|
|
|
||
|
|
||
|
|
||
|
|
||
|
|
||
|
<<m261_Longer_MFN_SR785.dat>> |
||
|
|
||
|
|
|
m262: Plusses_MFN_T=30K_0.5T I = 2.5μA
Samstag, 1. Juni 2019
13:05
|
|
||||||
|
|
|
||||||
|
|
|
||||||
|
|
|
||||||
|
|
R12 = 132/1000*50 = 6,6 R13 = 45/1000*10 = 0,45 |
||||||
|
|
|
||||||
|
|
||||||
|
|
||||||
|
|
||||||
|
|
||||||
|
<<m262_Plusses_MFN_SR785_second_empty_cross_5-10.dat>> |
||||||
|
|
||||||
|
|
|
m263: Plusses_MFN_T=30K_0.5T I = 2μA
Samstag, 1. Juni 2019
13:05
|
|
||||||
|
|
|
||||||
|
|
|
||||||
|
|
|
||||||
|
|
R12 = 132/1000*50 = 6,6 R13 = 45/1000*10 = 0,45 |
||||||
|
|
|
||||||
|
|
||||||
|
|
||||||
|
|
||||||
|
|
||||||
|
<<m263_Plusses_MFN_SR785_second_empty_cross_5-10_I-2uA.dat>> |
||||||
|
|
||||||
|
|
|
m264: Plusses_MFN_T=30K_0.5T I = 1μA
Samstag, 1. Juni 2019
13:05
|
|
||||||
|
|
|
||||||
|
|
|
||||||
|
|
|
||||||
|
|
R12 = 132/1000*50 = 6,6 R13 = 45/1000*10 = 0,45 |
||||||
|
|
|
||||||
|
|
||||||
|
|
||||||
|
|
||||||
|
|
||||||
|
<<m264_Plusses_MFN_SR785_second_empty_cross_5-10_I-1uA.dat>> |
||||||
|
|
||||||
|
|
|
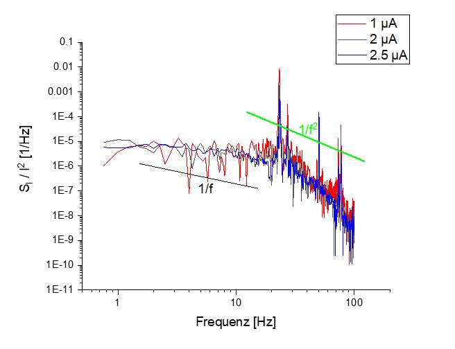
Comparing
Scaling with I^2
Samstag, 1. Juni 2019
14:43
![Machine generated alternative text:
omi
F requenz [Hz]](03_MFN-Dateien/image226.jpg)

m265:
MFN_Empty_#2_T=30K_0.5T I = 1μA
Samstag, 1. Juni 2019
13:05
|
|
||
|
|
|
||
|
|
|
||
|
|
|
||
|
|
R12 = 132/1000*50 = 6,6 R13 = 45/1000*10 = 0,45 |
||
|
|
|
||
|
|
||
|
|
||
|
|
||
|
|
||
|
<<m265_MFN_SR785_second_empty_cross_alone_5-10_I-1uA.dat>> |
||
|
|
||
|
|
|
![]()
![]()
![]()
![]()
![]()
![]()
m266:
MFN_Empty_Gradio_T=30K_0.5T I = 2.5μA
Samstag, 1. Juni 2019
15:14
|
|
||
|
|
|
||
|
|
|
||
|
|
|
||
|
|
R12 = 132/1000*50 = 6,6 R13 = 45/1000*10 = 0,45 |
||
|
|
|
||
|
|
||
|
|
||
|
|
||
|
|
||
|
<<m266_MFN_SR785_empty_cross_gradio_I-2.5uA.dat>> |
||
|
|
||
|
|
|
m267: MFN_Empty_Gradio_T=30K_0.5T
I = 2μA
Samstag, 1. Juni 2019
15:14
|
|
||
|
|
|
||
|
|
|
||
|
|
|
||
|
|
R12 = 132/1000*50 = 6,6 R13 = 45/1000*10 = 0,45 |
||
|
|
|
||
|
|
||
|
|
||
|
|
||
|
|
||
|
<<m267_MFN_SR785_empty_cross_gradio_I-2uA.dat>> |
||
|
|
||
|
|
|
m268:
MFN_Empty_Gradio_T=30K_0.5T I = 1μA
Samstag, 1. Juni 2019
15:14
|
|
||
|
|
|
||
|
|
|
||
|
|
|
||
|
|
R12 = 132/1000*50 = 6,6 R13 = 45/1000*10 = 0,45 |
||
|
|
|
||
|
|
||
|
|
||
|
|
||
|
|
||
|
<<m268_MFN_SR785_empty_cross_gradio_I-1uA.dat>> |
||
|
|
||
|
|
|
m269: MFN_Empty_Gradio_T=30K_0.5T
I = 0.5μA
Samstag, 1. Juni 2019
15:14
|
|
||
|
|
|
||
|
|
|
||
|
|
|
||
|
|
R12 = 132/1000*50 = 6,6 R13 = 45/1000*10 = 0,45 |
||
|
|
|
||
|
|
||
|
|
||
|
|
||
|
|
||
|
<<m269_MFN_SR785_empty_cross_gradio_I-0.5uA.dat>> |
||
|
|
||
|
|
|
Compare
(m266 - m269)
Montag, 3. Juni 2019
16:11


m270: MFN_Empty_Gradio
tc=1ms avg=200
Samstag, 1. Juni 2019
15:14
|
|
||
|
|
|
||
|
|
|
||
|
|
|
||
|
|
R12 = 132/1000*50 = 6,6 R13 = 45/1000*10 = 0,45 |
||
|
|
|
||
|
|
||
|
|
||
|
|
||
|
|
||
|
<<m270_MFN_SR785_empty_cross_gradio_50Hz_200Avg.dat>> |
||
|
|
||
|
|
|
m271: MFN_Empty_Gradio
avg=1000 over night (15h)
Samstag, 1. Juni 2019
17:00
|
|
||
|
|
|
||
|
|
|
||
|
|
|
||
|
|
R12 = 132/1000*50 = 6,6 R13 = 45/1000*10 = 0,45 |
||
|
|
|
||
|
|
||
|
|
||
|
|
||
|
|
||
<<m271_MFN_SR830_empty_cross_gradio_night_measurement.dat>> |
<<m271_MFN_SR785_empty_cross_gradio_1000Avg.dat>> |
||
|
|
||
|
|
|

Evaluate
m271 (SR830, Vx)
Montag, 3. Juni 2019
12:31

Averaged
over 64 Spectra

128
Spectra

Averaged
over 256 Spectra
![Second Spectrum
lo-
10-8
10 10
-11
10
-12
10
[Hz]
Second Spectrum
10](03_MFN-Dateien/image372.gif)

Evaluate
m271 (SR830, Vy)
Montag, 3. Juni 2019
16:32

![Second Spectrum
10
[Hz]
Second Spectrum
10](03_MFN-Dateien/image378.gif)
Evaluate
m271 (SR785)
Montag, 3. Juni 2019
16:26


m272: MFN_Empty_Gradio_Background I=0V
Montag, 3. Juni 2019
11:21
|
|
||||||||
|
|
|
||||||||
|
|
|
||||||||
|
|
|
||||||||
|
|
R12 = 132/1000*50 = 6,6 R13 = 45/1000*10 = 0,45 |
||||||||
|
|
|
||||||||
|
|
||||||||
|
|
||||||||
|
|
||||||||
|
|
||||||||
|
<<m272_MFN_SR785_background.dat>> |
||||||||
|
|
||||||||
|
|
|
C: Changing angle (0) new Maximum 11,722 mv
Dienstag, 2. April 2019
19:01
|
Float/Ground: |
Ground |
|
AC/DC: |
AC |
|
A/A-B: |
A-B |
|
Reserve: |
Normal |
|
Source: |
Internal |
|
VH(max)
(mV) |
11,164mV |
||
|
V_H= Cos(0)*11,164
= 11,164 Before changing: 10,962 mV Measured: 11,722 mV |
||
|
|
|
||
|
|
|
||
|
|
|
||
|
|
|
·
Some Test Measurements (Scaling \w
1.75 / 2.5 V): m: MFN_noise01/02
o Background at 0 V: m: MFN_noise03 Background
o Long Measurement: m: MFN_noise04 long over night
o Go To 4 V: m:MFN_noise05 morning by Jens
o
|
2
T |
|
|
4
T |
|
|
.25
T |
|
|
.025
T |
|
|
0
T |


MFN
Measurements (0deg) perp
Donnerstag, 13. Juni 2019
22:35
m: MFN _tests before
solid measurments
|
Nr. |
Structure |
Magnetic
Field (PM) |
V_in |
Freq-Span
[Hz] |
Averages |
|
C |
1
T |
2.5
/ 1.75 |
25
/ 6 |
25 |
|
|
|
|
0 |
6 |
15 |
|
|
|
|
2.5 |
|
100 |
|
|
|
|
4 |
|
50 |
|
|
|
2
T |
|
|
|
|
|
|
4
T |
|
|
|
|
|
|
250
mT |
|
|
30 |
|
|
|
25
mT |
|
|
|
|
|
|
0
T |
|
|
|
m273:
CrossesEmpty_Parallel Hloop_(0)deg_MFN edition (Hysteresis Loop
Crosses and Empty #1)
m:
MFN _tests before solid measurments
Dienstag, 4. Juni 2019
15:51
|
|
||||||||||||||||||||||||||||||
|
|
|
||||||||||||||||||||||||||||||
|
|
|
||||||||||||||||||||||||||||||
|
|
|
||||||||||||||||||||||||||||||
|
|
|
||||||||||||||||||||||||||||||
|
|
|
||||||||||||||||||||||||||||||
|
|
||||||||||||||||||||||||||||||
|
|
||||||||||||||||||||||||||||||
|
|
||||||||||||||||||||||||||||||
|
|
||||||||||||||||||||||||||||||
|
|
||||||||||||||||||||||||||||||
|
|

m:
MFN_noise01/02
Dienstag, 4. Juni 2019
16:34
|
|
||||||||||||||||||||||||
|
|
|
||||||||||||||||||||||||
|
|
|
||||||||||||||||||||||||
|
|
|
||||||||||||||||||||||||
|
|
|
||||||||||||||||||||||||
|
|
|
||||||||||||||||||||||||
|
|
||||||||||||||||||||||||
|
|
||||||||||||||||||||||||
|
|
||||||||||||||||||||||||
|
|
||||||||||||||||||||||||
|
|
||||||||||||||||||||||||
|
|
<<noise02.dat>>
<<noise01.dat>>
m:
MFN_noise03 Background
Dienstag, 4. Juni 2019
16:34
|
|
||||||||||||||||||||||||
|
|
|
||||||||||||||||||||||||
|
|
|
||||||||||||||||||||||||
|
|
|
||||||||||||||||||||||||
|
|
|
||||||||||||||||||||||||
|
|
|
||||||||||||||||||||||||
|
|
||||||||||||||||||||||||
|
|
||||||||||||||||||||||||
|
|
||||||||||||||||||||||||
|
|
||||||||||||||||||||||||
|
<<noise03_bg.dat>> |
||||||||||||||||||||||||
|
|
m:
MFN_noise04 long over night
Dienstag, 4. Juni 2019
18:25
|
|
||||||||||||||||||||||||
|
|
|
||||||||||||||||||||||||
|
|
|
||||||||||||||||||||||||
|
|
|
||||||||||||||||||||||||
|
|
|
||||||||||||||||||||||||
|
|
|
||||||||||||||||||||||||
|
|
||||||||||||||||||||||||
|
|
||||||||||||||||||||||||
|
|
||||||||||||||||||||||||
|
|
||||||||||||||||||||||||
|
|
||||||||||||||||||||||||
|
<<noise04_SR830.dat>> <<noise04.dat>> |
||||||||||||||||||||||||
|
|
m:MFN_noise05
morning by Jens
Mittwoch, 5. Juni 2019
09:18
|
|
||||||||||||||||||||||||
|
|
|
||||||||||||||||||||||||
|
|
|
||||||||||||||||||||||||
|
|
|
||||||||||||||||||||||||
|
|
|
||||||||||||||||||||||||
|
|
|
||||||||||||||||||||||||
|
|
||||||||||||||||||||||||
|
|
||||||||||||||||||||||||
|
|
||||||||||||||||||||||||
|
|
||||||||||||||||||||||||
|
<<noise05.dat>> |
||||||||||||||||||||||||
|
|
m:
MFN_noise06 morning 2T by Jens and Mohanad
Mittwoch, 5. Juni 2019
11:36
|
|
||||||||||||||||||||||||
|
|
|
||||||||||||||||||||||||
|
|
|
||||||||||||||||||||||||
|
|
|
||||||||||||||||||||||||
|
|
|
||||||||||||||||||||||||
|
|
|
||||||||||||||||||||||||
|
|
||||||||||||||||||||||||
|
|
||||||||||||||||||||||||
|
|
||||||||||||||||||||||||
|
|
||||||||||||||||||||||||
|
<<noise06.dat>> |
||||||||||||||||||||||||
|
|
m:
MFN_noise07 _4T by Jens and Mohanad
Mittwoch, 5. Juni 2019
15:30
|
|
||||||||||||||||||||||||
|
|
|
||||||||||||||||||||||||
|
|
|
||||||||||||||||||||||||
|
|
|
||||||||||||||||||||||||
|
|
|
||||||||||||||||||||||||
|
|
|
||||||||||||||||||||||||
|
|
||||||||||||||||||||||||
|
|
||||||||||||||||||||||||
|
|
||||||||||||||||||||||||
|
|
||||||||||||||||||||||||
|
<<noise07.dat>> |
||||||||||||||||||||||||
|
|
m:
MFN_noise08 _0.25T
Mittwoch, 5. Juni 2019
16:34
|
|
||||||||||||||||||||||||||||||
|
|
|
||||||||||||||||||||||||||||||
|
|
|
||||||||||||||||||||||||||||||
|
|
|
||||||||||||||||||||||||||||||
|
|
|
||||||||||||||||||||||||||||||
|
|
|
||||||||||||||||||||||||||||||
|
|
||||||||||||||||||||||||||||||
|
|
||||||||||||||||||||||||||||||
|
|
||||||||||||||||||||||||||||||
|
|
||||||||||||||||||||||||||||||
|
<<noise08_.dat>> |
||||||||||||||||||||||||||||||
|
|
Filling He(l)
Mittwoch, 5. Juni 2019
18:16
|
Filling
date |
05.06.2019 |
|
Before
(in) |
23.23 |
|
After
(in) |
36.22 |
|
consumption |
Around 60 L |
|
Person |
MAM |
Notes:
·
'To do:
m:
MFN_noise09 _0.025T_over night
Mittwoch, 5. Juni 2019
19:05
|
|
||||||||||||||||||||||||||||||
|
|
|
||||||||||||||||||||||||||||||
|
|
|
||||||||||||||||||||||||||||||
|
|
|
||||||||||||||||||||||||||||||
|
|
|
||||||||||||||||||||||||||||||
|
|
|
||||||||||||||||||||||||||||||
|
|
||||||||||||||||||||||||||||||
|
|
||||||||||||||||||||||||||||||
|
|
||||||||||||||||||||||||||||||
|
|
||||||||||||||||||||||||||||||
|
<<noise09_.dat>> |
||||||||||||||||||||||||||||||
|
|
m:
MFN_noise10 _0T
Mittwoch, 5. Juni 2019
16:34
|
|
||||||||||||||||||||||||||||||
|
|
|
||||||||||||||||||||||||||||||
|
|
|
||||||||||||||||||||||||||||||
|
|
|
||||||||||||||||||||||||||||||
|
|
|
||||||||||||||||||||||||||||||
|
|
|
||||||||||||||||||||||||||||||
|
|
||||||||||||||||||||||||||||||
|
|
||||||||||||||||||||||||||||||
|
|
||||||||||||||||||||||||||||||
|
|
||||||||||||||||||||||||||||||
|
<<noise10.dat>> |
||||||||||||||||||||||||||||||
|
|
m273: CrossesEmpty_Parallel
Hloop_(0)deg_MFN edition
Donnerstag, 6. Juni 2019
10:09

|
Float/Ground: |
Ground |
|
AC/DC: |
AC |
|
A/A-B: |
A-B |
|
Reserve: |
Normal |
|
Source: |
Internal |
|
|
||||
|
|
|
||||
|
|
|
||||
|
|
|
||||
|
|
R12 = 40/1000*50 = |
||||
|
|
|
||||
|
|
||||
|
|
||||
|
<<m273_cros__emp_0deg_Hloop_down_Parallel_20190606_1000_I-7-14_GB8-1-13_GB9-2-12_GB13-6-8_Vin-2.5V_R11-1MO_C11-1_C21-6_T-30K_SR-0.5-T-min_B-1T_gate-0V_MFN edition.dat>> <<m273_cros__emp_0deg_Hloop_up_Parallel_20190606_1000_I-7-14_GB8-1-13_GB9-2-12_GB13-6-8_Vin-2.5V_R11-1MO_C11-1_C21-6_T-30K_SR-0.5-T-min_B-1T_gate-0V_MFN edition.dat>> |
||||
|
|
![]()
![]()
C: Changing angle (90) no Hall effect_MFN edition
Donnerstag, 6. Juni 2019
10:42
|
Float/Ground: |
Ground |
|
AC/DC: |
AC |
|
A/A-B: |
A-B |
|
Reserve: |
Normal |
|
Source: |
Internal |
|
VH(max)
(mV) |
11,164mV |
||
|
V_H= Cos(90)*11,164
= Before changing: 11.693 mV Measured: 0.001 mV Cos(0)=1 Cos(90)=0 |
||
|
|
|
||
|
|
|
||
|
|
|
||
|
|
|
measurements
at 90deg (static field)
Donnerstag, 6. Juni 2019
10:42

|
Nr |
Structure |
Field
(PM) [T] |
freq-span
[Hz] |
avg |
Gain |
|
C |
1 |
|
30 |
20 |
|
|
#1 |
1 |
|
|
|
|
|
#2 |
|
|
|
|
|
|
C |
4 |
|
|
|
|
|
#1 |
|
|
|
|
|
|
C |
|
+
1.5 (Long) |
|
|
|
|
C |
0 |
|
|
|
|
|
P |
|
|
|
|
|
|
P |
-9.4
mT (down) |
|
|
|
|
|
C |
|
|
|
|
|
|
P |
-2.824
mT (down) |
|
|
|
|
|
P |
-0.0063
T |
|
|
|
|
|
P |
0.01247 |
|
|
|
|
|
P |
0.015 |
|
|
|
|
|
P |
0.03 |
|
|
|
|
|
P |
-0.57246 |
+
1.5 / 0.8 (Long) |
|
|
|
|
P |
-0.10422 |
|
|
|
|
|
P |
-4 |
|
|
|
|
|
C |
-4 |
|
|
|
|
|
#1 |
-4 |
|
|
|
|
|
#2 |
-4 |
|
|
|
|
|
C |
-2.824
mT |
|
|
|
|
|
C |
-0.0063
T |
|
|
|
|
|
C |
-0.5725 |
+
1.5 (Long) |
|
|
|
|
C |
0.01247 |
|
|
|
|
|
C |
0.015 |
|
|
|
|
|
|
|
|
|
|
|
Analyzing
Field Dependence (static)
Donnerstag, 13. Juni 2019
23:48


90deg
HLoop
Friday, 7. June
2019
13:51

m274:
MFN_noise test_N11 _1T_90deg_crosses
Donnerstag, 6. Juni 2019
10:42
|
|
||||||||||||||||||||||||||||||
|
|
|
||||||||||||||||||||||||||||||
|
|
|
||||||||||||||||||||||||||||||
|
|
|
||||||||||||||||||||||||||||||
|
|
|
||||||||||||||||||||||||||||||
|
|
|
||||||||||||||||||||||||||||||
|
|
||||||||||||||||||||||||||||||
|
|
||||||||||||||||||||||||||||||
|
|
||||||||||||||||||||||||||||||
|
|
||||||||||||||||||||||||||||||
|
<<noise_Test_N11.dat>> |
||||||||||||||||||||||||||||||
|
|
m275:
MFN_noise test_N12 _1T_90deg_empty
Donnerstag, 6. Juni 2019
12:30
|
|
||||||||||||||||||||||||||||||
|
|
|
||||||||||||||||||||||||||||||
|
|
|
||||||||||||||||||||||||||||||
|
|
|
||||||||||||||||||||||||||||||
|
|
|
||||||||||||||||||||||||||||||
|
|
|
||||||||||||||||||||||||||||||
|
|
||||||||||||||||||||||||||||||
|
|
||||||||||||||||||||||||||||||
|
|
||||||||||||||||||||||||||||||
|
|
||||||||||||||||||||||||||||||
|
<<noise_Test_N12.dat>> |
||||||||||||||||||||||||||||||
|
|
m276:
MFN_noise test_N13_second_empty
Donnerstag, 6. Juni 2019
14:14
|
|
||||||||||||||||||||||||
|
|
|
||||||||||||||||||||||||
|
|
|
||||||||||||||||||||||||
|
|
|
||||||||||||||||||||||||
|
|
|
||||||||||||||||||||||||
|
|
|
||||||||||||||||||||||||
|
|
||||||||||||||||||||||||
|
|
||||||||||||||||||||||||
|
|
||||||||||||||||||||||||
|
|
||||||||||||||||||||||||
|
<<noise_Test_N13.dat>> |
||||||||||||||||||||||||
|
|
m277:
MFN_noise test_N14 _4T_crosses
Donnerstag, 6. Juni 2019
15:13
|
|
||||||||||||
|
|
||||||||||||
|
|
|
||||||||||||
|
|
|
||||||||||||
|
|
|
||||||||||||
|
|
|
||||||||||||
|
|
||||||||||||
|
|
|
||||||||||||
|
|
||||||||||||
|
|
||||||||||||
|
|
||||||||||||
|
|
||||||||||||
|
|
||||||||||||
|
|
||||||||||||
|
|
|
m:
MFN_
Freitag, 7. Juni 2019
20:26
|
|
||||||||||||
|
|
||||||||||||
|
|
|
||||||||||||
|
|
|
||||||||||||
|
|
|
||||||||||||
|
|
|
||||||||||||
|
|
||||||||||||
|
|
|
||||||||||||
|
|
||||||||||||
|
|
||||||||||||
|
|
||||||||||||
|
|
||||||||||||
|
|
||||||||||||
|
|
||||||||||||
|
|
|
m278:
MFN_4T_#1
Donnerstag, 6. Juni 2019
16:36
|
|
||||||||||||
|
|
||||||||||||
|
|
|
||||||||||||
|
|
|
||||||||||||
|
|
|
||||||||||||
|
|
|
||||||||||||
|
|
||||||||||||
|
|
|
||||||||||||
|
|
||||||||||||
|
|
||||||||||||
|
|
||||||||||||
|
|
||||||||||||
|
<<m278_empty1.dat>> |
||||||||||||
|
|
||||||||||||
|
|
|
m279:
MFN_4T_crosses_over night wide-ranging spans
Donnerstag, 6. Juni 2019
18:13
|
|
||||||||||||
|
|
||||||||||||
|
|
|
||||||||||||
|
|
|
||||||||||||
|
|
|
||||||||||||
|
|
||||||||||||
|
|
|
||||||||||||
|
|
||||||||||||
|
|
||||||||||||
|
|
||||||||||||
|
|
||||||||||||
|
<<m279_crosses_wide_spans_overnight_4T_90deg_4V.dat>> |
||||||||||||
|
|
m280:
MFN_0T_crosses_
Freitag, 7. Juni 2019
10:33
|
|
||||||||||||
|
|
||||||||||||
|
|
|
||||||||||||
|
|
|
||||||||||||
|
|
|
||||||||||||
|
|
||||||||||||
|
|
|
||||||||||||
|
|
||||||||||||
|
|
||||||||||||
|
|
||||||||||||
|
|
||||||||||||
|
|
||||||||||||
|
|
m281:
MFN_0T_Plusses_
Freitag, 7. Juni 2019
10:33
|
|
||||||||||||
|
|
||||||||||||
|
|
|
||||||||||||
|
|
|
||||||||||||
|
|
|
||||||||||||
|
|
||||||||||||
|
|
|
||||||||||||
|
|
||||||||||||
|
|
||||||||||||
|
|
||||||||||||
|
|
||||||||||||
|
|
||||||||||||
|
|
m282:
MFN_-9.4mT_Down sweep_Plusses_
Freitag, 7. Juni 2019
10:33
|
|
||||||||||||
|
|
||||||||||||
|
|
|
||||||||||||
|
|
|
||||||||||||
|
|
|
||||||||||||
|
|
||||||||||||
|
|
|
||||||||||||
|
|
||||||||||||
|
|
||||||||||||
|
|
||||||||||||
|
|
||||||||||||
|
<<m282_Plusses_-9.4mT_90deg_4V_downsweep.dat>> |
||||||||||||
|
|
m283:
MFN_-9.4mT_Down sweep_Crosses_
Freitag, 7. Juni 2019
10:33
|
|
||||||||||||
|
|
||||||||||||
|
|
|
||||||||||||
|
|
|
||||||||||||
|
|
|
||||||||||||
|
|
||||||||||||
|
|
|
||||||||||||
|
|
||||||||||||
|
|
||||||||||||
|
|
||||||||||||
|
|
||||||||||||
|
|
||||||||||||
|
|
Filling He(l)
Sonntag, 9. Juni 2019
19:38
|
Filling
date |
09.06.2019 |
|
Before
(in) |
25 |
|
After
(in) |
36.22 |
|
consumption |
|
|
Person |
MAM |
Notes:
·
'To do:
m284: PlussesCrossesEmpty_Parallel
Hloop_90deg_1T_10mTmin_MFM edition_over night_wrong sensitivity chosen_500µV
Sonntag, 9. Juni 2019
20:15

|
Float/Ground: |
Ground |
|
AC/DC: |
AC |
|
A/A-B: |
A-B |
|
Reserve: |
Normal |
|
Source: |
Internal |
|
|
||||
|
|
|
||||
|
|
|
||||
|
|
|
||||
|
|
R12 = 40/1000*50 = |
||||
|
|
|
||||
|
|
||||
|
|
||||
|
<<m284_Plusses_cros__emp_90deg_Hloop_down_Parallel_20190609_2000_I-7-14_GB8-1-13_GB9-2-12_GB13-6-8_Vin-2.5V_R11-1MO_C11-1_C21-6_T-30K_SR-10-mT-min_B-1T_gate-0V_MFN edition.dat>> <<m284_Plusses_cros__emp_90deg_Hloop_up_Parallel_20190609_2000_I-7-14_GB8-1-13_GB9-2-12_GB13-6-8_Vin-2.5V_R11-1MO_C11-1_C21-6_T-30K_SR-10-mT-min_B-1T_gate-0V_MFN edition.dat>> |
||||
|
|

Summary
until here
Montag, 10. Juni 2019
10:14

m285: PlussesCrossesEmpty_Parallel
Hloop_90deg_1T_10mTmin_MFM edition_50µV_30mTmin
Montag, 10. Juni 2019
11:23

|
Float/Ground: |
Ground |
|
AC/DC: |
AC |
|
A/A-B: |
A-B |
|
Reserve: |
Normal |
|
Source: |
Internal |
|
|
||||
|
|
|
||||
|
|
|
||||
|
|
|
||||
|
|
R12 = 40/1000*50 = |
||||
|
|
|
||||
|
|
||||
|
|
||||
|
|
||||
|
|
m286:
MFN_-2.824mT_Down sweep_Plusses_
Montag, 10. Juni 2019
13:57
|
|
||||||||||||
|
|
||||||||||||
|
|
|
||||||||||||
|
|
|
||||||||||||
|
|
|
||||||||||||
|
|
||||||||||||
|
|
|
||||||||||||
|
|
||||||||||||
|
|
||||||||||||
|
|
||||||||||||
|
|
||||||||||||
|
<<m286_Plusses_-0.02824T_90deg_4V_DS.dat>> |
||||||||||||
|
|
m287:
MFN_-0.0063T_Down sweep_Plusses_
Montag, 10. Juni 2019
15:38
|
|
||||||||||||
|
|
||||||||||||
|
|
|
||||||||||||
|
|
|
||||||||||||
|
|
|
||||||||||||
|
|
||||||||||||
|
|
|
||||||||||||
|
|
||||||||||||
|
|
||||||||||||
|
|
||||||||||||
|
|
||||||||||||
|
To do next: -0.01695
<<m287_Plusses_-0.0063T_90deg_4V_DS.dat>>
|
||||||||||||
|
m286_Plusses_-0.02824T_90deg_4V_DS.dat |
m288:
MFN_0.01247T_Down sweep_Plusses_
Montag, 10. Juni 2019
17:06
|
|
||||||||||||
|
|
||||||||||||
|
|
|
||||||||||||
|
|
|
||||||||||||
|
|
|
||||||||||||
|
|
||||||||||||
|
|
|
||||||||||||
|
|
||||||||||||
|
|
||||||||||||
|
|
||||||||||||
|
|
||||||||||||
|
To do next: -0.01695
|
||||||||||||
|
m286_Plusses_-0.02824T_90deg_4V_DS.dat |
<<m288_Plusses_0.01247T_90deg_4V_DS.dat>>
m289:
MFN_0.015T_down sweep_Plusses_
Montag, 10. Juni 2019
17:06
|
|
||||||||||||
|
|
||||||||||||
|
|
|
||||||||||||
|
|
|
||||||||||||
|
|
|
||||||||||||
|
|
||||||||||||
|
|
|
||||||||||||
|
|
||||||||||||
|
|
||||||||||||
|
|
||||||||||||
|
|
||||||||||||
|
To do next: -0.0169 <<m289_Plusses_0.015T_90deg_4V_DS.dat>> 5
|
||||||||||||
|
m286_Plusses_-0.02824T_90deg_4V_DS.dat |
m290:
MFN_0.03T_down sweep_Plusses_
Montag, 10. Juni 2019
21:52
|
|
||||||||||||
|
|
||||||||||||
|
|
|
||||||||||||
|
|
|
||||||||||||
|
|
|
||||||||||||
|
|
||||||||||||
|
|
|
||||||||||||
|
|
||||||||||||
|
|
||||||||||||
|
|
||||||||||||
|
|
||||||||||||
|
To do next: -0.01695 <<m290_Plusses_0.03T_90deg_4V_DS.dat>>
|
||||||||||||
|
m286_Plusses_-0.02824T_90deg_4V_DS.dat |
m291:
MFN_-0.57246T_down sweep_Plusses_overight
most f-spans

Montag, 10. Juni 2019
23:20
|
|
||||||||||||
|
|
||||||||||||
|
|
|
||||||||||||
|
|
|
||||||||||||
|
|
|
||||||||||||
|
|
||||||||||||
|
|
|
||||||||||||
|
|
||||||||||||
|
|
||||||||||||
|
|
||||||||||||
|
|
||||||||||||
|
<<m291_Plusses_-0.57246T_90deg_4V_DS__.dat>> |
||||||||||||
|
|
m292:
MFN_-0.10422T_down sweep_Plusses
Dienstag, 11. Juni 2019
08:00

|
|
||||||||||||
|
|
||||||||||||
|
|
|
||||||||||||
|
|
|
||||||||||||
|
|
|
||||||||||||
|
|
||||||||||||
|
|
|
||||||||||||
|
|
||||||||||||
|
|
||||||||||||
|
|
||||||||||||
|
|
||||||||||||
|
<<m292_Plusses_-0.10422T_90deg_4V_DS__.dat>> |
||||||||||||
|
|

m293:
MFN_-4T_Plusses
Dienstag, 11. Juni 2019
09:49
|
|
||||||||||||
|
|
||||||||||||
|
|
|
||||||||||||
|
|
|
||||||||||||
|
|
|
||||||||||||
|
|
||||||||||||
|
|
|
||||||||||||
|
|
||||||||||||
|
|
||||||||||||
|
|
||||||||||||
|
|
||||||||||||
|
<<m293_Plusses_-4T_90deg_4V_.dat>> |
||||||||||||
|
|

m294:
MFN_-4T_Crosses
Dienstag, 11. Juni 2019
09:49
|
|
||||||||||||
|
|
||||||||||||
|
|
|
||||||||||||
|
|
|
||||||||||||
|
|
|
||||||||||||
|
|
||||||||||||
|
|
|
||||||||||||
|
|
||||||||||||
|
|
||||||||||||
|
|
||||||||||||
|
|
||||||||||||
|
<<m294_Crosses_-4T_90deg_4V_.dat>> |
||||||||||||
|
|
To
do next
-0.01695
-0.0063
1.6E-4
0.01247
-0.57246
-4T

m295:
MFN_-4T_empty cross 6-8
Dienstag, 11. Juni 2019
14:13
|
|
||||||||||||
|
|
||||||||||||
|
|
|
||||||||||||
|
|
|
||||||||||||
|
|
|
||||||||||||
|
|
||||||||||||
|
|
|
||||||||||||
|
|
||||||||||||
|
|
||||||||||||
|
|
||||||||||||
|
|
||||||||||||
|
<<m295_empty (6-8)_-4T_90deg_4V_.dat>> |
||||||||||||
|
|
To
do next
-0.01695
-0.0063
1.6E-4
0.01247
-0.57246
-4T
Summary
until here
11 June 2019
15:54


m296:
MFN_-4T_empty cross 5-10
Dienstag, 11. Juni 2019
15:59
|
|
||||||||||||
|
|
||||||||||||
|
|
|
||||||||||||
|
|
|
||||||||||||
|
|
|
||||||||||||
|
|
||||||||||||
|
|
|
||||||||||||
|
|
||||||||||||
|
|
||||||||||||
|
|
||||||||||||
|
|
||||||||||||
|
<<m296_empty (5-10)_-4T_90deg_4V_.dat>> |
||||||||||||
|
|
To
do next
-0.01695
-0.0063
1.6E-4
0.01247
-0.57246
-4T
Summary
untill here -4T version
12 June 2019
09:42

m297:
MFN_-2.824mT_down sweep_Crosses_
Dienstag, 11. Juni 2019
17:45
|
|
||||||||||||
|
|
||||||||||||
|
|
|
||||||||||||
|
|
|
||||||||||||
|
|
|
||||||||||||
|
|
||||||||||||
|
|
|
||||||||||||
|
|
||||||||||||
|
|
||||||||||||
|
|
||||||||||||
|
<<m297_Crosses (2-12)_-0.02824T_90deg_4V_.dat>> |
||||||||||||
|
|
||||||||||||
|
|
m298:
MFN_-0.0063T_down sweep_Crosses_
Dienstag, 11. Juni 2019
20:26
|
|
||||||||||||
|
|
||||||||||||
|
|
|
||||||||||||
|
|
|
||||||||||||
|
|
|
||||||||||||
|
|
||||||||||||
|
|
|
||||||||||||
|
|
||||||||||||
|
|
||||||||||||
|
|
||||||||||||
|
|
||||||||||||
|
|
||||||||||||
|
|
m299:
MFN_-0.572500T_down sweep_Crosses_over ight wide ranging f-spans_
Dienstag, 11. Juni 2019
22:23
|
|
||||||||||||
|
|
||||||||||||
|
|
|
||||||||||||
|
|
|
||||||||||||
|
|
|
||||||||||||
|
|
||||||||||||
|
|
|
||||||||||||
|
|
||||||||||||
|
|
||||||||||||
|
|
||||||||||||
|
|
||||||||||||
|
<<m299_Crosses (2-12)_-0.572500T_90deg_4V_.dat>> |
||||||||||||
|
|
m300:
MFN_0.01247T_down sweep_Crosses_
Mittwoch, 12. Juni 2019
07:11
|
|
||||||||||||
|
|
||||||||||||
|
|
|
||||||||||||
|
|
|
||||||||||||
|
|
|
||||||||||||
|
|
||||||||||||
|
|
|
||||||||||||
|
|
||||||||||||
|
|
||||||||||||
|
|
||||||||||||
|
|
||||||||||||
|
<<m300_Crosses (2-12)_0.01247T_90deg_4V_.dat>> |
||||||||||||
|
|
m301:
MFN_0.015T_down sweep_Crosses_
Mittwoch, 12. Juni 2019
09:10
|
|
||||||||||||
|
|
||||||||||||
|
|
|
||||||||||||
|
|
|
||||||||||||
|
|
|
||||||||||||
|
|
||||||||||||
|
|
|
||||||||||||
|
|
||||||||||||
|
|
||||||||||||
|
|
||||||||||||
|
|
||||||||||||
|
<<m301_Crosses (2-12)_0.015T_90deg_4V_.dat>> |
||||||||||||
|
|

Measurements
while sweeping field
Donnerstag, 13. Juni 2019
14:06
|
From |
To |
Structures |
Sweeping
Rate [mT/min] |
Measurement |
|
+ |
·
|
Crosses |
48 |
|
|
·
|
+ |
Crosses |
48 |
|
|
+ |
·
|
Plusses |
48 |
|
|
+ |
·
|
Empty
#1 |
48 |
|
|
+ |
·
|
Plusses |
7.86 |
|
Limit
[± mT] |
Structures |
Sweeping
Rate [mT/min] |
Measurement |
. |
|
±
250 |
Plusses |
11.86 |
|
|
|
±
500 |
Plusses |
23.7 |
|
|
|
±
100 |
Plusses |
4.7 |
|
Analyzing
Field Sweeps
Freitag, 14. Juni 2019
01:25
m302_m302.1:
MFN_down sweeping 2T to -2T_ 48mTmin_measuring
MFN for Crosses
Mittwoch, 12. Juni 2019
11:13
|
|
||||||||||||
|
|
||||||||||||
|
|
|
||||||||||||
|
|
|
||||||||||||
|
|
|
||||||||||||
|
|
||||||||||||
|
|
|
||||||||||||
|
|
||||||||||||
|
|
||||||||||||
|
|
||||||||||||
|
|
||||||||||||
|
<<m302.1__VH file_sweeping 2T to -2T_48 mTmin_measuring MFN for Crosses_90deg_4V_.dat>> <<m302__MFN file_sweeping 2T to -2T_48 mTmin_measuring MFN for Crosses_90deg_4V_.dat>> |
||||||||||||
|
|
||||||||||||
|
|
m303_m303.1:
MFN_up sweeping -2T to 2T_
48mTmin_measuring MFN for Crosses
Mittwoch, 12. Juni 2019
13:27
|
|
||||||||||||
|
|
||||||||||||
|
|
|
||||||||||||
|
|
|
||||||||||||
|
|
|
||||||||||||
|
|
||||||||||||
|
|
|
||||||||||||
|
|
||||||||||||
|
|
||||||||||||
|
|
||||||||||||
|
|
||||||||||||
|
ig9b73 <<m303.1__VH file_sweeping -2T to 2T_48 mTmin_measuring MFN for Crosses_90deg_4V_.dat>> <<m303__MFN file_sweeping -2T to 2T_48 mTmin_measuring MFN for Crosses_90deg_4V_.dat>> |
||||||||||||
|
|
||||||||||||
|
|
m304_m304.1:
MFN_down sweeping -2T to 2T_
48mTmin_measuring MFN for Plusses
Mittwoch, 12. Juni 2019
15:13
|
|
||||||||||||
|
|
||||||||||||
|
|
|
||||||||||||
|
|
|
||||||||||||
|
|
|
||||||||||||
|
|
||||||||||||
|
|
|
||||||||||||
|
|
||||||||||||
|
|
||||||||||||
|
|
||||||||||||
|
|
||||||||||||
|
ig9b73 <<m304__MFN file_sweeping 2T to -2T_48 mTmin_measuring MFN for Plusses_90deg_4V_.dat>> <<m304.1__VH file_sweeping -2T to 2T_48 mTmin_measuring MFN for Plusses_90deg_4V_.dat>> |
||||||||||||
|
|
||||||||||||
|
|
Filling He(l)
Mittwoch, 12. Juni 2019
16:45
|
Filling
date |
12.06.2019 |
|
Before
(in) |
28.77 |
|
After
(in) |
36.22 |
|
consumption |
162-129=33 L |
|
Person |
MAM |
Notes:
·
'To do:
m305_m305.1:
MFN_down sweeping 2T to -2T_ 48mTmin_measuring MFN for empty cross 6-8
Mittwoch, 12. Juni 2019
17:39
|
|
||||||||||||
|
|
||||||||||||
|
|
|
||||||||||||
|
|
|
||||||||||||
|
|
|
||||||||||||
|
|
||||||||||||
|
|
|
||||||||||||
|
|
||||||||||||
|
|
||||||||||||
|
|
||||||||||||
|
|
||||||||||||
|
ig9b73 <<m305.1__VH file_sweeping 2T to - 2T_48 mTmin_measuring MFN for Empty cross 6-8_90deg_4V_.dat>> <<m305__MFN file_sweeping 2T to -2T_48 mTmin_measuring MFN for Empty cross 6-8_90deg_4V_ses20mV.dat>> |
||||||||||||
|
|
||||||||||||
|
|
m306_m306.1:
MFN_down sweeping -2T to 2T_ 7.86422mTmin_measuring MFN for
Plusses_over night wide-f-spans
Mittwoch, 12. Juni 2019
20:57
|
|
||||||||||||
|
|
||||||||||||
|
|
|
||||||||||||
|
|
|
||||||||||||
|
|
|
||||||||||||
|
|
||||||||||||
|
|
|
||||||||||||
|
|
||||||||||||
|
|
||||||||||||
|
|
||||||||||||
|
|
||||||||||||
|
ig9b73 <<m306_MFN file_sweeping 2T to -2T_7.86422 mTmin_measuring MFN for Plusses_90deg_4V_ses5mV_over night wide_f-spans.dat>> <<m306.1__VH file_sweeping 2T to -2T_7.86422 mTmin_measuring MFN for Plusses_90deg_4V_ses5mV_over night wide_f-spans.dat>> |
||||||||||||
|
|
||||||||||||
|
|
m307_m308.1:
MFN_down and up sweeping 0.25T_ 11.862mTmin_measuring MFN for Plusses
Donnerstag, 13. Juni 2019
07:37
|
|
||||||||||||
|
|
||||||||||||
|
|
|
||||||||||||
|
|
|
||||||||||||
|
|
|
||||||||||||
|
|
||||||||||||
|
|
|
||||||||||||
|
|
||||||||||||
|
|
||||||||||||
|
|
||||||||||||
|
|
||||||||||||
|
ig9b73 <<m307.1_VH file_sweeping 0.25T to -0.25T and_ 0.25T to -0.25T_11.862 mTmin_measuring MFN for Plusses_90deg_4V_ses5mV.dat>> <<m307__MFN file_sweeping 0.25T to -0.25T and_ 0.25T to -0.25T_11.862 mTmin_measuring MFN for Plusses_90deg_4V_ses5mV.dat>> |
||||||||||||
|
|
||||||||||||
|
|
m308_m308.1:
MFN_down and up sweeping 0.5T_ 23.7mTmin_measuring MFN for Plusses
Donnerstag, 13. Juni 2019
10:02
|
|
||||||||||||
|
|
||||||||||||
|
|
|
||||||||||||
|
|
|
||||||||||||
|
|
|
||||||||||||
|
|
||||||||||||
|
|
|
||||||||||||
|
|
||||||||||||
|
|
||||||||||||
|
|
||||||||||||
|
|
||||||||||||
|
ig9b73 <<m308__MFN file_sweeping 0.5T to -0.5T and_ -0.5T to 0.5T_23.7 mTmin_measuring MFN for Plusses_90deg_4V_ses5mV.dat>> <<m308.1__VH file_sweeping 0.5T to -0.5T and_ -0.5T to 0.5T_23.7 mTmin_measuring MFN for Plusses_90deg_4V_ses5mV.dat>> |
||||||||||||
|
|
||||||||||||
|
|
m309_m309.1:
MFN_down and up sweeping 0.1T_ 4.7mTmin_measuring MFN for Plusses
Donnerstag, 13. Juni 2019
11:45
|
|
||||||||||||
|
|
||||||||||||
|
|
|
||||||||||||
|
|
|
||||||||||||
|
|
|
||||||||||||
|
|
||||||||||||
|
|
|
||||||||||||
|
|
||||||||||||
|
|
||||||||||||
|
|
||||||||||||
|
|
||||||||||||
|
<<m309__MFN file_sweeping 0.1T to -0.1T and_ -0.1T to 0.1T_4.74 mTmin_measuring MFN for Plusses_90deg_4V_ses5mV.dat>> <<m309.1__VH file_sweeping 0.1T to -0.1T and_ -0.1T to 0.1T_4.74 mTmin_measuring MFN for Plusses_90deg_4V_ses5mV.dat>> |
||||||||||||
|
|
||||||||||||
|
|
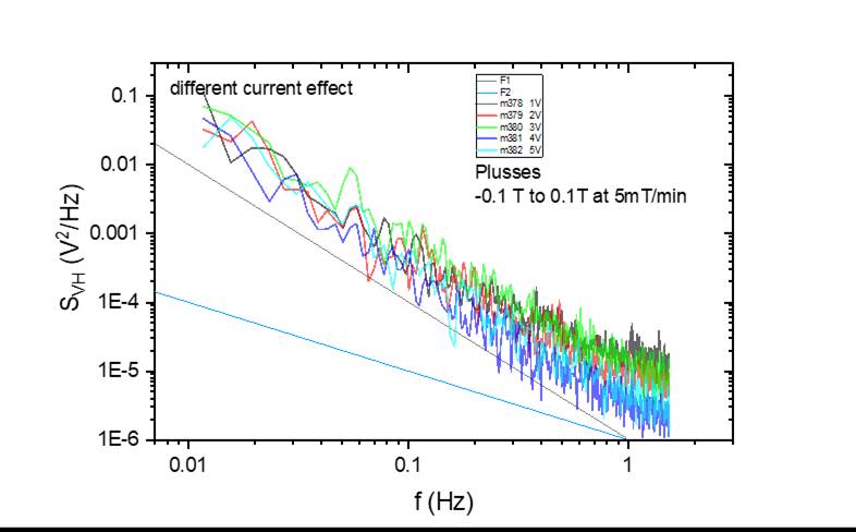
Measurement
Plan #2
Donnerstag, 13. Juni 2019
16:41
Static
Field (compare with measurements at 90deg
(static field))
|
Nr |
Struct |
Field |
PM? |
F-Span |
Avg |
Time |
|
#1
Empty |
0 |
PM |
6
/ 3 |
30 |
90
min |
|
|
|
-572.5
mT |
PM |
12
/ 6 / 3 / 1 / 0.78 |
30 |
500
min |
|
|
|
250
mT |
PM |
|
30 |
|
|
|
|
500
mT |
PM |
|
30 |
|
|
|
|
1.5
T |
PM |
|
30 |
|
|
|
|
2
T |
PM |
|
30 |
|
|
|
Crosses |
250
mT |
PM |
|
30 |
|
|
|
|
500
mT |
PM |
|
30 |
|
|
|
|
1.5
T |
PM |
|
30 |
|
|
|
|
2
T |
PM |
|
30 |
|
Sweeping
Field (compare with Measurements while
sweeping field
)
|
Nr |
Struct |
Field
From |
Field
To |
SR
[mT/min] |
F-Span |
Avg |
Time
[min] |
|
#1
Empty |
2T |
1
T |
9.434 |
1.5625 |
25 |
107 |
|
|
|
|
|
4,7 |
0.78 |
|
214 |
|
|
|
500
mT |
-500
mT |
9.4 |
1.56 |
|
107 |
|
|
|
|
|
|
4.7 |
0.78 |
|
214 |
|
|
1
T |
-1
T |
9.4 |
0.78 |
|
214 |
|
|
|
|
|
4.7 |
0.39 |
|
407 |
|
|
Crosses |
2
T |
1
T |
9.4 |
1.56 |
|
107 |
|
|
|
|
|
4.7 |
0.78 |
|
214 |
|
|
|
500
mT |
-500
mT |
9.4 |
1.56 |
|
107 |
|
|
|
|
|
4.7 |
0.78 |
|
214 |
|
|
|
1
T |
-1
T |
9.4 |
0.78 |
|
214 |
|
|
|
|
|
4.7 |
0.39 |
|
407 |
|
|
|
500
mT |
-500
mT |
9.4 |
1.56 |
25 |
107 |
|
|
|
300 |
-300 |
2.8 |
0.78 |
25 |
214 |
|
|
|
750 |
-750 |
7 |
0.78 |
25 |
214 |
|
|
|
0.1 |
0.1 |
0.093 |
0.78 |
25 |
214 |
|
|
#1
Empty |
500
mT |
-500
mT |
9.4 |
1.56 |
25 |
107 |
|
|
Plusses |
500
mT |
-500
mT |
9.4 |
1.56 |
25 |
107 |
|
|
|
50
mT |
-50
mT |
0.934 |
1.56 |
25 |
107 |
|
|
|
25
mT |
-25mT |
0.46 |
1.56 |
25 |
107 |
|
|
|
0 |
0.5 |
4.6 |
1.56 |
25 |
107 |
|
|
|
#1
Empty |
25
mT |
-25mT |
0.46 |
1.56 |
25 |
107 |
|
|
Plusses |
5mT |
-5mT |
9.3e-5 |
|
|
|
Evaluating
Field Sweeps (m320 - m329)
Dienstag, 25. Juni 2019
19:51
Evaluating
Field Sweeps (new)
Dienstag, 2. Juli 2019
08:25

Δ1T
Sweeps
Dienstag, 2. Juli 2019
08:33

Low
Fields Sweeps ( < .5 T)
Dienstag, 2. Juli 2019
08:41


Compare
Fast SR (Empty/Crosses)
Donnerstag, 27. Juni 2019
14:00
2
→ 1 T
Donnerstag, 27. Juni 2019
11:52

0.5
→ -0.5 T
Donnerstag, 27. Juni 2019
11:53

1
→ -1 T
Donnerstag, 27. Juni 2019
11:54

Evaluating
Static Fields
Dienstag, 25. Juni 2019
20:01


m310:
MFN_#1_0T_PM
Donnerstag, 13. Juni 2019
16:51
|
|
||||||||||||
|
|
||||||||||||
|
|
|
||||||||||||
|
|
|
||||||||||||
|
|
|
||||||||||||
|
|
|
||||||||||||
|
|
||||||||||||
|
|
|
||||||||||||
|
|
||||||||||||
|
|
||||||||||||
|
|
||||||||||||
|
|
||||||||||||
|
<<m310_MFN_Empty_0T.dat>> |
||||||||||||
|
|
||||||||||||
|
|
|
m311:
MFN_-0.572500T_down sweep_ Empty_over night wide ranging f-spans_
Dienstag, 11. Juni 2019
22:23
|
|
||||||||||||
|
|
||||||||||||
|
|
|
||||||||||||
|
|
|
||||||||||||
|
|
|
||||||||||||
|
|
||||||||||||
|
|
|
||||||||||||
|
|
||||||||||||
|
|
||||||||||||
|
|
||||||||||||
|
|
||||||||||||
|
<<m311_MFN_Empty_-0.572500T_down sweep_over_night.dat>> |
||||||||||||
|
|
m312:
MFN_250mT_up sweep_Empty
Freitag, 14. Juni 2019
15:00
|
|
||||||||||||
|
|
||||||||||||
|
|
|
||||||||||||
|
|
|
||||||||||||
|
|
|
||||||||||||
|
|
||||||||||||
|
|
|
||||||||||||
|
|
||||||||||||
|
|
||||||||||||
|
|
||||||||||||
|
|
||||||||||||
|
<<m312_MFN_Empty_0.25T_down sweep.dat>> <<m312_MFN_Empty_0.25T_SR785.dat>> |
||||||||||||
|
|
m313:
MFN_500mT_up sweep_Empty
Freitag, 14. Juni 2019
19:00
|
|
||||||||||||
|
|
||||||||||||
|
|
|
||||||||||||
|
|
|
||||||||||||
|
|
|
||||||||||||
|
|
||||||||||||
|
|
|
||||||||||||
|
|
||||||||||||
|
|
||||||||||||
|
|
||||||||||||
|
|
||||||||||||
|
<<m313_MFN_Empty_0.5T_SR830.dat>> <<m313_MFN_Empty_0.5T_SR785.dat>> |
||||||||||||
|
|
m314:
MFN_1.5T_up sweep_Empty
Freitag, 14. Juni 2019
22:47
|
|
||||||||||||
|
|
||||||||||||
|
|
|
||||||||||||
|
|
|
||||||||||||
|
|
|
||||||||||||
|
|
||||||||||||
|
|
|
||||||||||||
|
|
||||||||||||
|
|
||||||||||||
|
|
||||||||||||
|
|
||||||||||||
|
<<m314_MFN_Empty_1.5T_SR830_long.dat>> |
||||||||||||
|
|
Filling He(l)
Samstag, 15. Juni 2019
10:47
|
Filling
date |
15.06.2019 |
|
Before
(in) |
28.23 |
|
After
(in) |
36.22 |
|
consumption |
162-129=33 L |
|
Person |
MAM |
Notes:
·
'To do:
m315:
MFN_250mT_1.56 / 0.78 Hz_Crosses
Samstag, 15. Juni 2019
11:18
|
|
||||||||||||
|
|
||||||||||||
|
|
|
||||||||||||
|
|
|
||||||||||||
|
|
|
||||||||||||
|
|
||||||||||||
|
|
|
||||||||||||
|
|
||||||||||||
|
|
||||||||||||
|
|
||||||||||||
|
|
||||||||||||
|
<<m315_MFN_Crosses_250mT_SR785_long.dat>> |
||||||||||||
|
|
M316:
MFN_500mT_1.56 / 0.78 Hz_Crosses
16 June 2019
10:28
|
|
||||||||||||
|
|
||||||||||||
|
|
|
||||||||||||
|
|
|
||||||||||||
|
|
|
||||||||||||
|
|
||||||||||||
|
|
|
||||||||||||
|
|
||||||||||||
|
|
||||||||||||
|
|
||||||||||||
|
|
||||||||||||
|
<<m316_MFN_Crosses_500mT_SR785_long.dat>> |
||||||||||||
|
|
m317:
MFN_1.5T_1.56 / 0.78 Hz_Crosses
Sonntag, 16. Juni 2019
17:37
|
|
||||||||||||
|
|
||||||||||||
|
|
|
||||||||||||
|
|
|
||||||||||||
|
|
|
||||||||||||
|
|
||||||||||||
|
|
|
||||||||||||
|
|
||||||||||||
|
|
||||||||||||
|
|
||||||||||||
|
<<m317_MFN_Crosses_1.5T_SR785_long.dat>> |
||||||||||||
|
|
||||||||||||
|
|
m318:
MFN_2T_1.56 / 0.78 Hz_Crosses
Montag, 17. Juni 2019
00:26
|
|
||||||||||||
|
|
||||||||||||
|
|
|
||||||||||||
|
|
|
||||||||||||
|
|
|
||||||||||||
|
|
||||||||||||
|
|
|
||||||||||||
|
|
||||||||||||
|
|
||||||||||||
|
|
||||||||||||
|
|
||||||||||||
|
<<m315_MFN_Crosses_250mT_SR785_long.dat>> |
||||||||||||
|
|
m319:
MFN_2T_3.125, 1.5625, 0.78 Hz_Empty
Montag, 17. Juni 2019
07:13
|
|
||||||||||||
|
|
||||||||||||
|
|
|
||||||||||||
|
|
|
||||||||||||
|
|
|
||||||||||||
|
|
||||||||||||
|
|
|
||||||||||||
|
|
||||||||||||
|
|
||||||||||||
|
|
||||||||||||
|
|
||||||||||||
|
<<m319_MFN_Empty_2T_SR785_long.dat>> |
||||||||||||
|
|
m320:
MFN_sweep_2T-1T_ 9.4 mT/min_Empty 1.5625Hz
Montag, 17. Juni 2019
07:13
|
|
||||||||||||
|
|
||||||||||||
|
|
|
||||||||||||
|
|
|
||||||||||||
|
|
|
||||||||||||
|
|
||||||||||||
|
|
|
||||||||||||
|
|
||||||||||||
|
|
||||||||||||
|
|
||||||||||||
|
|
||||||||||||
|
<<m320_MFN_Empty_sweep_2T-1T_SR785_real.dat>> |
||||||||||||
|
|
m321:
MFN_sweep_2T-1T_4.7 mT/min_Empty_0.78Hz
Montag, 17. Juni 2019
16:24
|
|
||||||||||||
|
|
||||||||||||
|
|
|
||||||||||||
|
|
|
||||||||||||
|
|
|
||||||||||||
|
|
||||||||||||
|
|
|
||||||||||||
|
|
||||||||||||
|
|
||||||||||||
|
|
||||||||||||
|
|
||||||||||||
|
<<m321_MFN_Empty_sweep_2T-1T_SR785_real.dat>> |
||||||||||||
|
|
m322:
MFN_sweep_0.5T to-0.5T_9.4 mT/min Empty_1.5625Hz
Montag, 17. Juni 2019
19:39
|
|
||||||||||||
|
|
||||||||||||
|
|
|
||||||||||||
|
|
|
||||||||||||
|
|
|
||||||||||||
|
|
||||||||||||
|
|
|
||||||||||||
|
|
||||||||||||
|
|
||||||||||||
|
|
||||||||||||
|
|
||||||||||||
|
<<m322_MFN_Empty_sweep_500mT_9.4mTmin_SR785_real.dat>> |
||||||||||||
|
|
m322:
MFN_sweep_0.5T to-0.5T_9.4 mT/min Empty_1.5625Hz
Montag, 17. Juni 2019
19:39
|
|
||||||||||||
|
|
||||||||||||
|
|
|
||||||||||||
|
|
|
||||||||||||
|
|
|
||||||||||||
|
|
||||||||||||
|
|
|
||||||||||||
|
|
||||||||||||
|
|
||||||||||||
|
|
||||||||||||
|
|
||||||||||||
|
<<m322_MFN_Empty_sweep_500mT_9.4mTmin_SR785_real.dat>> |
||||||||||||
|
|
m323:
MFN_sweep_1T_9.4 mT/min_Empty_0.78Hz
Montag, 17. Juni 2019
21:34
|
|
||||||||||||
|
|
||||||||||||
|
|
|
||||||||||||
|
|
|
||||||||||||
|
|
|
||||||||||||
|
|
||||||||||||
|
|
|
||||||||||||
|
|
||||||||||||
|
|
||||||||||||
|
|
||||||||||||
|
|
||||||||||||
|
<<m323_MFN_Empty_sweep_1T_9.4mTmin_SR785_real.dat>> |
||||||||||||
|
|
m324:
MFN_sweep_-1T to 1T _4.7 mT/min_Empty_0.3906Hz
Dienstag, 18. Juni 2019
01:15
|
|
||||||||||||
|
|
||||||||||||
|
|
|
||||||||||||
|
|
|
||||||||||||
|
|
|
||||||||||||
|
|
||||||||||||
|
|
|
||||||||||||
|
|
||||||||||||
|
|
||||||||||||
|
|
||||||||||||
|
|
||||||||||||
|
<<m324_MFN_Empty_sweep_1T_4.7mTmin_SR785_real.dat>> |
||||||||||||
|
|
m325:
MFN_sweep_2T to 1T_4.7mT.min_Crosses_1.56 Hz
Dienstag, 18. Juni 2019
09:59
|
|
||||||||||||
|
|
||||||||||||
|
|
|
||||||||||||
|
|
|
||||||||||||
|
|
|
||||||||||||
|
|
||||||||||||
|
|
|
||||||||||||
|
|
||||||||||||
|
|
||||||||||||
|
|
||||||||||||
|
|
||||||||||||
|
<<m325_MFN_Crosses_sweep_2T to 1T_9.4mTmin_SR785___.dat>> |
||||||||||||
|
|
m326:
MFN_sweep_2T to 1T_4.7mT.min_Crosses_0.78 Hz
Dienstag, 18. Juni 2019
14:40
|
|
||||||||||||
|
|
||||||||||||
|
|
|
||||||||||||
|
|
|
||||||||||||
|
|
|
||||||||||||
|
|
||||||||||||
|
|
|
||||||||||||
|
|
||||||||||||
|
|
||||||||||||
|
|
||||||||||||
|
|
||||||||||||
|
<<m326_MFN_Crosses_sweep_2T to 1T_4.7mTmin_SR785___.dat>> |
||||||||||||
|
|
https://mems-news.mems-exchange.narkive.com/yWEVvHnN/damaging-of-boats-during-nickel-evaporation
Filling He(l)
Mittwoch, 19. Juni 2019
08:30
|
Filling
date |
19.06.2019 |
|
Before
(in) |
25.23 |
|
After
(in) |
36.22 |
|
consumption |
180-136=44 L |
|
Person |
MAM |
Notes:
·
'To do:
m327:
MFN_sweep_0.5T to -0.5T_9.4mT.min_Crosses_1.56 Hz
Mittwoch, 19. Juni 2019
09:21
|
|
||||||||||||
|
|
||||||||||||
|
|
|
||||||||||||
|
|
|
||||||||||||
|
|
|
||||||||||||
|
|
||||||||||||
|
|
|
||||||||||||
|
|
||||||||||||
|
|
||||||||||||
|
|
||||||||||||
|
|
||||||||||||
|
<<m327_MFN_Crosses_sweep_0.5T to -0.5T_9.4mTmin_SR785___.dat>> <<m327_MFN_Crosses_sweep_0.5T to -0.5T_9.4mTmin_SR785___.dat>> |
||||||||||||
|
|
m328:
MFN_sweep_0.5T to -0.5T_4.7mT.min_Crosses_0.78125 Hz
Mittwoch, 19. Juni 2019
11:20
|
|
||||||||||||
|
|
||||||||||||
|
|
|
||||||||||||
|
|
|
||||||||||||
|
|
|
||||||||||||
|
|
||||||||||||
|
|
|
||||||||||||
|
|
||||||||||||
|
|
||||||||||||
|
|
||||||||||||
|
|
||||||||||||
|
<<m328_MFN_Crosses_sweep_0.5T to -0.5T_4.7mTmin_SR785___.dat>> |
||||||||||||
|
|
Filling He(l)
Freitag, 21. Juni 2019
17:02
|
Filling
date |
21.06.2019 |
|
Before
(in) |
30.2 |
|
After
(in) |
36.22 |
|
consumption |
180-136=44 L |
|
Person |
MAM |
Notes:
·
'To do:
Filling He(l)
Dienstag, 25. Juni 2019
17:29
|
Filling
date |
25.06.2019 |
|
Before
(in) |
24 |
|
After
(in) |
36.22 |
|
consumption |
180-136=44 L |
|
Person |
MAM |
Notes:
·
'To do:
Filling He(l)
Freitag, 28. Juni 2019
16:23
|
Filling
date |
28.06.2019 |
|
Before
(in) |
29 |
|
After
(in) |
|
|
consumption |
180-136=44 L |
|
Person |
MAM |
Notes:
·
'To do:
m329: MFN_sweep_1T to -1T_9.4mT.min_Crosses_0.78
Hz
Samstag, 29. Juni 2019
11:45
|
|
||||||||||||
|
|
||||||||||||
|
|
|
||||||||||||
|
|
|
||||||||||||
|
|
|
||||||||||||
|
|
||||||||||||
|
|
|
||||||||||||
|
|
||||||||||||
|
|
||||||||||||
|
|
||||||||||||
|
|
||||||||||||
|
<<m329_MFN_Crosses_sweep_1T to -1T_9.4mTmin_SR785_0.79Hz___after fixing EVE.dat>> |
||||||||||||
|
|
Introducing
the decoupler
Thursday, 4. July
2019
19:34
<<Lab-Book-4.pdf>>
Changing
Cables
28 June 2019
14:00
Signal
Analyzer has changed the GPIB Cable.
m330: MFN_sweep_1T to
-1T_4.9mT.min_Crosses_0.39 Hz
Sonntag, 30. Juni 2019
01:30
|
|
||||||||||||
|
|
||||||||||||
|
|
|
||||||||||||
|
|
|
||||||||||||
|
|
|
||||||||||||
|
|
||||||||||||
|
|
|
||||||||||||
|
|
||||||||||||
|
|
||||||||||||
|
|
||||||||||||
|
|
||||||||||||
|
<<m330_MFN_Crosses_sweep_1T to -1T_4.9mTmin_SR785_0.39Hz__.dat>> |
||||||||||||
|
|
m331: MFN_sweep_0.5T to
-0.5T_9.4mT.min_Crosses_1.5Hz_repeated to compare
Sonntag, 30. Juni 2019
09:35
|
|
||||||||||||
|
|
||||||||||||
|
|
|
||||||||||||
|
|
|
||||||||||||
|
|
|
||||||||||||
|
|
||||||||||||
|
|
|
||||||||||||
|
|
||||||||||||
|
|
||||||||||||
|
|
||||||||||||
|
|
||||||||||||
|
<<m331_MFN_Crosses_sweep_0.5T to -0.5T_9.4mTmin_SR785_1.5Hz__.dat>> |
||||||||||||
|
|
m332: MFN_sweep_0.3T to
-0.3T_2.8mT.min_Crosses_0.78Hz
Sonntag, 30. Juni 2019
12:34
|
|
||||||||||||
|
|
||||||||||||
|
|
|
||||||||||||
|
|
|
||||||||||||
|
|
|
||||||||||||
|
|
||||||||||||
|
|
|
||||||||||||
|
|
||||||||||||
|
|
||||||||||||
|
|
||||||||||||
|
|
||||||||||||
|
<<m332_MFN_Crosses_sweep_0.3T to -0.3T_2.8mTmin_SR785_0.78Hz____.dat>> |
||||||||||||
|
|
m333: MFN_sweep_0.75T to
-0.75T_2.8mT.min_Crosses_0.78Hz
Sonntag, 30. Juni 2019
16:21
|
|
||||||||||||
|
|
||||||||||||
|
|
|
||||||||||||
|
|
|
||||||||||||
|
|
|
||||||||||||
|
|
||||||||||||
|
|
|
||||||||||||
|
|
||||||||||||
|
|
||||||||||||
|
|
||||||||||||
|
|
||||||||||||
|
<<m333_MFN_Crosses_sweep_0.75T to -0.75T_7mTmin_SR785_0.78Hz____.dat>> |
||||||||||||
|
|
m334: MFN_sweep_0.1T to
-0.1T_0.093mT.min_Crosses_0.78Hz
Sonntag, 30. Juni 2019
19:57
|
|
||||||||||||
|
|
||||||||||||
|
|
|
||||||||||||
|
|
|
||||||||||||
|
|
|
||||||||||||
|
|
||||||||||||
|
|
|
||||||||||||
|
|
||||||||||||
|
|
||||||||||||
|
|
||||||||||||
|
|
||||||||||||
|
<<m334_MFN_Crosses_sweep_0.1T to -0.1T_0.093mTmin_SR785_0.78Hz____.dat>> |
||||||||||||
|
|
m335: MFN_sweep_0.5T to
-0.5T_9.4mT.min_Empty_1.5Hz_
Montag, 1. Juli 2019
06:30
|
|
||||||||||||
|
|
||||||||||||
|
|
|
||||||||||||
|
|
|
||||||||||||
|
|
|
||||||||||||
|
|
||||||||||||
|
|
|
||||||||||||
|
|
||||||||||||
|
|
||||||||||||
|
|
||||||||||||
|
|
||||||||||||
|
<<m335_MFN_Empty_sweep_0.5T to -0.5T_9.4mTmin_SR785_1.5Hz__.dat>> |
||||||||||||
|
|
m336: MFN_sweep_0.5T to
-0.5T_9.4mT.min_Plusses_1.5Hz_
01 July 2019
08:30
|
|
||||||||||||
|
|
||||||||||||
|
|
|
||||||||||||
|
|
|
||||||||||||
|
|
|
||||||||||||
|
|
||||||||||||
|
|
|
||||||||||||
|
|
||||||||||||
|
|
||||||||||||
|
|
||||||||||||
|
|
||||||||||||
|
<<m336_MFN_Plusses_sweep_0.5T to -0.5T_9.4mTmin_SR785_1.5Hz__.dat>> |
||||||||||||
|
|
m337: MFN_sweep_0.05T to
-0.05T_0.934mT.min_Plusses_1.5Hz_
Montag, 1. Juli 2019
10:46
|
|
||||||||||||
|
|
||||||||||||
|
|
|
||||||||||||
|
|
|
||||||||||||
|
|
|
||||||||||||
|
|
||||||||||||
|
|
|
||||||||||||
|
|
||||||||||||
|
|
||||||||||||
|
|
||||||||||||
|
|
||||||||||||
|
|
||||||||||||
|
|
<<m337_MFN_Plusses_sweep_0.05T
to -0.05T_0.934mTmin_SR785_1.5Hz__.dat>>
m338: MFN_sweep_0.025T to
-0.025T_0.934mT.min_Plusses_1.5Hz_
Montag, 1. Juli 2019
13:09
|
|
||||||||||||
|
|
||||||||||||
|
|
|
||||||||||||
|
|
|
||||||||||||
|
|
|
||||||||||||
|
|
||||||||||||
|
|
|
||||||||||||
|
|
||||||||||||
|
|
||||||||||||
|
|
||||||||||||
|
|
||||||||||||
|
<<m338_MFN_Plusses_sweep_0.025T to -0.025T_0.46mTmin_SR785_1.5Hz__.dat>> |
||||||||||||
|
|
m339: MFN_sweep_0T to
-0.5T_4.6mT.min_Plusses_1.5Hz_
Montag, 1. Juli 2019
15:02
|
|
||||||||||||
|
|
||||||||||||
|
|
|
||||||||||||
|
|
|
||||||||||||
|
|
|
||||||||||||
|
|
||||||||||||
|
|
|
||||||||||||
|
|
||||||||||||
|
|
||||||||||||
|
|
||||||||||||
|
|
||||||||||||
|
<<m339_MFN_Plusses_sweep_0.5T to 0T_4.6mTmin_SR785_1.5Hz__.dat>> |
||||||||||||
|
|
m340: MFN_sweep_0.025T to
-0.025T_mT.min_Empty_1.5Hz_
01 July 2019
16:56
|
|
||||||||||||
|
|
||||||||||||
|
|
|
||||||||||||
|
|
|
||||||||||||
|
|
|
||||||||||||
|
|
||||||||||||
|
|
|
||||||||||||
|
|
||||||||||||
|
|
||||||||||||
|
|
||||||||||||
|
|
||||||||||||
|
<<m340_MFN_Empty_sweep_0.025T to -0.025T_0.46mTmin_SR785_1.5Hz__.dat>> |
||||||||||||
|
|
m341: MFN_sweep_0.005T to
-0.005T_mT.min_Plusses_1.5Hz_
Dienstag, 2. Juli 2019
16:27
|
|
||||||||||||
|
|
||||||||||||
|
|
|
||||||||||||
|
|
|
||||||||||||
|
|
|
||||||||||||
|
|
||||||||||||
|
|
|
||||||||||||
|
|
||||||||||||
|
|
||||||||||||
|
|
||||||||||||
|
|
||||||||||||
|
<<m341_MFN_Plusses_sweep_5mT to -5mT_0.093mTmin_SR785_1.5Hz_.dat>> |
||||||||||||
|
|
Filling He(l)
Dienstag, 2. Juli 2019
16:17
|
Filling
date |
02.07.2019 |
|
Before
(in) |
20 |
|
After
(in) |
|
|
consumption |
149-123=26 L |
|
Person |
MAM_JP |
Notes:
·
'To do:
Meeting Notes
Thursday, 4. July
2019
19:32
<<Lab-Book-3.pdf>>

Measurement
Plan #3_magnetic field effect
02 June 2019
17:30
Field
Sweeps (ΔB = T)
|
Nr |
Struct |
Field From |
Field To |
Hloop_branch |
SR [mT/min] |
F-Span |
Vin(V)/sens (mV)/gain |
Avg |
Time [min, Hr] |
Date |
|
Plusses |
25
mT |
-25
mT |
+Saturated |
0.11 |
1.5/0.7 |
5/5/20 |
35 |
448_7.4 |
02.07.2019 |
|
|
Plusses |
-25
mT |
25
mT |
-Saturated |
0.11 |
1.5/0.7 |
5/5/20 |
35 |
448_7.4 |
03.07.2019 |
|
|
Plusses |
-443 mT |
-611 mT |
+Saturated |
2.352 |
1.5/0.7 |
5/5/20 |
35 |
448_7.4 |
03.07.2019 |
|
|
Plusses |
-291 mT |
-443 mT |
+Saturated |
0.5 |
1.5/0.7 |
5/5/20 |
24 |
303_5 |
03.07.2019 |
|
|
Plusses |
36.56mT |
-291.13 mT |
+Saturated |
0.5 |
1.5/0.7 |
5/5/20 |
51 |
655_10.9 |
04.07.2019 |
|
|
Plusses |
-36.56mT |
-291.13 mT |
-Saturated |
0.5 |
1.5 |
5/5/20 |
153 |
652_10.9 |
04.07.2019_Thursday
night |
|
|
Empty |
36.56mT |
-291.13 mT |
-Saturated |
0.5 |
1.5 |
5/5/20 |
153 |
652_10.9 |
05.07.2019_Friday |
|
|
Empty |
-25
mT |
+25
mT |
-Saturated |
0.5 |
1.5 |
5/5/20 |
24 |
100 |
06.07.2019_midnight_Saturday |
|
|
Plusses |
-25
mT |
+25
mT |
-Saturated |
0.5 |
1.5 |
5/5/20 |
24 |
100 |
06.07.2019_Saturday_afternoon |
|
|
Plusses |
-25
mT |
25
mT |
-Saturated |
1 |
1.5 |
5/5/20 |
12 |
50 |
06.07.2019_Saturday_evening |
|
|
Plusses |
-25
mT |
25
mT |
-Saturated |
0.1 |
1.5 |
5/5/20 |
117 |
500 |
06.07.2019_Saturday_night |
|
|
Plusses |
-25
mT |
25
mT |
-Saturated |
0.25 |
1.5 |
5/5/20 |
47 |
200 |
07.07.2019_Sunday_morning |
|
|
Plusses |
-25
mT |
25
mT |
-Saturated |
2 |
1.5 |
5/5/20 |
6 |
25 |
07.07.2019_Sunday_lunch
time |


![]()
![]()
![]()
![]()
![]()
![]()
![]()
![]()
![]()
![]()
![]()
![]()
![]()
![]()
![]()
![]()
![]()
![]()
![]()
![]()

![]()

![]()
![]()

![]()
![]()
![]()
![]()
![]()
![]()
![]()
![]()
![]()
![]()
![]()
![]()
![]()
Plan 3 summary
Saturday, 7.
December 2019
21:26

HLoop
Montag, 8. Juli 2019
18:21

Evaluate
Measurement Plan #3
Montag, 8. Juli 2019
18:21

25
mT Sweeps
Montag, 8. Juli 2019
18:18


m342: MFN_Plusses_sweep after_saturation at+
1T_0.025T to -0.025T_0.111 mT.min_1.5, 0.78Hz_5V
Dienstag, 2. Juli 2019
22:41
|
|
||||||||||||
|
|
||||||||||||
|
|
|
||||||||||||
|
|
|
||||||||||||
|
|
|
||||||||||||
|
|
||||||||||||
|
|
|
||||||||||||
|
|
||||||||||||
|
|
||||||||||||
|
|
||||||||||||
|
|
||||||||||||
|
<<m342_MFN_Plusses_sweep_25mT to -25mT_at +1T saturation_Rate 0.111mTmin_SR785_1.5_0.78Hz_Vin 5V_sens 5mV .dat>> |
||||||||||||
|
|
m343: MFN_Plusses_sweep after_saturation at
-1T_0.025T to -0.025T_0.111mT.min_1.5, 0.78Hz_5V
Mittwoch, 3. Juli 2019
06:23
|
|
||||||||||||
|
|
||||||||||||
|
|
|
||||||||||||
|
|
|
||||||||||||
|
|
|
||||||||||||
|
|
||||||||||||
|
|
|
||||||||||||
|
|
||||||||||||
|
|
||||||||||||
|
|
||||||||||||
|
|
||||||||||||
|
<<m343_MFN_Plusses_sweep_-25mT to 25mT_at -1T saturation_Rate 0.111mTmin_SR785_1.5_0.78Hz_Vin 5V_sens 5mV .dat>> |
||||||||||||
|
|
m344: MFN_Plusses_sweep after_saturation at
+1T_-0.443T to -0.611T_2.352mT.min_1.5, 0.78Hz_5V_field sweeping finished
before MFN at 109min_might need to be repeated
03 July 2019
14:50
|
|
||||||||||||
|
|
||||||||||||
|
|
|
||||||||||||
|
|
|
||||||||||||
|
|
|
||||||||||||
|
|
||||||||||||
|
|
|
||||||||||||
|
|
||||||||||||
|
|
||||||||||||
|
|
||||||||||||
|
|
||||||||||||
|
<<m344_MFN_Plusses_sweep_-443mT to -611 mT_at +1T saturation_Rate 2.352mTmin_SR785_1.5_0.78Hz_Vin 5V_sens 5mV .dat>> |
||||||||||||
|
|
Important note: I found the magnetic field sweeping finished at 109 min of MFN measurement due to wrong calculattion of field range :(
![]()
m344.1: MFN_Plusses_sweep after_saturation at
+1T_-0.443T to -0.611T_0.5mT.min_1.5, 0.78Hz_5V_field_to be decided
03 July 2019
14:50
|
|
||||||||||||
|
|
||||||||||||
|
|
|
||||||||||||
|
|
|
||||||||||||
|
|
|
||||||||||||
|
|
||||||||||||
|
|
|
||||||||||||
|
|
||||||||||||
|
|
||||||||||||
|
|
||||||||||||
|
|
||||||||||||
|
|
||||||||||||
|
|
![]()
m345: MFN_Plusses_sweep after_saturation at
+1T_ -0.2913 T to -0.443 T_0.5mT.min_1.5, 0.78Hz_5V_averages 24
Mittwoch, 3. Juli 2019
22:53
|
|
||||||||||||
|
|
||||||||||||
|
|
|
||||||||||||
|
|
|
||||||||||||
|
|
|
||||||||||||
|
|
||||||||||||
|
|
|
||||||||||||
|
|
||||||||||||
|
|
||||||||||||
|
|
||||||||||||
|
|
||||||||||||
|
<<m345_MFN_Plusses_sweep_-291mT to -443 mT_at +1T saturation_Rate 0.5mTmin_SR785_1.5_0.78Hz__aver 24_Vin 5V_sens 5mV .dat>> |
||||||||||||
|
|
Important note: I tried here to adjust constant sweeping rate for magnetic field range by keeping the f-spans constant and changing only the averages.
![]()
m346: MFN_Plusses_sweep after_saturation at
+1T_ 0.03656 T to -0.2913 T_0.5mT.min_1.5, 0.78Hz_5V_averages 51
04 July 2019
07:09
|
|
||||||||||||
|
|
||||||||||||
|
|
|
||||||||||||
|
|
|
||||||||||||
|
|
|
||||||||||||
|
|
||||||||||||
|
|
|
||||||||||||
|
|
||||||||||||
|
|
||||||||||||
|
|
||||||||||||
|
|
||||||||||||
|
<<m346_MFN_Plusses_sweep_36.56mT to -291 mT_at +1T saturation_Rate 0.5mTmin_SR785_1.5_0.78Hz__aver 51_Vin 5V_sens 5mV .dat>> |
||||||||||||
|
|
![]()
m347:
MFN_Plusses_sweep after_saturation at -1T_ -0.03656 T to 0.2913 T_0.5mT.min_1.5
Hz_5V_averages 153
Donnerstag, 4. Juli 2019
23:36
|
|
||||||||||||
|
|
||||||||||||
|
|
|
||||||||||||
|
|
|
||||||||||||
|
|
|
||||||||||||
|
|
||||||||||||
|
|
|
||||||||||||
|
|
||||||||||||
|
|
||||||||||||
|
|
||||||||||||
|
|
||||||||||||
|
<<m347_MFN_Plusses_sweep_-36.56mT to +291 mT_at -1T saturation_Rate 0.5mTmin_SR785_1.5Hz__aver 153_Vin 5V_sens 5mV .dat>> |
||||||||||||
|
|
![]()
Filling He(l)
Freitag, 5. Juli 2019
12:24
|
Filling
date |
05.07.2019 |
|
Before
(in) |
27 |
|
After
(in) |
36.22 |
|
consumption |
214-123=26 L |
|
Person |
MAM |
Notes:
·
'To do:
m348: MFN_Empty_sweep after_saturation at -1T_
-0.03656 T to 0.2913 T_0.5mT.min_1.5 Hz_5V_averages 153
Freitag, 5. Juli 2019
13:00
|
|
||||||||||||
|
|
||||||||||||
|
|
|
||||||||||||
|
|
|
||||||||||||
|
|
|
||||||||||||
|
|
||||||||||||
|
|
|
||||||||||||
|
|
||||||||||||
|
|
||||||||||||
|
652 min started at 13:00 Friday Finsihed at 23:52 |
||||||||||||
|
|
||||||||||||
|
<<m348_MFN_Empty_sweep_-36.56mT to +291 mT_at -1T saturation_Rate 0.5mTmin_SR785_1.5Hz__aver 153_Vin 5V_sens 5mV .dat>> |
||||||||||||
|
|
![]()
m349: MFN_Empty_sweep after_saturation at -1T_
-0.025T to 0.025 T_0.5mT.min_1.5 Hz_5V_averages 24
Samstag, 6. Juli 2019
00:15
|
|
||||||||||||
|
|
||||||||||||
|
|
|
||||||||||||
|
|
|
||||||||||||
|
|
|
||||||||||||
|
|
||||||||||||
|
|
|
||||||||||||
|
|
||||||||||||
|
|
||||||||||||
|
100 min started at 00:07 Saturday Finsihed at |
||||||||||||
|
|
||||||||||||
|
<<m349_MFN_Empty_sweep_-25mT to +25 mT_at -1T saturation_Rate 0.5mTmin_SR785_1.5Hz__aver 24_Vin 5V_sens 5mV .dat>> |
||||||||||||
|
|
m350: MFN_Plusses_sweep after_saturation at
-1T_ -0.025T to 0.025 T_0.5mT.min_1.5 Hz_5V_averages 24
06 July 2019
15:46
|
|
||||||||||||
|
|
||||||||||||
|
|
|
||||||||||||
|
|
|
||||||||||||
|
|
|
||||||||||||
|
|
||||||||||||
|
|
|
||||||||||||
|
|
||||||||||||
|
|
||||||||||||
|
100 min started at 15:46 Saturday finished at 17:35 |
||||||||||||
|
|
||||||||||||
|
<<m350_MFN_Plusses_sweep_-25mT to +25 mT_at -1T saturation_Rate 0.5mTmin_SR785_1.5Hz__aver 24_Vin 5V_sens 5mV .dat>> |
||||||||||||
|
|
m351: MFN_Plusses_sweep after_saturation at
-1T_ -0.025T to 0.025 T_1mT.min_1.5 Hz_5V_averages 12
Samstag, 6. Juli 2019
21:37
|
|
||||||||||||
|
|
||||||||||||
|
|
|
||||||||||||
|
|
|
||||||||||||
|
|
|
||||||||||||
|
|
||||||||||||
|
|
|
||||||||||||
|
|
||||||||||||
|
|
||||||||||||
|
50 min |
||||||||||||
|
|
||||||||||||
|
<<m351_MFN_Plusses_sweep_-25mT to +25 mT_at -1T saturation_Rate 1mTmin_SR785_1.5Hz__aver 12_Vin 5V_sens 5mV .dat>> |
||||||||||||
|
|
m352: MFN_Plusses_sweep after_saturation at
-1T_ -0.025T to 0.025 T_0.1mT.min_1.5 Hz_5V_averages 117
Samstag, 6. Juli 2019
22:39
|
|
||||||||||||
|
|
||||||||||||
|
|
|
||||||||||||
|
|
|
||||||||||||
|
|
|
||||||||||||
|
|
||||||||||||
|
|
|
||||||||||||
|
|
||||||||||||
|
|
||||||||||||
|
500 min |
||||||||||||
|
|
||||||||||||
|
<<m352_MFN_Plusses_sweep_-25mT to +25 mT_at -1T saturation_Rate 0.1mTmin_SR785_1.5Hz__aver 117_Vin 5V_sens 5mV .dat>> |
||||||||||||
|
|
m353: MFN_Plusses_sweep after_saturation at
-1T_ -0.025T to 0.025 T_0.25mT.min_1.5 Hz_5V_averages 47
Sonntag, 7. Juli 2019
08:50
|
|
||||||||||||
|
|
||||||||||||
|
|
|
||||||||||||
|
|
|
||||||||||||
|
|
|
||||||||||||
|
|
||||||||||||
|
|
|
||||||||||||
|
|
||||||||||||
|
|
||||||||||||
|
200 min |
||||||||||||
|
|
||||||||||||
|
<<m353_MFN_Plusses_sweep_-25mT to +25 mT_at -1T saturation_Rate 0.25mTmin_SR785_1.5Hz__aver 47_Vin 5V_sens 5mV .dat>> |
||||||||||||
|
|
m354: MFN_Plusses_sweep after_saturation at
-1T_ -0.025T to 0.025 T_2mT.min_1.5 Hz_5V_averages 6
Sonntag, 7. Juli 2019
12:28
|
|
||||||||||||
|
|
||||||||||||
|
|
|
||||||||||||
|
|
|
||||||||||||
|
|
|
||||||||||||
|
|
||||||||||||
|
|
|
||||||||||||
|
|
||||||||||||
|
|
||||||||||||
|
25min |
||||||||||||
|
|
||||||||||||
|
<<m354_MFN_Plusses_sweep_-25mT to +25 mT_at -1T saturation_Rate 2mTmin_SR785_1.5Hz__aver 6_Vin 5V_sens 5mV .dat>> |
||||||||||||
|
|
Measurement Plan #4_Temp effect
07 July 2019
12:37
Field
Sweeps and Tamperature effect (ΔB = T)
|
Nr |
Struct |
Field From |
Field To |
Hloop_branch |
T (K) |
SR [mT/min] |
F-Span |
Vin(V)/sens (mV)/gain |
Avg |
Time [min, Hr] |
Date |
|
m355: |
Plusses |
-25
mT |
25
mT |
-Saturated |
25 |
0.5 |
1.5 |
5/5/20 |
24 |
100 |
07.07.2019_Sunday_ |
|
Plusses |
-25
mT |
25
mT |
-Saturated |
20 |
0.5 |
1.5 |
5/5/20 |
24 |
100 |
07.07.2019_Sunday_ |
|
|
Plusses |
-25
mT |
25
mT |
-Saturated |
15 |
0.5 |
1.5 |
5/5/20 |
24 |
100 |
07.07.2019_Sunday_midnight |
|
|
Plusses |
-25
mT |
25
mT |
-Saturated |
10 |
0.5 |
1.5 |
5/5/20 |
24 |
100 |
08.07.2019_Monday_early
morning |
|
|
Plusses |
-25
mT |
25
mT |
-Saturated |
5 |
0.5 |
1.5 |
5/5/20 |
24 |
100 |
08.07.2019_Monday_early
morning |

![]()
![]()
![]()
![]()
![]()
![]()
![]()
![]()
![]()
![]()
![]()
![]()
![]()
![]()
![]()
![]()
![]()
![]()
![]()

m355: MFN_Plusses_sweep after_saturation at
-1T_ -0.025T to 0.025 T_0.5mT.min_1.5 Hz_5V_averages 24_T=25K
Sonntag, 7. Juli 2019
16:43
|
|
||||||||||||
|
|
||||||||||||
|
|
|
||||||||||||
|
|
|
||||||||||||
|
|
|
||||||||||||
|
|
||||||||||||
|
|
|
||||||||||||
|
|
||||||||||||
|
|
||||||||||||
|
100min |
||||||||||||
|
|
||||||||||||
|
<<m355_MFN_Plusses_T25K_sweep_-25mT to +25 mT_at -1T saturation_Rate 0.5mTmin_SR785_1.5Hz__aver 24_Vin 5V_sens 5mV .dat>> |
||||||||||||
|
|
m356: MFN_Plusses_sweep after_saturation at
-1T_ -0.025T to 0.025 T_0.5mT.min_1.5 Hz_5V_averages 24_T=20K
Sonntag, 7. Juli 2019
22:24
|
|
||||||||||||
|
|
||||||||||||
|
|
|
||||||||||||
|
|
|
||||||||||||
|
|
|
||||||||||||
|
|
||||||||||||
|
|
|
||||||||||||
|
|
||||||||||||
|
|
||||||||||||
|
100min |
||||||||||||
|
|
||||||||||||
|
<<m356_MFN_Plusses_T20K_sweep_-25mT to +25 mT_at -1T saturation_Rate 0.5mTmin_SR785_1.5Hz__aver 24_Vin 5V_sens 5mV .dat>> |
||||||||||||
|
|
m357: MFN_Plusses_sweep after_saturation at
-1T_ -0.025T to 0.025 T_0.5mT.min_1.5 Hz_5V_averages 24_T=15K
Sonntag, 7. Juli 2019
23:26
|
|
||||||||||||
|
|
||||||||||||
|
|
|
||||||||||||
|
|
|
||||||||||||
|
|
|
||||||||||||
|
|
||||||||||||
|
|
|
||||||||||||
|
|
||||||||||||
|
|
||||||||||||
|
100min |
||||||||||||
|
|
||||||||||||
|
<<m357_MFN_Plusses_T15K_sweep_-25mT to +25 mT_at -1T saturation_Rate 0.5mTmin_SR785_1.5Hz__aver 24_Vin 5V_sens 5mV .dat>> |
||||||||||||
|
|
m358: MFN_Plusses_sweep after_saturation at
-1T_ -0.025T to 0.025 T_0.5mT.min_1.5 Hz_5V_averages 24_T=10K
Montag, 8. Juli 2019
05:02
|
|
||||||||||||
|
|
||||||||||||
|
|
|
||||||||||||
|
|
|
||||||||||||
|
|
|
||||||||||||
|
|
||||||||||||
|
|
|
||||||||||||
|
|
||||||||||||
|
|
||||||||||||
|
100min |
||||||||||||
|
|
||||||||||||
|
<<m358_MFN_Plusses_T10K_sweep_-25mT to +25 mT_at -1T saturation_Rate 0.5mTmin_SR785_1.5Hz__aver 24_Vin 5V_sens 5mV .dat>> |
||||||||||||
|
|
m359: MFN_Plusses_sweep after_saturation at
-1T_ -0.025T to 0.025 T_0.5mT.min_1.5 Hz_5V_averages 24_T=5K
Montag, 8. Juli 2019
07:11
|
|
||||||||||||
|
|
||||||||||||
|
|
|
||||||||||||
|
|
|
||||||||||||
|
|
|
||||||||||||
|
|
||||||||||||
|
|
|
||||||||||||
|
|
||||||||||||
|
|
||||||||||||
|
100min |
||||||||||||
|
|
||||||||||||
|
<<m359_MFN_Plusses_T5K_sweep_-25mT to +25 mT_at -1T saturation_Rate 0.5mTmin_SR785_1.5Hz__aver 24_Vin 5V_sens 5mV .dat>> |
||||||||||||
|
|
Measurement
Plan #5_Static field effect
![]()
08 July 2019
12:37
![]()
![]()
![]()
![]()
![]()
![]()
![]()
![]()
![]()
![]()
![]()
![]()
![]()
![]()
![]()
![]()
![]()
Static field effect
|
Nr |
Struct |
Field static at |
Hloop_branch |
T (K) |
F-Span |
Vin(V)/sens (mV)/gain |
Avg |
Time [min, Hr] |
Date |
|
Plusses |
25
mT |
-Saturated |
5 |
1.5 |
5/5/20 |
24 |
100 |
08.07.2019_Monday_ |
|
|
Plusses |
-25
mT |
+Saturated |
5 |
1.5 |
5/5/20 |
24 |
100 |
08.07.2019_Monday_ |
|
|
|
|
|
|
|
|
|
|
|
|
![]()
![]()
![]()
![]()
![]()
![]()
![]()
![]()
![]()
![]()


m360: MFN_Plusses_sweep after_saturation at
-1T_static at 0.025 T_0.5mT.min_1.5 Hz_5V_averages 24_T=5K
Montag, 8. Juli 2019
10:08
|
|
||||||||||||
|
|
||||||||||||
|
|
|
||||||||||||
|
|
|
||||||||||||
|
|
|
||||||||||||
|
|
||||||||||||
|
|
|
||||||||||||
|
|
||||||||||||
|
|
||||||||||||
|
100min |
||||||||||||
|
|
||||||||||||
|
<<m360_MFN_Plusses_T5K_static at +25 mT_at -1T saturation_SR785_1.5Hz__aver 24_Vin 5V_sens 5mV .dat>> |
||||||||||||
|
|
m361: MFN_Plusses_sweep after_saturation at
+1T_static at -0.025 T_0.5mT.min_1.5 Hz_5V_averages 24_T=5K
Montag, 8. Juli 2019
12:06
|
|
||||||||||||
|
|
||||||||||||
|
|
|
||||||||||||
|
|
|
||||||||||||
|
|
|
||||||||||||
|
|
||||||||||||
|
|
|
||||||||||||
|
|
||||||||||||
|
|
||||||||||||
|
100min |
||||||||||||
|
|
||||||||||||
|
<<m361_MFN_Plusses_T5K_static at -25 mT_at +1T saturation_SR785_1.5Hz__aver 24_Vin 5V_sens 5mV .dat>> |
||||||||||||
|
|
Measurement
Plan #6_dynamic field interval effect
![]()
![]()
![]()
![]()
![]()
![]()
![]()
08 July 2019
12:37
![]()
![]()
![]()
![]()
![]()
![]()
![]()
![]()
![]()
![]()
![]()
![]()
![]()
![]()
![]()
![]()
![]()
Dynamic field interval effect
|
Nr |
Struct |
Field From |
Field To |
Hloop_branch |
SR [mT/min] |
F-Span |
Vin(V)/sens (mV)/gain |
Avg |
Time [min, Hr] |
Date |
|
Plusses |
-50mT |
50mT |
-Saturated |
2 |
1.5 |
5/5/20 |
12 |
50 |
08.07.2019_Monday_ |
|
|
Plusses |
-75
mT |
75mT |
-Saturated |
2 |
1.5 |
5/5/20 |
18 |
75 |
08.07.2019_Monday_ |
|
|
Plusses |
-100
mT |
100mT |
-Saturated |
2 |
1.5 |
5/5/20 |
35 |
100 |
08.07.2019_Monday_ |
|
|
Plusses |
-125mT |
125mT |
-Saturated |
2 |
1.5 |
5/5/20 |
35 |
75 |
09.07.2019_Tuesday after midnight_ |
|
|
Plusses |
-150
mT |
150mT |
-Saturated |
2 |
1.5 |
5/5/20 |
35 |
150 |
09.07.2019_Early morning_ |
![]()
![]()
![]()
![]()
![]()
![]()
![]()
![]()

![]()
![]()
![]()
![]()
![]()
![]()
![]()
![]()
![]()
![]()
![]()
![]()
![]()
![]()
![]()
![]()
![]()
![]()
![]()
![]()
![]()
![]()
![]()
![]()
![]()
![]()
![]()
![]()
![]()
![]()
![]()
![]()
![]()
![]()
![]()
![]()
![]()
![]()
![]()
![]()
![]()
![]()
![]()
![]()
![]()
![]()
![]()
![]()
![]()
![]()
![]()
![]()
![]()
![]()
![]()
![]()
![]()
![]()
![]()
![]()
![]()
![]()
![]()
![]()
![]()
![]()
![]()
![]()
![]()
![]()
![]()
![]()
![]()
![]()
![]()
![]()
![]()
![]()
![]()
![]()
![]()

![]()
![]()
![]()
m362: MFN_Plusses_sweep after_saturation at
-1T_ -0.05T to 0.05 T_2mT.min_1.5 Hz_5V_averages 12_T=5K
08 July 2019
14:41
|
|
||||||||||||
|
|
||||||||||||
|
|
|
||||||||||||
|
|
|
||||||||||||
|
|
|
||||||||||||
|
|
||||||||||||
|
|
|
||||||||||||
|
|
||||||||||||
|
|
||||||||||||
|
50min |
||||||||||||
|
|
||||||||||||
|
<<m362_MFN_Plusses_T5K_sweep_-50mT to +50 mT_at -1T saturation_Rate 2mTmin_SR785_1.5Hz__aver 12_Vin 5V_sens 5mV .dat>> |
||||||||||||
|
|
Filling He(l)
Montag, 8. Juli 2019
16:12
|
Filling
date |
08.07.2019 |
|
Before
(in) |
27 |
|
After
(in) |
36.22 |
|
consumption |
214-123=26 L |
|
Person |
MAM |
Notes:
·
'To do:
m363: MFN_Plusses_sweep after_saturation at
-1T_ -0.075T to 0.075 T_2mT.min_1.5 Hz_5V_averages 18_T=5K
Montag, 8. Juli 2019
16:25
|
|
||||||||||||
|
|
||||||||||||
|
|
|
||||||||||||
|
|
|
||||||||||||
|
|
|
||||||||||||
|
|
||||||||||||
|
|
|
||||||||||||
|
|
||||||||||||
|
|
||||||||||||
|
75min |
||||||||||||
|
|
||||||||||||
|
<<m363_MFN_Plusses_T5K_sweep_-75mT to +75 mT_at -1T saturation_Rate 2mTmin_SR785_1.5Hz__aver 18_Vin 5V_sens 5mV .dat>> |
||||||||||||
|
|
m364: MFN_Plusses_sweep after_saturation at
-1T_ -0.01T to 0.01 T_2mT.min_1.5 Hz_5V_averages 24_T=5K
Montag, 8. Juli 2019
20:15
|
|
||||||||||||
|
|
||||||||||||
|
|
|
||||||||||||
|
|
|
||||||||||||
|
|
|
||||||||||||
|
|
||||||||||||
|
|
|
||||||||||||
|
|
||||||||||||
|
|
||||||||||||
|
100min |
||||||||||||
|
|
||||||||||||
|
<<m364.1_MFN_Plusses_T5K_sweep_-100mT to +100 mT_at -1T saturation_Rate 2mTmin_SR785_1.5Hz__aver 24_Vin 5V_sens 5mV .dat>> |
||||||||||||
|
|
m365: MFN_Plusses_sweep after_saturation at
-1T_ -0.15T to 0.15T_2mT.min_1.5 Hz_5V_averages 35_T=5K
Dienstag, 9. Juli 2019
02:46
|
|
||||||||||||
|
|
||||||||||||
|
|
|
||||||||||||
|
|
|
||||||||||||
|
|
|
||||||||||||
|
|
||||||||||||
|
|
|
||||||||||||
|
|
||||||||||||
|
|
||||||||||||
|
100min |
||||||||||||
|
|
||||||||||||
|
<<m365_MFN_Plusses_T5K_sweep_-150mT to +150 mT_at -1T saturation_Rate 2mTmin_SR785_1.5Hz__aver 35_Vin 5V_sens 5mV .dat>> |
||||||||||||
|
|
m366: MFN_Plusses_sweep after_saturation at
-1T_ -0.125T to 0.125 T_2mT.min_1.5 Hz_5V_averages 29_T=5K
Dienstag, 9. Juli 2019
05:19
|
|
||||||||||||
|
|
||||||||||||
|
|
|
||||||||||||
|
|
|
||||||||||||
|
|
|
||||||||||||
|
|
||||||||||||
|
|
|
||||||||||||
|
|
||||||||||||
|
|
||||||||||||
|
100min |
||||||||||||
|
|
||||||||||||
|
<<m366_MFN_Plusses_T5K_sweep_-125mT to +125 mT_at -1T saturation_Rate 2mTmin_SR785_1.5Hz__aver 29_Vin 5V_sens 5mV .dat>> |
||||||||||||
|
|

Eval
Meas Plan 234
Tuesday, 9. July
2019
09:23
<<Measurement Plan
234.pdf>>
Measurement
Plan #7_dynamic field fast and slow sweep rate_waiting at 0T
08 July 2019
12:37
Fast and slow sweep rate
|
Nr |
Struct |
Field From |
SR [mT/min] |
Field To |
SR [mT/min] |
Field To |
SR [mT/min] |
Field To |
F-Span |
Vin(V)/sens (mV)/gain |
Avg |
Time [min, Hr] |
Date |
|
Plusses |
1000mT |
50 |
25
mT |
2 |
-25
mT |
50 |
-1000mT |
1.5 |
5/5/20 |
15 |
64 |
09.07.2019_Tuesday_ |
|
|
Plusses |
1000mT |
50 |
|
|
|
50 |
-1000mT |
1.5 |
5/5/20 |
9 |
64 |
09.07.2019_Tuesday_ |
|
|
Plusses |
1000mT |
30 |
0
wait here 20 min |
|
|
30 |
-1000mT |
1.5 |
5/5/20 |
20 |
86 |
09.07.2019_Tuesday_ |
|
|
Plusses |
1000mT |
30 |
0
wait here 10 min |
|
|
30 |
-1000mT |
1.5 |
5/5/20 |
18 |
76 |
09.07.2019_Tuesday_ |
|
|
Plusses |
1000mT |
30 |
0
wait here 30 min |
|
|
30 |
-1000mT |
1.5 |
5/5/20 |
23 |
96 |
09.07.2019_Tuesday_ |

m367_MFN_Plusses_T5K_
Fast sweep +1T to +0.025mT_50mTmin_ slow sweep_to -0.025mT_2mTmin_to
-1T_50mTmin_SR785_1.5Hz__aver 15_Vin 5V_sens 5mV _usuing routine for the magnet
Dienstag, 9. Juli 2019
12:30
|
|
||||||||||||
|
|
||||||||||||
|
|
|
||||||||||||
|
|
|
||||||||||||
|
|
Fast sweep +1T to +0.025mT_50mTmin_ to
-0.025mT_2mTmin_to -1T_50mTmin |
||||||||||||
|
|
||||||||||||
|
|
|
||||||||||||
|
|
||||||||||||
|
|
||||||||||||
|
100min |
||||||||||||
|
|
||||||||||||
|
Saving
data from SR830, SR785 <<m367_MFN_Plusses_T5K_ Fast sweep +1T to +0.025mT_50mTmin_ slow sweep_to -0.025mT_2mTmin_fast sweep to -1T_50mTmin_SR785_1.5Hz__aver 15_Vin 5V_sens 5mV .dat>> <<m367.1_SR830.dat>> |
||||||||||||
|
|
m368_MFN_Plusses_T5K_
Fast sweep +1T _to -1T_50mTmin_SR785_1.5Hz__aver 9_Vin 5V_sens 5mV _
Dienstag, 9. Juli 2019
13:56
|
|
||||||||||||
|
|
||||||||||||
|
|
|
||||||||||||
|
|
|
||||||||||||
|
|
Fast sweep +1T _to -1T_50mTmin |
||||||||||||
|
|
||||||||||||
|
|
|
||||||||||||
|
|
||||||||||||
|
|
||||||||||||
|
100min |
||||||||||||
|
|
||||||||||||
|
Saving
data from SR830, SR785 <<m368_MFN_Plusses_T5K_ Fast sweep +1T to -1T_50mTmin_SR785_1.5Hz__aver 9_Vin 5V_sens 5mV .dat>> <<m368.1_SR830.dat>> |
||||||||||||
|
|
m369_MFN_Plusses_T5K_
Fast sweep +1T to 0 wait 20 min and sweep to -1T_30mTmin_SR785_1.5Hz__aver
20_Vin 5V_sens 5mV
Dienstag, 9. Juli 2019
15:00
|
|
||||||||||||
|
|
||||||||||||
|
|
|
||||||||||||
|
|
|
||||||||||||
|
|
Fast sweep +1T to 0 wait 20 min and sweep to
-1T_30mTmin |
||||||||||||
|
|
||||||||||||
|
|
|
||||||||||||
|
|
||||||||||||
|
|
||||||||||||
|
100min |
||||||||||||
|
|
||||||||||||
|
Saving
data from SR830, SR785 <<m369_MFN_Plusses_T5K_ Fast sweep +1T to 0 wait 20 min and sweep to -1T_30mTmin_SR785_1.5Hz__aver 9_Vin 5V_sens 5mV .dat>> <<m369.1_SR830.dat>> |
||||||||||||
|
|
m370_MFN_Plusses_T5K_
Fast sweep +1T to 0 wait 10 min and sweep to -1T_30mTmin_SR785_1.5Hz__aver
18_Vin 5V_sens 5mV
Dienstag, 9. Juli 2019
15:00
|
|
||||||||||||
|
|
||||||||||||
|
|
|
||||||||||||
|
|
|
||||||||||||
|
|
Fast sweep +1T to 0 wait 20 min and sweep to
-1T_30mTmin |
||||||||||||
|
|
||||||||||||
|
|
|
||||||||||||
|
|
||||||||||||
|
|
||||||||||||
|
100min |
||||||||||||
|
|
||||||||||||
|
Saving
data from SR830, SR785 <<m370_MFN_Plusses_T5K_ Fast sweep +1T to 0 wait 10 min and sweep to -1T_30mTmin_SR785_1.5Hz__aver 18_Vin 5V_sens 5mV .dat>> <<m370.1_SR830.dat>> |
||||||||||||
|
|
m371_MFN_Plusses_T5K_
Fast sweep +1T to 0 wait 30 min and sweep to -1T_30mTmin_SR785_1.5Hz__aver
23_Vin 5V_sens 5mV
Dienstag, 9. Juli 2019
15:00
|
|
||||||||||||
|
|
||||||||||||
|
|
|
||||||||||||
|
|
|
||||||||||||
|
|
Fast sweep +1T to 0 wait 30 min and sweep to
-1T_30mTmin |
||||||||||||
|
|
||||||||||||
|
|
|
||||||||||||
|
|
||||||||||||
|
|
||||||||||||
|
100min |
||||||||||||
|
|
||||||||||||
|
Saving
data from SR830, SR785 <<m371_MFN_Plusses_T5K_ Fast sweep +1T to 0 wait 30 min and sweep to -1T_30mTmin_SR785_1.5Hz__aver 23_Vin 5V_sens 5mV .dat>> <<m371.1_SR830.dat>> |
||||||||||||
|
|
Measurement
Plan #8_winde-ranging field with slow sweeping_comparison magnetic crosses and
empty
08 July 2019
12:37

![]()
winde-ranging field with slow sweeping from positive saturation
|
Nr |
Struct |
Field From |
Field To |
SR [mT/min] |
F-Span |
Vin(V)/sens (mV)/gain |
Avg |
Time [min, Hr] |
Date |
|
Plusses |
+1T |
-1T |
5 |
1.5 |
5/5/20 |
94 |
400min |
09.07.2019_Tuesday_ |
|
|
Crosses |
+1T |
-1T |
5 |
1.5 |
5/2/20 |
94 |
400min |
10.07.2019_Wednesday_ |
|
|
Empty |
+1T |
-1T |
5 |
1.5 |
5/5/20 |
94 |
400min |
10.07.2019_Wednesday_ |
![]()
![]()
![]()
![]()
![]()
![]()
![]()
![]()
![]()
![]()
![]()
![]()
![]()
![]()
![]()
![]()
![]()
![]()
![]()
![]()
![]()
![]()
![]()
![]()
![]()
![]()
![]()
![]()
![]()
![]()
![]()
![]()
![]()
![]()
![]()
![]()
![]()
![]()
![]()
![]()
![]()
![]()
![]()
![]()
![]()
![]()
![]()
![]()
![]()
![]()
![]()
![]()
![]()
![]()
![]()
![]()
![]()
![]()
![]()
![]()
![]()
![]()
![]()
![]()
![]()
![]()
![]()
![]()
![]()

![]()
![]()
![]()
![]()
![]()
![]()
![]()
![]()
![]()
![]()
![]()
![]()
![]()
![]()
![]()
![]()

![]()
![]()
![]()
![]()
![]()
![]()
![]()
![]()
![]()
![]()
![]()
![]()
![]()
![]()
![]()
![]()
![]()
![]()
![]()
![]()
![]()
![]()
![]()
![]()

![]()
![]()
![]()
![]()
![]()
![]()
![]()
![]()
![]()
![]()
![]()
![]()
![]()
![]()
![]()
![]()
m372: MFN_Plusses_sweep after_saturation at
+1T_ +1T to -1 T_5mT.min_1.5 Hz_5V_averages 94_T=5K_over night
Dienstag, 9. Juli 2019
22:49
|
|
||||||||||||
|
|
||||||||||||
|
|
|
||||||||||||
|
|
|
||||||||||||
|
|
sweep after_saturation at +1T_ 1T to -1
T_5mT.min |
||||||||||||
|
|
||||||||||||
|
|
|
||||||||||||
|
|
||||||||||||
|
|
||||||||||||
|
400min
0ver night |
||||||||||||
|
|
||||||||||||
|
<<m372_MFN_Plusses_T5K_sweep_1000mT to -1000 mT_at +1T saturation_Rate 5mTmin_SR785_1.5Hz__aver 94_Vin 5V_sens 5mV .dat>> |
||||||||||||
|
|
m373: MFN_Crosses_sweep after_saturation at
+1T_ +1T to -1 T_5mT.min_1.5 Hz_5V_averages 94_T=5K_sens 2mV
Mittwoch, 10. Juli 2019
07:15
|
|
||||||||||||
|
|
||||||||||||
|
|
|
||||||||||||
|
|
|
||||||||||||
|
|
sweep after_saturation at +1T_ 1T to -1
T_5mT.min |
||||||||||||
|
|
||||||||||||
|
|
|
||||||||||||
|
|
||||||||||||
|
|
||||||||||||
|
400min |
||||||||||||
|
|
||||||||||||
|
<<m373_MFN_Crosses_T5K_sweep_1000mT to -1000 mT_at +1T saturation_Rate 5mTmin_SR785_1.5Hz__aver 94_Vin 5V_sens 2mV .dat>> |
||||||||||||
|
|
m374: MFN_Empty_sweep after_saturation at +1T_
+1T to -1 T_5mT.min_1.5 Hz_5V_averages 94_T=5K_sens 5mV
Mittwoch, 10. Juli 2019
14:42
|
|
||||||||||||
|
|
||||||||||||
|
|
|
||||||||||||
|
|
|
||||||||||||
|
|
sweep after_saturation at +1T_ 1T to -1
T_5mT.min |
||||||||||||
|
|
||||||||||||
|
|
|
||||||||||||
|
|
||||||||||||
|
|
||||||||||||
|
400min |
||||||||||||
|
|
||||||||||||
|
<<m374_MFNEmpty_T5K_sweep_1000mT to -1000 mT_at +1T saturation_Rate 5mTmin_SR785_1.5Hz__aver 94_Vin 5V_sens 5mV .dat>> |
||||||||||||
|
|
Filling He(l)
Freitag, 12. Juli 2019
08:36
|
Filling
date |
12.07.2019 |
|
Before
(in) |
26 |
|
After
(in) |
36.22 |
|
consumption |
214-123=26 L |
|
Person |
MAM |
Notes:
·
'To do:
Schematic
for Janis He (L) level
12 July 2019
13:17
<<Schematic
for Janis He level.pdf>>
Measurement
Plan #9_winde-ranging field with slow sweeping_comparison magnetic crosses and
empty
Freitag, 12. Juli 2019
08:42
winde-ranging field with slow sweeping_from negative saturation
|
Nr |
Struct |
Field From |
Field To |
SR [mT/min] |
F-Span |
Vin(V)/sens (mV)/gain |
Avg |
Time [min, Hr] |
Date |
|
Plusses |
-1T |
+1T |
5 |
1.5 |
5/5/20 |
94 |
400min |
12.07.2019_Friday_ |
|
|
|
Crosses |
-1T |
+1T |
5 |
1.5 |
5/2/20 |
94 |
400min |
|
|
|
Empty |
-1T |
+1T |
5 |
1.5 |
5/5/20 |
94 |
400min |
|
![]()
![]()

![]()
![]()
![]()
![]()
![]()
![]()
![]()
![]()
![]()
![]()
![]()
![]()
![]()
![]()
![]()
![]()
![]()
![]()
![]()
![]()
![]()
![]()
![]()
![]()
![]()
![]()
![]()
![]()
![]()
![]()
![]()
![]()
![]()
![]()
![]()
![]()
![]()
![]()
![]()
Important to note:
after filling He, the temperature was not stable. I took 5 hours to be stable
. choosing the sensitivity extremly
depend on the temperature. It was on overload
when choosing 5mV. After stabalizing the temp, 5mV was OK.
No need to do the rest since the results similar in the positive and
negative saturation for plusses
m375: MFN_Plusses_sweep after_saturation at
-1T_-1T to +1 T_5mT.min_1.5 Hz_5V_averages 94_T=5K
Freitag, 12. Juli 2019
12:56
|
|
||||||||||||
|
|
||||||||||||
|
|
|
||||||||||||
|
|
|
||||||||||||
|
|
sweep after_saturation at -1T_ -1T to
+1 T_5mT.min |
||||||||||||
|
|
||||||||||||
|
|
|
||||||||||||
|
|
||||||||||||
|
|
||||||||||||
|
400min
|
||||||||||||
|
|
||||||||||||
|
<<m375_MFN Plusses_T5K_sweep_-1000mT to 1000 mT_at -1T saturation_Rate 5mTmin_SR785_1.5Hz__aver 94_Vin 5V_sens 5mV .dat>> |
||||||||||||
|
|
Important to note:
after filling He, the temperature was not stable. I took 5 hours to be stable
. choosing the sensitivity extremly
depend on the temperature. It was on overload
when choosing 5mV. After stabalizing the temp, 5mV was OK.
Measurement
Plan #10_winde-ranging field with different sweep rate__for plusses
Freitag, 12. Juli 2019
21:36
winde-ranging field with different sweep rates _from positive
saturation
|
Nr |
Struct |
Field From |
Field To |
SR [mT/min] |
F-Span |
Vin(V)/sens (mV)/gain |
Avg |
Time [min, Hr] |
Date |
|
Plusses |
+1T |
-1T |
50 |
1.5 |
5/5/20 |
10 |
40 |
12.07.2019_Friday_ |
|
|
Plusses |
+1T |
-1T |
25 |
1.5 |
5/5/20 |
19 |
80 |
12.07.2019_Friday_ |
m376: MFN_Plusses_sweep after_saturation at
+1T_+1T to -1 T_50mT.min_1.5 Hz_5V_averages 10_T=5K
Freitag, 12. Juli 2019
20:30
|
|
||||||||||||
|
|
||||||||||||
|
|
|
||||||||||||
|
|
|
||||||||||||
|
|
sweep after_saturation at +1T_ -1T to
+1 T_50mT.min |
||||||||||||
|
|
||||||||||||
|
|
|
||||||||||||
|
|
||||||||||||
|
|
||||||||||||
|
40min
|
||||||||||||
|
|
||||||||||||
|
<<m376_MFN Plusses_T5K_sweep_1000mT to -1000 mT_at +1T saturation_Rate 50mTmin_SR785_1.5Hz__aver10_Vin 5V_sens 5mV .dat>> |
||||||||||||
|
|

m377: MFN_Plusses_sweep after_saturation at
+1T_+1T to -1 T_25mT.min_1.5 Hz_5V_averages 19_T=5K
Freitag, 12. Juli 2019
21:49
|
|
||||||||||||
|
|
||||||||||||
|
|
|
||||||||||||
|
|
|
||||||||||||
|
|
sweep after_saturation at +1T_ -1T to
+1 T_25mT.min |
||||||||||||
|
|
||||||||||||
|
|
|
||||||||||||
|
|
||||||||||||
|
|
||||||||||||
|
80min
|
||||||||||||
|
|
||||||||||||
|
<<m377_MFN Plusses_T5K_sweep_1000mT to -1000 mT_at +1T saturation_Rate 25mTmin_SR785_1.5Hz__aver19_Vin 5V_sens 5mV .dat>> |
||||||||||||
|
|
Measurement
Plan #11_different applied current__for plusses
Samstag, 13. Juli 2019
21:36
Different applying current _from positive saturation
|
Nr |
Struct |
Field From |
Field To |
Saturation at |
SR [mT/min] |
F-Span |
Vin(V)/sens (mV)/gain |
Avg |
Time [min, Hr] |
Date |
|
|
Plusses |
-100mT |
100mT |
-1T |
5 |
1.5 |
1/5/20 |
10 |
40 |
13.07.2019_Saturday_ |
|
|
Plusses |
-100mT |
100mT |
-1T |
5 |
1.5 |
1/5/20 |
10 |
40 |
13.07.2019_Saturday_ |


![]()

![]()
![]()
![]()
![]()
![]()
![]()
![]()
![]()

m378: MFN_Plusses_sweep after_saturation at
-1T_-0.1T to +0.1 T_5mT.min_1.5 Hz_1V_averages 19_T=5K
Samstag, 13. Juli 2019
08:22
|
|
||||||||||||
|
|
||||||||||||
|
|
|
||||||||||||
|
|
|
||||||||||||
|
|
saturation at -1T_-0.1T to +0.1
T_5mT.min |
||||||||||||
|
|
||||||||||||
|
|
|
||||||||||||
|
|
||||||||||||
|
|
||||||||||||
|
40min
|
||||||||||||
|
|
||||||||||||
|
<<m378_MFN Plusses_T5K_sweep_100 mT to -100 mT_at -1T saturation_Rate 5mTmin_SR785_1.5Hz__aver10_Vin 1V_sens 1mV .dat>> <<Reviewer 1 Review Attachment 1_Round 2.pdf>> |
||||||||||||
|
|
m379: MFN_Plusses_sweep after_saturation at
-1T_-0.1T to +0.1 T_5mT.min_1.5 Hz_2V_averages 19_T=5K
Samstag, 13. Juli 2019
10:30
|
|
||||||||||||
|
|
||||||||||||
|
|
|
||||||||||||
|
|
|
||||||||||||
|
|
saturation at -1T_-0.1T to +0.1
T_5mT.min |
||||||||||||
|
|
||||||||||||
|
|
|
||||||||||||
|
|
||||||||||||
|
|
||||||||||||
|
40min
|
||||||||||||
|
|
||||||||||||
|
<<m379_MFN Plusses_T5K_sweep_100 mT to -100 mT_at -1T saturation_Rate 5mTmin_SR785_1.5Hz__aver10_Vin 2V_sens 2mV .dat>> |
||||||||||||
|
|
m380: MFN_Plusses_sweep after_saturation at
-1T_-0.1T to +0.1 T_5mT.min_1.5 Hz_3V_averages 19_T=5K
Samstag, 13. Juli 2019
12:26
|
|
||||||||||||
|
|
||||||||||||
|
|
|
||||||||||||
|
|
|
||||||||||||
|
|
saturation at -1T_-0.1T to +0.1
T_5mT.min |
||||||||||||
|
|
||||||||||||
|
|
|
||||||||||||
|
|
||||||||||||
|
|
||||||||||||
|
40min
|
||||||||||||
|
|
||||||||||||
|
<<m380_MFN Plusses_T5K_sweep_100 mT to -100 mT_at -1T saturation_Rate 5mTmin_SR785_1.5Hz__aver10_Vin 3V_sens 2mV .dat>> |
||||||||||||
|
|
m381: MFN_Plusses_sweep after_saturation at
-1T_-0.1T to +0.1 T_5mT.min_1.5 Hz_4V_averages 19_T=5K
Samstag, 13. Juli 2019
13:30
|
|
||||||||||||
|
|
||||||||||||
|
|
|
||||||||||||
|
|
|
||||||||||||
|
|
saturation at -1T_-0.1T to +0.1
T_5mT.min |
||||||||||||
|
|
||||||||||||
|
|
|
||||||||||||
|
|
||||||||||||
|
|
||||||||||||
|
40min
|
||||||||||||
|
|
||||||||||||
|
<<m381_MFN Plusses_T5K_sweep_100 mT to -100 mT_at -1T saturation_Rate 5mTmin_SR785_1.5Hz__aver10_Vin 4V_sens 5mV .dat>> |
||||||||||||
|
|
m382: MFN_Plusses_sweep after_saturation at
-1T_-0.1T to +0.1 T_5mT.min_1.5 Hz_4V_averages 19_T=5K
Samstag, 13. Juli 2019
15:43
|
|
||||||||||||
|
|
||||||||||||
|
|
|
||||||||||||
|
|
|
||||||||||||
|
|
saturation at -1T_-0.1T to +0.1
T_5mT.min |
||||||||||||
|
|
||||||||||||
|
|
|
||||||||||||
|
|
||||||||||||
|
|
||||||||||||
|
40min
|
||||||||||||
|
|
||||||||||||
|
<<m382_MFN Plusses_T5K_sweep_100 mT to -100 mT_at -1T saturation_Rate 5mTmin_SR785_1.5Hz__aver10_Vin 5V_sens 5mV .dat>> |
||||||||||||
|
|
Filling He(l)
Dienstag, 16. Juli 2019
17:06
|
Filling
date |
16.07.2019 |
|
Before
(in) |
17 |
|
After
(in) |
36.22 |
|
consumption |
110-35=75 L |
|
Person |
MAM |
Notes:
·
'To do:
Measurement
Plan #12_plusses_different regimes (DB = 50mT)
Donnerstag, 18. Juli 2019
16:10
different
regimes (DB = 50mT)
|
Nr |
|
Struct |
Field From |
Field To |
Saturation at |
SR [mT/min] |
F-Span |
Vin(V)/sens (mV)/gain |
Avg |
Time [min, Hr] |
Date |
|
1 |
Plusses |
25mT |
-25mT |
+1T |
.5 |
1.5 |
5/5/20 |
24 |
100 |
18.07.2019_Thursday_ |
|
|
|
Plusses |
-25mT |
-75mT |
no pre-saturation |
.5 |
1.5 |
5/5/20 |
24 |
100 |
19.07.2019_Friday_ |
|
|
2 |
Plusses |
-25mT |
-75mT |
+1T |
.5 |
1.5 |
5/5/20 |
24 |
100 |
19.07.2019_Friday_ |
|
|
3 |
Plusses |
-75mT |
-125mT |
+1T |
.5 |
1.5 |
5/5/20 |
24 |
100 |
19.07.2019_Friday_ |
|
|
4 |
|
-125 |
-175 |
|
|
|
|
|
|
|
|
|
5 |
|
-175 |
-225 |
|
|
|
|
|
|
|
|
|
6 |
|
-225 |
-275 |
|
|
|
|
|
|
|
|
|
7 |
|
-275 |
-325 |
|
|
|
|
|
|
|
|
|
8 |
|
-300 |
-350 |
|
|
|
|
|
|
|
|
|
9 |
|
-350 |
-400 |
|
|
|
|
|
|
|
|
|
10 |
|
-400 |
-450 |
|
|
|
|
|
|
|
|
|
11 |
|
-450 |
-500 |
|
|
|
|
|
|
|
|
|
12 |
|
-500 |
-550 |
|
|
|
|
|
|
|
|
|
13 |
|
-575 |
-625 |
|
|
|
|
|
|
Filling
He (Vx) |
|
|
14 |
|
-625 |
-575 |
-1T |
|
|
|
|
|
|
|
|
15 |
|
-50 |
0 |
|
|
|
|
|
|
|
|
|
16 |
|
-575 |
-625 |
+1T |
|
|
|
|
|
Repeat |
|
|
17 |
|
0 |
50 |
-1T |
|
|
|
|
|
|
|
|
18 |
|
50 |
0 |
+1T |
|
|
|
|
|
|
|
|
19 |
|
0 |
-50 |
|
|
|
|
|
|
|
|
|
20 |
|
25 |
-25 |
|
|
|
|
|
|
|
|
|
21 |
|
-25 |
-75 |
|
|
|
|
|
|
|
|
|
22 |
|
-25 |
-75 |
No
saturation |
|
|
|
|
|
|
|
|
23 |
|
619 |
569 |
|
|
|
|
|
|
|
|
|
24 |
|
0 |
-50 |
|
|
|
|
|
|
|

Plot
Donnerstag, 15. August 2019
15:09

All
0 to -650
<<sweep_measplan12.pdf>>
<<sweep_measplan12.png>>
0
to -300
<<sweep_measplan12_0-300.pdf>>
-300
to -650
<<sweep_measplan12-300-650.pdf>>
<<sweep_measplan12-300-650.png>>
<<sweep_measplan12_0-300.png>>
Data
Donnerstag, 15. August 2019
14:32
<<m401_MFN
Plusses_T5K_sweep_50 mT to 0 mT_+1T saturation_Rate 0.5mTmin_SR785_1.5Hz__aver24_Vin
5V_sens 5mV_field_interval_effect.dat>>
<<m383_MFN
Plusses_T5K_sweep_25 mT to -25 mT_at 1T saturation_Rate
5mTmin_SR785_1.5Hz__aver10_Vin 5V_sens 5mV .dat>>
<<m383_MFN
Plusses_T5K_sweep_25 mT to -25 mT_at 1T saturation_Rate 0.5mTmin_SR785_1.5Hz__aver24_Vin
5V_sens 5mV_field_interval_effect.dat>>
<<m384_MFN
Plusses_T5K_sweep_-25 mT to -75 mT_without saturation_Rate
0.5mTmin_SR785_1.5Hz__aver24_Vin 5V_sens 5mV_field_interval_effect.dat>>
<<_m385_MFN
Plusses_T5K_sweep_-25 mT to -75 mT_+1T saturation_Rate
0.5mTmin_SR785_1.5Hz__aver24_Vin 5V_sens 5mV_field_interval_effect.dat>>
<<_m386_MFN
Plusses_T5K_sweep_-25 mT to -75 mT_+1T saturation_Rate
0.5mTmin_SR785_1.5Hz__aver24_Vin 5V_sens 5mV_field_interval_effect.dat>>
<<m386_MFN
Plusses_T5K_sweep_-75 mT to -125 mT_+1T saturation_Rate
0.5mTmin_SR785_1.5Hz__aver24_Vin 5V_sens 5mV_field_interval_effect.dat>>
<<m386_Temp.dat>>
<<m387_MFN
Plusses_T5K_sweep_-125 mT to -175 mT_+1T saturation_Rate
0.5mTmin_SR785_1.5Hz__aver24_Vin 5V_sens 5mV_field_interval_effect.dat>>
<<m388_MFN
Plusses_T5K_sweep_-175 mT to -225 mT_+1T saturation_Rate
0.5mTmin_SR785_1.5Hz__aver24_Vin 5V_sens 5mV_field_interval_effect.dat>>
<<m389_MFN
Plusses_T5K_sweep_-225 mT to -275 mT_+1T saturation_Rate
0.5mTmin_SR785_1.5Hz__aver24_Vin 5V_sens 5mV_field_interval_effect.dat>>
<<m390_MFN
Plusses_T5K_sweep_-275 mT to -325 mT_+1T saturation_Rate
0.5mTmin_SR785_1.5Hz__aver24_Vin 5V_sens 5mV_field_interval_effect.dat>>
<<m391_MFN
Plusses_T5K_sweep_-300 mT to -350 mT_+1T saturation_Rate
0.5mTmin_SR785_1.5Hz__aver24_Vin 5V_sens 5mV_field_interval_effect.dat>>
<<m392_MFN
Plusses_T5K_sweep_-350 mT to -400 mT_+1T saturation_Rate
0.5mTmin_SR785_1.5Hz__aver24_Vin 5V_sens 5mV_field_interval_effect.dat>>
<<m388_Temp.dat>>
<<m393_MFN
Plusses_T5K_sweep_-400 mT to -450 mT_+1T saturation_Rate
0.5mTmin_SR785_1.5Hz__aver24_Vin 5V_sens 5mV_field_interval_effect.dat>>
<<m394_MFN
Plusses_T5K_sweep_-450 mT to -500 mT_+1T saturation_Rate
0.5mTmin_SR785_1.5Hz__aver24_Vin 5V_sens 5mV_field_interval_effect.dat>>
<<m402_MFN Plusses_T5K_sweep_0
mT to -50 mT_+1T saturation_Rate 0.5mTmin_SR785_1.5Hz__aver24_Vin 5V_sens
5mV_field_interval_effect.dat>><<m403_MFN Plusses_T5K_sweep_25 mT to
0 mT_+1T saturation_Rate 0.5mTmin_SR785_1.5Hz__aver24_Vin 5V_sens
5mV_field_interval_effect.dat>><<m403_MFN Plusses_T5K_sweep_25 mT
to -25 mT_+1T saturation_Rate 0.5mTmin_SR785_1.5Hz__aver24_Vin 5V_sens
5mV_field_interval_effect.dat>><<m404_MFN Plusses_T5K_sweep_-25 mT
to -75 mT_NO saturation_Rate 0.5mTmin_SR785_1.5Hz__aver24_Vin 5V_sens
5mV_field_interval_effect.dat>><<m405_MFN Plusses_T5K_sweep_-25 mT
to -75 mT_+1T saturation_Rate 0.5mTmin_SR785_1.5Hz__aver24_Vin 5V_sens
5mV_field_interval_effect.dat>><<m396_MFN Plusses_T5K_sweep_-575 mT
to -625 mT_+1T saturation_Rate 0.5mTmin_SR785_1.5Hz__aver24_Vin 5V_sens
5mV_field_interval_effect.dat>><<m400_MFN Plusses_T5K_sweep_0 mT to
50 mT_-1T saturation_Rate 0.5mTmin_SR785_1.5Hz__aver24_Vin 5V_sens
5mV_field_interval_effect.dat>><<m392_Temp.dat>><<m399_MFN
Plusses_T5K_sweep_-575 mT to 625 mT_+1T saturation_Rate
0.5mTmin_SR785_1.5Hz__aver24_Vin 5V_sens
5mV_field_interval_effect.dat>><<m397_MFN Plusses_T5K_sweep_-625 mT
to -575 mT_-1T saturation_Rate 0.5mTmin_SR785_1.5Hz__aver24_Vin 5V_sens
5mV_field_interval_effect.dat>><<m397_Temp.dat>><<m395_MFN
Plusses_T5K_sweep_-500 mT to -550 mT_+1T saturation_Rate
0.5mTmin_SR785_1.5Hz__aver24_Vin 5V_sens
5mV_field_interval_effect.dat>><<m398_MFN Plusses_T5K_sweep_-50 mT
to 0 mT_-1T saturation_Rate 0.5mTmin_SR785_1.5Hz__aver24_Vin 5V_sens
5mV_field_interval_effect.dat>>
m383:
MFN_sweep(sat)_25mT to -25mT_Plusses
Donnerstag, 18. Juli 2019
16:18
|
|
||||||||||||
|
|
||||||||||||
|
|
|
||||||||||||
|
|
|
||||||||||||
|
|
saturation at +1T_25mT to
-25mT_0.5mT.min |
||||||||||||
|
|
||||||||||||
|
|
|
||||||||||||
|
|
||||||||||||
|
|
||||||||||||
|
|
||||||||||||
|
|
||||||||||||
|
<<m383_MFN Plusses_T5K_sweep_25 mT to -25 mT_at 1T saturation_Rate 0.5mTmin_SR785_1.5Hz__aver24_Vin 5V_sens 5mV_field_interval_effect.dat>> |
||||||||||||
|
|
m384:
MFN_sweep(sat)_-25mT- to -75mT_Plusses without saturation
Freitag, 19. Juli 2019
11:04
|
|
||||||||||||
|
|
||||||||||||
|
|
|
||||||||||||
|
|
|
||||||||||||
|
|
without saturation -25mT to
-75mT_0.5mT.min |
||||||||||||
|
|
||||||||||||
|
|
|
||||||||||||
|
|
||||||||||||
|
|
||||||||||||
|
|
||||||||||||
|
|
||||||||||||
|
<<m384_MFN Plusses_T5K_sweep_-25 mT to -75 mT_without saturation_Rate 0.5mTmin_SR785_1.5Hz__aver24_Vin 5V_sens 5mV_field_interval_effect.dat>> |
||||||||||||
|
|
m385:
MFN_sweep(sat)_-25mT- to -75mT_Plusses with +1Tsaturation
Freitag, 19. Juli 2019
11:04
|
|
||||||||||||
|
|
||||||||||||
|
|
|
||||||||||||
|
|
|
||||||||||||
|
|
with saturation +1T saturation -25mT to
-75mT_0.5mT.min |
||||||||||||
|
|
||||||||||||
|
|
|
||||||||||||
|
|
||||||||||||
|
|
||||||||||||
|
|
||||||||||||
|
|
||||||||||||
|
<<_m385_MFN Plusses_T5K_sweep_-25 mT to -75 mT_+1T saturation_Rate 0.5mTmin_SR785_1.5Hz__aver24_Vin 5V_sens 5mV_field_interval_effect.dat>> |
||||||||||||
|
|
Filling He(l)
Freitag, 19. Juli 2019
17:01
|
Filling
date |
19.07.2019 |
|
Before
(in) |
28 |
|
After
(in) |
36.22 |
|
consumption |
110-35=75 L |
|
Person |
MAM |
Notes:
·
'To do:
Filling He(l)
Dienstag, 23. Juli 2019
09:02
|
Filling
date |
23.07.2019 |
|
Before
(in) |
26 |
|
After
(in) |
36.22 |
|
consumption |
|
|
Person |
MAM |
Notes:
·
'To do:
Filling He(l)
Freitag, 26. Juli 2019
12:10
|
Filling
date |
26.07.2019 |
|
Before
(in) |
28 |
|
After
(in) |
36.22 |
|
consumption |
|
|
Person |
MAM |
Notes:
·
'To do:
Filling He(l)
Dienstag, 30. Juli 2019
12:10
|
Filling
date |
30.07.2019 |
|
Before
(in) |
26 |
|
After
(in) |
36.22 |
|
consumption |
|
|
Person |
MAM |
Notes:
·
'To do:
Filling He(l)
Freitag, 2. August 2019
12:10
|
Filling
date |
02.08.2019 |
|
Before
(in) |
26 |
|
After
(in) |
36.22 |
|
consumption |
|
|
Person |
MAM |
Notes:
·
'To do:
Filling He(l)_5 in left
Donnerstag, 8. August 2019
14:11
|
Filling
date |
08.08.2019 |
|
Before (in) |
2 |
|
After
(in) |
32.22 |
|
consumption |
|
|
Person |
MAM |
Notes:
·
'To do:
Filling He(l)_8 in left
Montag, 12. August 2019
16:17
|
Filling
date |
12.08.2019 |
|
Before (in) |
8 |
|
After
(in) |
36 |
|
consumption |
|
|
Person |
MAM |
Notes:
·
'To do:
m386:
MFN_sweep(sat)_-75mT- to -125mT_Plusses with +1Tsaturation
Freitag, 19. Juli 2019
11:04
|
|
||||||||||||
|
|
||||||||||||
|
|
|
||||||||||||
|
|
|
||||||||||||
|
|
with saturation +1T saturation -75mT to
-125mT_0.5mT.min |
||||||||||||
|
|
||||||||||||
|
|
|
||||||||||||
|
|
||||||||||||
|
|
||||||||||||
|
|
||||||||||||
|
|
||||||||||||
|
|
||||||||||||
|
|
m387:
MFN_sweep(sat)_-125mT- to -175mT_Plusses with +1Tsaturation
Freitag, 19. Juli 2019
11:04
|
|
||||||||||||
|
|
||||||||||||
|
|
|
||||||||||||
|
|
|
||||||||||||
|
|
with saturation +1T saturation -125mT
to -175mT_0.5mT.min |
||||||||||||
|
|
||||||||||||
|
|
|
||||||||||||
|
|
||||||||||||
|
|
||||||||||||
|
|
||||||||||||
|
|
||||||||||||
|
|
||||||||||||
|
|
m388:
MFN_sweep(sat)_-175mT- to -225mT_Plusses with +1Tsaturation
Dienstag, 13. August 2019
20:57
|
|
||||||||||||
|
|
||||||||||||
|
|
|
||||||||||||
|
|
|
||||||||||||
|
|
with saturation +1T saturation -175mT
to -225mT_0.5mT.min |
||||||||||||
|
|
||||||||||||
|
|
|
||||||||||||
|
|
||||||||||||
|
|
||||||||||||
|
|
||||||||||||
|
|
||||||||||||
|
|
||||||||||||
|
|
m389:
MFN_sweep(sat)_-225mT- to -275mT_Plusses with +1Tsaturation
Mittwoch, 14. August 2019
10:19
|
|
||||||||||||
|
|
||||||||||||
|
|
|
||||||||||||
|
|
|
||||||||||||
|
|
with saturation +1T saturation -225mT
to -275mT_0.5mT.min |
||||||||||||
|
|
||||||||||||
|
|
|
||||||||||||
|
|
||||||||||||
|
|
||||||||||||
|
|
||||||||||||
|
|
||||||||||||
|
|
||||||||||||
|
|
m390:
MFN_sweep(sat)_-275mT- to -325mT_Plusses with +1Tsaturation
Donnerstag, 15. August 2019
12:57
|
|
||||||||||||
|
|
||||||||||||
|
|
|
||||||||||||
|
|
|
||||||||||||
|
|
with saturation +1T saturation -275mT
to -325mT_0.5mT.min |
||||||||||||
|
|
||||||||||||
|
|
|
||||||||||||
|
|
||||||||||||
|
|
||||||||||||
|
|
||||||||||||
|
|
||||||||||||
|
|
||||||||||||
|
|
m391:
MFN_sweep(sat)_-300mT- to -350mT_Plusses with +1Tsaturation
Donnerstag, 15. August 2019
12:58
|
|
||||||||||||
|
|
||||||||||||
|
|
|
||||||||||||
|
|
|
||||||||||||
|
|
with saturation +1T saturation -300mT
to -350mT_0.5mT.min |
||||||||||||
|
|
||||||||||||
|
|
|
||||||||||||
|
|
||||||||||||
|
|
||||||||||||
|
|
||||||||||||
|
|
||||||||||||
|
<<m391_info.dat>> |
||||||||||||
|
|
<<m391_MFN
Plusses_T5K_sweep_-300 mT to -350 mT_+1T saturation_Rate
0.5mTmin_SR785_1.5Hz__aver24_Vin 5V_sens 5mV_field_interval_effect.dat>>
m392:
MFN_sweep(sat)_-350mT- to -400mT_Plusses with +1Tsaturation
Donnerstag, 15. August 2019
12:58
|
|
||||||||||||
|
|
||||||||||||
|
|
|
||||||||||||
|
|
|
||||||||||||
|
|
with saturation +1T saturation -350mT
to -400mT_0.5mT.min |
||||||||||||
|
|
||||||||||||
|
|
|
||||||||||||
|
|
||||||||||||
|
|
||||||||||||
|
|
||||||||||||
|
|
||||||||||||
|
|
||||||||||||
|
|
m393:
MFN_sweep(sat)_-400mT- to -450mT_Plusses with +1Tsaturation
Donnerstag, 15. August 2019
12:59
|
|
||||||||||||
|
|
||||||||||||
|
|
|
||||||||||||
|
|
|
||||||||||||
|
|
with saturation +1T saturation -400mT
to -450mT_0.5mT.min |
||||||||||||
|
|
||||||||||||
|
|
|
||||||||||||
|
|
||||||||||||
|
|
||||||||||||
|
|
||||||||||||
|
|
||||||||||||
|
|
||||||||||||
|
|
m395:
MFN_sweep(sat)_-500mT- to -550mT_Plusses with +1Tsaturation
Donnerstag, 15. August 2019
13:00
|
|
||||||||||||
|
|
||||||||||||
|
|
|
||||||||||||
|
|
|
||||||||||||
|
|
with saturation +1T saturation -500mT
to -550mT_0.5mT.min |
||||||||||||
|
|
||||||||||||
|
|
|
||||||||||||
|
|
||||||||||||
|
|
||||||||||||
|
|
||||||||||||
|
|
||||||||||||
|
|
||||||||||||
|
|
m396:
MFN_sweep(sat)_-575mT- to -625mT_Plusses with +1Tsaturation
Donnerstag, 15. August 2019
13:00
|
|
||||||||||||
|
|
||||||||||||
|
|
|
||||||||||||
|
|
|
||||||||||||
|
|
with saturation +1T saturation -575mT
to -625mT_0.5mT.min |
||||||||||||
|
|
||||||||||||
|
|
|
||||||||||||
|
|
||||||||||||
|
|
||||||||||||
|
|
||||||||||||
|
|
||||||||||||
|
|
||||||||||||
|
|
Filling He(l)
Donnerstag, 15. August 2019
17:50
|
Filling
date |
15.08.2019 |
|
Before
(in) |
27 |
|
After
(in) |
36 |
|
consumption |
|
|
Person |
JP/MAM |
Notes:
·
'To do:
m397:
MFN_sweep(sat)_-625mT- to -575mT_Plusses with -1Tsaturation
Freitag, 16. August 2019
09:53
|
|
||||||||||||
|
|
||||||||||||
|
|
|
||||||||||||
|
|
|
||||||||||||
|
|
with saturation -1T saturation -625mT to -575mT_0.5mT.min |
||||||||||||
|
|
||||||||||||
|
|
|
||||||||||||
|
|
||||||||||||
|
|
||||||||||||
|
|
||||||||||||
|
|
||||||||||||
|
|
||||||||||||
|
|
m398:
MFN_sweep(sat)_-50mT- to 0mT_Plusses with -1Tsaturation
Freitag, 16. August 2019
09:54
|
|
||||||||||||
|
|
||||||||||||
|
|
|
||||||||||||
|
|
|
||||||||||||
|
|
with saturation -1T saturation -50mT to 0mT_0.5mT.min |
||||||||||||
|
|
||||||||||||
|
|
|
||||||||||||
|
|
||||||||||||
|
|
||||||||||||
|
|
||||||||||||
|
|
||||||||||||
|
|
||||||||||||
|
|
m399:
MFN_sweep(sat)_-575mT- to -625mT_Plusses with +1Tsaturation
Montag, 19. August 2019
15:41
|
|
||||||||||||
|
|
||||||||||||
|
|
|
||||||||||||
|
|
|
||||||||||||
|
|
with saturation +1T saturation -575mT
to -625mT_0.5mT.min |
||||||||||||
|
|
||||||||||||
|
|
|
||||||||||||
|
|
||||||||||||
|
|
||||||||||||
|
|
||||||||||||
|
|
||||||||||||
|
|
||||||||||||
|
|
m400:
MFN_sweep(sat)_0mT- to 50mT_Plusses with -1Tsaturation
Montag, 19. August 2019
15:41
|
|
||||||||||||
|
|
||||||||||||
|
|
|
||||||||||||
|
|
|
||||||||||||
|
|
with saturation -1T saturation 0mT to
50mT_0.5mT.min |
||||||||||||
|
|
||||||||||||
|
|
|
||||||||||||
|
|
||||||||||||
|
|
||||||||||||
|
|
||||||||||||
|
|
||||||||||||
|
|
||||||||||||
|
|
m400:
MFN_sweep(sat)_0mT- to 50mT_Plusses with -1Tsaturation
Donnerstag, 13. Februar 2020
13:12
|
|
||||||||||||
|
|
||||||||||||
|
|
|
||||||||||||
|
|
|
||||||||||||
|
|
with saturation -1T saturation 0mT to
50mT_0.5mT.min |
||||||||||||
|
|
||||||||||||
|
|
|
||||||||||||
|
|
||||||||||||
|
|
||||||||||||
|
|
||||||||||||
|
|
||||||||||||
|
|
||||||||||||
|
|
m401:
MFN_sweep(sat)_50mT- to 0mT_Plusses with +1Tsaturation
Montag, 19. August 2019
15:42
|
|
||||||||||||
|
|
||||||||||||
|
|
|
||||||||||||
|
|
|
||||||||||||
|
|
with saturation +1T saturation 50mT to
0mT_0.5mT.min |
||||||||||||
|
|
||||||||||||
|
|
|
||||||||||||
|
|
||||||||||||
|
|
||||||||||||
|
|
||||||||||||
|
|
||||||||||||
|
|
||||||||||||
|
|
m402:
MFN_sweep(sat)_0mT- to -50mT_Plusses with +1Tsaturation
Montag, 19. August 2019
15:43
|
|
||||||||||||
|
|
||||||||||||
|
|
|
||||||||||||
|
|
|
||||||||||||
|
|
with saturation +1T saturation 0mT to
-50mT_0.5mT.min |
||||||||||||
|
|
||||||||||||
|
|
|
||||||||||||
|
|
||||||||||||
|
|
||||||||||||
|
|
||||||||||||
|
|
||||||||||||
|
|
||||||||||||
|
|
M403:
MFN_sweep(sat)_0mT- to 50mT_Plusses with -1Tsaturation
09 December 2019
10:51
|
|
||||||||||||
|
|
||||||||||||
|
|
|
||||||||||||
|
|
|
||||||||||||
|
|
with saturation -1T saturation 0mT to
50mT_0.5mT.min |
||||||||||||
|
|
||||||||||||
|
|
|
||||||||||||
|
|
||||||||||||
|
|
||||||||||||
|
|
||||||||||||
|
|
||||||||||||
|
|
||||||||||||
|
|
M404:
MFN_sweep(sat)_0mT- to 50mT_Plusses with -1Tsaturation
09 December 2019
10:51
|
|
||||||||||||
|
|
||||||||||||
|
|
|
||||||||||||
|
|
|
||||||||||||
|
|
with saturation -1T saturation 0mT to
50mT_0.5mT.min |
||||||||||||
|
|
||||||||||||
|
|
|
||||||||||||
|
|
||||||||||||
|
|
||||||||||||
|
|
||||||||||||
|
|
||||||||||||
|
|
||||||||||||
|
|
M405:
MFN_sweep(sat)_0mT- to 50mT_Plusses with -1Tsaturation
09 December 2019
10:51
|
|
||||||||||||
|
|
||||||||||||
|
|
|
||||||||||||
|
|
|
||||||||||||
|
|
with saturation -1T saturation 0mT to
50mT_0.5mT.min |
||||||||||||
|
|
||||||||||||
|
|
|
||||||||||||
|
|
||||||||||||
|
|
||||||||||||
|
|
||||||||||||
|
|
||||||||||||
|
|
||||||||||||
|
|
M406:
MFN_sweep(sat)_0mT- to 50mT_Plusses with -1Tsaturation
09 December 2019
10:51
|
|
||||||||||||
|
|
||||||||||||
|
|
|
||||||||||||
|
|
|
||||||||||||
|
|
with saturation -1T saturation 0mT to
50mT_0.5mT.min |
||||||||||||
|
|
||||||||||||
|
|
|
||||||||||||
|
|
||||||||||||
|
|
||||||||||||
|
|
||||||||||||
|
|
||||||||||||
|
|
||||||||||||
|
|
M407:
MFN_sweep(sat)_0mT- to 50mT_Plusses with -1Tsaturation
09 December 2019
10:52
|
|
||||||||||||
|
|
||||||||||||
|
|
|
||||||||||||
|
|
|
||||||||||||
|
|
with saturation -1T saturation 0mT to
50mT_0.5mT.min |
||||||||||||
|
|
||||||||||||
|
|
|
||||||||||||
|
|
||||||||||||
|
|
||||||||||||
|
|
||||||||||||
|
|
||||||||||||
|
|
||||||||||||
|
|
Measurements
plan 12
Monday, 9. December
2019
10:01

Measurement
Plan #3_magnetic field effect
02 June 2019
17:30
Field
Sweeps (ΔB = T)
|
Nr |
Struct |
Field From |
Field To |
Hloop_branch |
SR [mT/min] |
F-Span |
Vin(V)/sens (mV)/gain |
Avg |
Time [min, Hr] |
Date |
|
Plusses |
25
mT |
-25
mT |
+Saturated |
0.11 |
1.5/0.7 |
5/5/20 |
35 |
448_7.4 |
02.07.2019 |
|
|
Plusses |
-25
mT |
25
mT |
-Saturated |
0.11 |
1.5/0.7 |
5/5/20 |
35 |
448_7.4 |
03.07.2019 |
|
|
Plusses |
-443 mT |
-611 mT |
+Saturated |
2.352 |
1.5/0.7 |
5/5/20 |
35 |
448_7.4 |
03.07.2019 |
|
|
Plusses |
-291 mT |
-443 mT |
+Saturated |
0.5 |
1.5/0.7 |
5/5/20 |
24 |
303_5 |
03.07.2019 |
|
|
Plusses |
36.56mT |
-291.13 mT |
+Saturated |
0.5 |
1.5/0.7 |
5/5/20 |
51 |
655_10.9 |
04.07.2019 |
|
|
Plusses |
-36.56mT |
-291.13 mT |
-Saturated |
0.5 |
1.5 |
5/5/20 |
153 |
652_10.9 |
04.07.2019_Thursday
night |
|
|
Empty |
36.56mT |
-291.13 mT |
-Saturated |
0.5 |
1.5 |
5/5/20 |
153 |
652_10.9 |
05.07.2019_Friday |
|
|
Empty |
-25
mT |
+25
mT |
-Saturated |
0.5 |
1.5 |
5/5/20 |
24 |
100 |
06.07.2019_midnight_Saturday |
|
|
Plusses |
-25
mT |
+25
mT |
-Saturated |
0.5 |
1.5 |
5/5/20 |
24 |
100 |
06.07.2019_Saturday_afternoon |
|
|
Plusses |
-25
mT |
25
mT |
-Saturated |
1 |
1.5 |
5/5/20 |
12 |
50 |
06.07.2019_Saturday_evening |
|
|
Plusses |
-25
mT |
25
mT |
-Saturated |
0.1 |
1.5 |
5/5/20 |
117 |
500 |
06.07.2019_Saturday_night |
|
|
Plusses |
-25
mT |
25
mT |
-Saturated |
0.25 |
1.5 |
5/5/20 |
47 |
200 |
07.07.2019_Sunday_morning |
|
|
Plusses |
-25
mT |
25
mT |
-Saturated |
2 |
1.5 |
5/5/20 |
6 |
25 |
07.07.2019_Sunday_lunch
time |


![]()
![]()
![]()
![]()
![]()
![]()
![]()
![]()
![]()
![]()
![]()
![]()
![]()
![]()
![]()
![]()
![]()
![]()
![]()
![]()

![]()

![]()
![]()

![]()
![]()
![]()
![]()
![]()
![]()
![]()
![]()
![]()
![]()
![]()
![]()
![]()