Data
Aquisition Measurements
Donnerstag, 12. März 2020
10:16
|
Nr |
Angle |
Dir |
Freq |
Limit |
Preamp |
Rate |
Struct |
Temp |
Time |
Voltage |
dB |
|
430 |
45 |
Down |
17 |
0.20 |
False |
8 |
Plusses |
30 |
600 |
2.5 |
0.0100 |
|
431 |
45 |
Up |
17 |
0.20 |
False |
8 |
Plusses |
30 |
600 |
2.5 |
0.0100 |
|
432 |
45 |
Down |
17 |
0.10 |
True |
16 |
Plusses |
30 |
1024 |
2.5 |
0.0025 |
|
433 |
45 |
Up |
113 |
0.10 |
True |
16 |
Plusses |
30 |
1024 |
2.5 |
0.0020 |
|
434 |
45 |
Up |
113 |
0.20 |
True |
32 |
Plusses |
30 |
512 |
2.5 |
0.0200 |
|
435 |
45 |
Down |
113 |
0.10 |
True |
16 |
Plusses |
30 |
1024 |
5.0 |
0.0050 |
|
436 |
45 |
Down |
113 |
0.20 |
True |
8 |
Plusses |
30 |
1024 |
5.0 |
0.0050 |
|
437 |
45 |
Up |
113 |
0.15 |
False |
8 |
Plusses |
30 |
768 |
5.0 |
0.0050 |
|
438 |
45 |
Down |
113 |
0.10 |
False |
4 |
Plusses |
30 |
2048 |
5.0 |
0.0100 |
|
439 |
45 |
Down |
113 |
0.10 |
False |
16 |
Plusses |
30 |
1024 |
5.0 |
0.0050 |
|
440 |
45 |
Up |
113 |
0.10 |
False |
32 |
Plusses |
30 |
512 |
5.0 |
0.0050 |
|
441 |
45 |
Down |
113 |
0.10 |
False |
32 |
Plusses |
30 |
512 |
5.0 |
0.0050 |
|
442 |
45 |
Up |
113 |
0.10 |
False |
4 |
Plusses |
30 |
2048 |
5.0 |
0.0050 |
|
443 |
45 |
Down |
113 |
0.10 |
False |
8 |
Plusses |
20 |
2048 |
5.0 |
0.0050 |
|
444 |
45 |
Up |
113 |
0.10 |
False |
8 |
Plusses |
20 |
2048 |
5.0 |
0.0050 |
|
445 |
45 |
Down |
113 |
0.10 |
False |
2 |
Plusses |
10 |
2048 |
5.0 |
0.0050 |
|
446 |
45 |
Down |
113 |
0.10 |
False |
8 |
Plusses |
15 |
2048 |
5.0 |
0.0050 |
|
447 |
45 |
Up |
113 |
0.10 |
False |
8 |
Plusses |
15 |
2048 |
5.0 |
0.0050 |
|
448 |
45 |
Down |
113 |
0.10 |
False |
4 |
Plusses |
15 |
2048 |
5.0 |
0.0050 |
|
449 |
45 |
Up |
113 |
0.10 |
False |
4 |
Plusses |
15 |
2048 |
5.0 |
0.0050 |
|
450 |
45 |
Down |
113 |
0.10 |
False |
8 |
Empty |
15 |
2048 |
5.0 |
0.0050 |
|
451 |
45 |
Up |
113 |
0.10 |
False |
8 |
Empty |
15 |
2048 |
5.0 |
0.0050 |
|
|
|
|
|
|
|
|
|
|
|
|
|
|
452 |
80 |
Down |
17 |
0.30 |
False |
8 |
Plusses |
15 |
1024 |
5.0 |
0.0150 |
|
453 |
80 |
Up |
17 |
0.30 |
False |
8 |
Plusses |
15 |
1024 |
5.0 |
0.0150 |
|
454 |
80 |
Down |
17 |
0.15 |
False |
8 |
Plusses |
15 |
2048 |
5.0 |
0.0050 |
|
455 |
80 |
Up |
17 |
0.15 |
False |
8 |
Plusses |
15 |
2048 |
5.0 |
0.0050 |
|
456 |
80 |
STATIC |
17 |
0 |
False |
8 |
Plusses |
15 |
2048*60 |
5.0 |
0 |
SR830
as DAQ
Donnerstag, 12. März 2020
10:16
Using the SR830 internal Storage
as DAQ. Getting data via FAST mode.

m430: SR830DAQ scheduled
without preamp
Donnerstag, 12. März
2020
10:17
|
|
||||||||||||
|
|
||||||||||||
|
|
|
||||||||||||
|
|
|
||||||||||||
|
|
|
||||||||||||
|
|
||||||||||||
|
|
|
||||||||||||
|
|
||||||||||||
|
in Folder
NewMeasurements2020\m430\m430.5* |
![Machine generated alternative text:
Length=600s Down-Sweep
Noise PSD
15
6 x 10
15
15
3 x 10
15
2 x 10
15
10
x 10
x 10
x 10
—0.20
—0.15
—0.10
2.0
1.5
1.0
0.5
x 10
—0.10
—0.20
—0.15
—0.10
—0.20
—0.15
—0.10
4 x 10
6
7
Rate
x 10
5
—0.05
Fift W4e
8
0.20
10
10
6
15
14
15
Noise Fit at 1 Hz
—0.05 0.00
0.05
Noise Sum
—0.05 0.00
0.05
Hysteresis Loop
—0.20
2.1
2.0
1.9
1.8
1.7
—0.15
100
0.00
(Beat
300
Time
0.05
0.10
= 0.00 T)
Timesignal
200
0.15
500
—15
0.10
0.10
0.10
0.15
0.15
0.15
0.20
0.20
0.20
—0.05 0.00
Hext
0.05
T]](04_SR830DAQ-Dateien/image034.jpg)
m430:
Problem not stopping SR830DAQ
Donnerstag, 12. März 2020
12:21
At some field vaules the
measurement didn't stop, but continue for the next field (e.g. this data
contains field .2T in range 0-600s and field .19T in the second half):

Splitting these data files
manually.

Fields
to split:
·
.19
·
.17
·
-.2

m431: SR830DAQ scheduled
without preamp
Donnerstag, 12. März
2020
10:17
|
|
||||||||||||
|
|
||||||||||||
|
|
|
||||||||||||
|
|
|
||||||||||||
|
|
|
||||||||||||
|
|
||||||||||||
|
|
|
||||||||||||
|
|
||||||||||||
|
in Folder
NewMeasurements2020\m431\m431* |


Time
signal
Freitag, 13. März 2020


Distribution of Time signal
Freitag, 13. März
2020
12:34


Evaluate m431 (Development
of the time signal)
Donnerstag, 12. März 2020
16:08

Evaluate
m431 (Noise representation)
Freitag, 13. März 2020
10:40


Info
with second spectrum
Mittwoch, 22. April 2020
09:59

Noise
Hysteresis (430/431)
Montag, 20. April 2020
17:10

m432: rate:16 Hz
length:1024 s with preamp (Down Sweep)
Donnerstag, 12. März 2020
10:17
|
|
||||||||||||
|
|
||||||||||||
|
|
|
||||||||||||
|
|
|
||||||||||||
|
|
|
||||||||||||
|
|
||||||||||||
|
|
||||||||||||
|
|
|
||||||||||||
|
|
||||||||||||
|
in Folder NewMeasurements2020\m432\* |
||||||||||||
|
Badly choosen Sensitivity resulted in Overload! Not usable! |
![Machine generated alternative text:
Rate=16 Hz, Length
=1024s
10
10
10—11
12
10
0.6
0.4
0.2
2 x 10
270
265
260
255
250
245
Noise PSD
0.00
0.02
0.04
100
10
10
6 x 10
4 x 10
3 x 10
11
12
10
10
10
10
—0.02
200
0.06
0.10
1000
—0.02
—0.02
—0.02
0.00
0.00
0.00
Noise Fit at 1 Hz
0.02
0.04
Noise Sum
0.02
0.04
Hysteresis Loop
Timesignal (Bext = 0.00 T)
600
Time
0.08
800
1000
500
—500
0.06
0.06
0.06
0.08
0.08
0.08
0.10
0.10
0.10
0.02
Hext
0.04
T]](04_SR830DAQ-Dateien/image080.jpg)
m432:
Overload B <= -50mT
Freitag, 13. März 2020
15:20
Changed the Sensitivity to 20mV
Need to Remeasure Values
·
-.0475
·
-.05
·
-.0525
·
-.055
·
-.0575
·
-.06


Evaluate m432 (Timesignal
near 0)
Freitag, 13. März
2020
11:08


Time signals (Non Gaussian
Noise)
Freitag, 13. März 2020
14:36


Time
signals (Gaussian Noise)
Freitag, 13. März 2020
16:37

m433: rate:16 Hz
length:1024 s with preamp (Up Sweep)
Freitag, 13. März 2020
18:51
|
|
||||||||||||
|
|
||||||||||||
|
|
|
||||||||||||
|
|
|
||||||||||||
|
|
|
||||||||||||
|
|
||||||||||||
|
|
||||||||||||
|
|
|
||||||||||||
|
|
||||||||||||
|
in Folder NewMeasurements2020\m433\* |

Second
Spectrum overview
Mittwoch, 22. April 2020
10:08


m434: rate:32 Hz length:512
s with preamp (Down Sweep)
Sonntag, 15. März 2020
09:00
|
|
||||||||||||
|
|
||||||||||||
|
|
|
||||||||||||
|
|
|
||||||||||||
|
|
|
||||||||||||
|
|
||||||||||||
|
|
||||||||||||
|
|
|
||||||||||||
|
|
||||||||||||
|
in Folder NewMeasurements2020\m434\* |
![Machine generated alternative text:
Rate
Length=512s Down sweep
Noise PSD
10
10
—0.20
—0.15
—0.10
—0.20
—0.15
—0.10
1.0
0.5
—0.20
—0.15
—0.10
11
12
10
10
10
11
12
10
0.7
0.6
0.5
0.4
0.3
0.2
—0.20
0.00
—0.02
—0.06
100
0.00
(Bext =
Noise Fit at 1 Hz
—0.05 0.00
0.05
Noise Sum
—0.05 0.00
0.05
Hysteresis Loop
—0.15
100
—0.10
—0.05
Timesignal
200
0.05
0.10
-0.02 T)
0.15
0.20
500
—1.0
—1.5
0.10
0.10
0.10
0.15
0.15
0.15
0.20
0.20
0.20
300
Time
—0.05 0.00
Hext
0.05
T]](04_SR830DAQ-Dateien/image122.jpg)
Big
Vy signal
Montag, 16. März 2020
12:16

Solution:
Changing + and - connections for next measurement (m435).
Results in a larger Vx signal and lower Vy signal.
m435: rate:16 Hz Switched
Polarity (Down Sweep)
Montag, 16. März 2020
18:51
|
|
||||||||||||
|
|
||||||||||||
|
|
|
||||||||||||
|
|
|
||||||||||||
|
|
|
||||||||||||
|
|
||||||||||||
|
|
||||||||||||
|
|
|
||||||||||||
|
|
||||||||||||
|
in Folder NewMeasurements2020\m435\* |
![Machine generated alternative text:
m435: Rate—IG Hz, Length—1024s switched polarity
— 10
10
11
12
10
0.7
0.6
0.5
0.4
0.3
0.2
0.1
2.05
2.04
> 2.03
2.02
2.01
2.00
Noise PSD
100
—0.100 —0.075 —0.050 —0.025 0.ooo 0.025 0.050 0.075 0.100
Timesignal (Bext = 0.07 T)
11
12
10
—0.100
10
10
10
—0.075
—0.075
—0.075
Noise Fit at 1 Hz
—0.050 —0.025 0.ooo 0.025 0.050 0.075 0.100
Noise Sum
—0.050 —0.025 0.ooo 0.025 0.050 0.075 0.100
Hysteresis Loop
200
600
800
1000
—0.100
0
—0.100
Time
—0.050 —0.025 0.ooo
Hext
0.025 0.050 0.075 0.100
T]](04_SR830DAQ-Dateien/image131.jpg)
m436: rate:8 Hz Down Sweep
Dienstag, 17. März
2020
15:13
|
|
||||||||||||
|
|
||||||||||||
|
|
|
||||||||||||
|
|
|
||||||||||||
|
|
|
||||||||||||
|
|
||||||||||||
|
|
||||||||||||
|
|
|
||||||||||||
|
|
||||||||||||
|
in Folder NewMeasurements2020\m436\* |
![Machine generated alternative text:
Rate
Noise PSD
10
— 10
10
—0.15
—0.10
—0.05
—0.15
—0.10
—0.15
—0.10
10
11
12
2 x 10
2.00
1.75
1.50
1.25
1.00
0.75
0.50
—0.15
1.16
1.14
1.12
1.10
1.08
1.06
3
m436:
x 10
Length
=1027s
Noise Fit at 1 Hz
x 10
4 x 10
wozAe
0.00
0.05
6
0.10
— 10
10
10
10
11
12
10
—0.10
200
0.20
1000
—0.05
—0.05
—0.05
0.00
0.05
Noise Sum
0.15
0.00
0.05
Timesignal (Bext = 0.01 T)
600
Time
Hysteresis Loop
800
0.10
0.10
0.10
0.15
0.15
0.15
0.20
0.20
0.20
0.00
Hext
0.05
T]](04_SR830DAQ-Dateien/image135.gif)
Second
Spectrum Overview

Mittwoch, 22. April 2020
10:32

m437: rate:8 Hz Up Sweep
Mittwoch, 18. März
2020
15:13
|
|
||||||||||||
|
|
||||||||||||
|
|
|
||||||||||||
|
|
|
||||||||||||
|
|
|
||||||||||||
|
|
||||||||||||
|
|
|
||||||||||||
|
|
||||||||||||
|
in Folder NewMeasurements2020\m437\* |


Info2
(64 vs 32 Averages)
Mittwoch, 22. April 2020
10:50

Second
Spectrum Overview

Mittwoch, 22. April 2020
10:45

m438: rate:4 Hz 2048 s No
Preamp Down Sweep
Donnerstag, 19. März 2020
14:06
|
|
||||||||||||
|
|
||||||||||||
|
|
|
||||||||||||
|
|
|
||||||||||||
|
|
|
||||||||||||
|
|
||||||||||||
|
|
|
||||||||||||
|
|
||||||||||||
|
in Folder NewMeasurements2020\m438\* |

m439: rate:16 Hz 1024s Up
Sweep
Freitag, 20. März 2020
02:09
|
|
||||||||||||
|
|
||||||||||||
|
|
|
||||||||||||
|
|
|
||||||||||||
|
|
|
||||||||||||
|
|
||||||||||||
|
|
|
||||||||||||
|
|
||||||||||||
|
in Folder NewMeasurements2020\m437\* |

m440: rate:32 Hz 512s
Samstag, 21. März
2020
10:02
|
|
||||||||||||
|
|
||||||||||||
|
|
|
||||||||||||
|
|
|
||||||||||||
|
|
|
||||||||||||
|
|
||||||||||||
|
|
|
||||||||||||
|
|
||||||||||||
|
in Folder NewMeasurements2020\m440\* |
![Machine generated alternative text:
m440: Rate=32 Hz, Length=512s nofSpectra: 64
Noise PSD
15
10
0.5
0.4
0.3
0.2
0.1
—0.100
—0.0172
—0.0173
—0.0174
—0.0175
—0.0176
—0.0177
3 x 10
2 x 10
6 x 10
4 x 10
3 x 10
15
15
15
—0.100
14
14
—0.100
Noise Fit at 1 Hz
—0.050 —0.025 0.ooo 0.025 0.050 0.075 0.100
Noise Sum
—0.050 —0.025 0.ooo 0.025 0.050 0.075 0.100
Hysteresis Loop
—0.075
100
100
Fit
—0.050 —0.025 0.000
Timesignal (Bext
200
Time
0.025 0.050
= 0.01 T)
300
0.075
0.100
500
0.02
0.01
0.00
—0.01
—0.02
—0.03
—0.100
—0.075
—0.075
—0.075
—0.050 —0.025 0.ooo
Hext
0.025 0.050 0.075 0.100
T]](04_SR830DAQ-Dateien/image202.gif)
m441: rate:32 Hz 512s
Montag, 23. März
2020
16:46
|
|
||||||||||||
|
|
||||||||||||
|
|
|
||||||||||||
|
|
|
||||||||||||
|
|
|
||||||||||||
|
|
||||||||||||
|
|
|
||||||||||||
|
|
||||||||||||
|
in Folder NewMeasurements2020\m440\* |

m442: rate:4 Hz 2048s
Montag, 23. März
2020
16:46
|
|
||||||||||||
|
|
||||||||||||
|
|
|
||||||||||||
|
|
|
||||||||||||
|
|
|
||||||||||||
|
|
||||||||||||
|
|
|
||||||||||||
|
|
||||||||||||
|
in Folder NewMeasurements2020\m440\* |

m443: rate:8 Hz 2048s Down
Montag, 23. März
2020
16:46
|
|
||||||||||||
|
|
||||||||||||
|
|
|
||||||||||||
|
|
|
||||||||||||
|
|
|
||||||||||||
|
|
||||||||||||
|
|
|
||||||||||||
|
|
||||||||||||
|
in Folder NewMeasurements2020\m443\* |

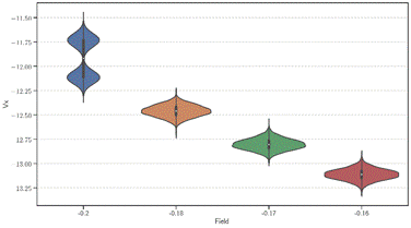
Violin
Plot (-.05 -> -.01)

Mittwoch, 22. April 2020
11:47

Second
Spectrum Info32

Mittwoch, 22. April 2020
11:13

Second
Spectrum

Mittwoch, 22. April 2020
11:19

Time
Signal vs Second Spectrum

Mittwoch, 22. April 2020
11:39

Second
Spectrum 64 Averages
Mittwoch, 22. April 2020
12:45


m444:
rate:8 Hz 2048s Up
Montag, 23. März 2020
17:29
|
|
||||||||||||
|
|
||||||||||||
|
|
|
||||||||||||
|
|
|
||||||||||||
|
|
|
||||||||||||
|
|
||||||||||||
|
|
|
||||||||||||
|
|
||||||||||||
|
in Folder NewMeasurements2020\m444\* |

Noise
Hysteresis (443/444)
Temperature
Sweep from 30K -> 10K (to save Helium)
Mittwoch, 22. April 2020
11:26

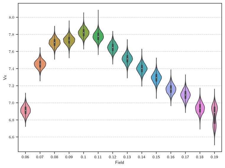
Violin
Plot (0.01 -> 0.05)
Mittwoch, 22. April 2020
15:07


Info
2

Mittwoch, 22. April 2020
14:33
Second
Spectrum

Mittwoch, 22. April 2020
14:34

m445:
rate:2 Hz ERROR
Freitag, 27. März 2020
13:58
|
|
||||||||||||
|
|
||||||||||||
|
|
|
||||||||||||
|
|
|
||||||||||||
|
|
|
||||||||||||
|
|
||||||||||||
|
|
|
||||||||||||
|
|
||||||||||||
|
in Folder NewMeasurements2020\m445\* |
||||||||||||
|
|
Program did not measure the full time!
It crashed always too early! |
||||||||||||
|
|
Unable to evaluate data! |

m446:
rate:8 Hz 2048s Down (15K)
Freitag, 27. März 2020
13:59
|
|
||||||||||||
|
|
||||||||||||
|
|
|
||||||||||||
|
|
|
||||||||||||
|
|
|
||||||||||||
|
|
||||||||||||
|
|
|
||||||||||||
|
|
||||||||||||
|
in Folder NewMeasurements2020\m446\* |


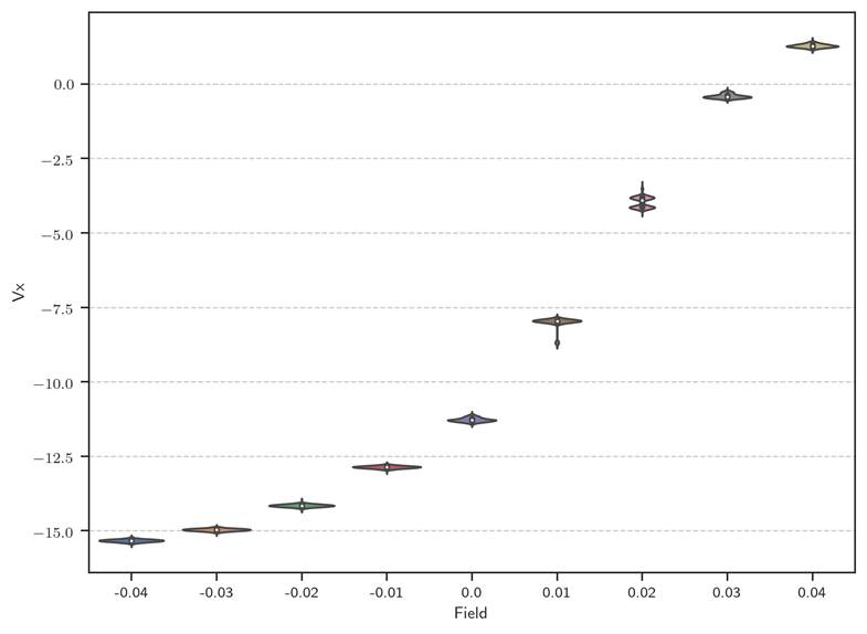
Violin
Plot (-.015 -> .015)
Donnerstag, 16. April 2020
17:48

Second
Spectrum

Dienstag, 21. April 2020
18:03

m447:
rate:8 Hz 2048s Up (15K)
Freitag, 27. März 2020
14:01
|
|
||||||||||||
|
|
||||||||||||
|
|
|
||||||||||||
|
|
|
||||||||||||
|
|
|
||||||||||||
|
|
||||||||||||
|
|
|
||||||||||||
|
|
||||||||||||
|
in Folder NewMeasurements2020\m447\* |


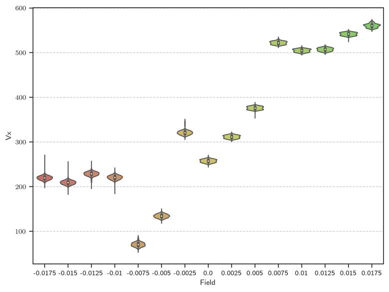
Violin
Plot (.015 -> .045)
Mittwoch, 22. April 2020
15:23

Noise
Hysteresis (446/447)

Mittwoch, 22. April 2020
15:22
Second
Spectrum

Mittwoch, 22. April 2020
15:26
m448:
rate:4 Hz 2048s Down (15K)
Dienstag, 31. März 2020
15:30
|
|
||||||||||||
|
|
||||||||||||
|
|
|
||||||||||||
|
|
|
||||||||||||
|
|
|
||||||||||||
|
|
||||||||||||
|
|
|
||||||||||||
|
|
||||||||||||
|
in Folder NewMeasurements2020\m448\* |

m449:
rate:4 Hz 2048s Up (15K)
Dienstag, 31. März 2020
15:30
|
|
||||||||||||
|
|
||||||||||||
|
|
|
||||||||||||
|
|
|
||||||||||||
|
|
|
||||||||||||
|
|
||||||||||||
|
|
|
||||||||||||
|
|
||||||||||||
|
in Folder NewMeasurements2020\m446\* |
![Machine generated alternative text:
m 449 :
— 4 x 10
10
x 10
x 10
10
—0.100
1.4
1.2
1.0
0.8
x 10
—0.100
—0.100
—0.0260
—0.0265
—0.0270
—0.0275
250
—0.100
Rate
0.050
1750
Length=2048s nofSpectra: 64
Noise PSD
4
0.075
2000
3 x 10
2 x 10
10
2 x 10
10
6
15
15
15
—0.075
—0.050
2 x 10
Fit
o.ooo
—0.025
3
0.025
15
13
13
Timesignal (Bext = 0.00 T)
—0.075
—0.075
—0.075
—0.050
—0.050
—0.050
Noise Fit at 1 Hz
o.ooo
—0.025
Noise Sum
o.ooo
—0.025
Hysteresis Loop
0.01
0.00
—0.01
—0.02
—0.03
500
750
0.025
0.025
0.025
0.050
0.050
0.050
0.075
0.075
0.075
1000
Time
1250
1500
—0.025
Hext
o.ooo
T]](04_SR830DAQ-Dateien/image400.gif)
Noise
Hysteresis (448/449)
Mittwoch, 22. April 2020
15:43

m450: EMPTY rate:8 Hz 1024s Down (15K)
Dienstag, 31. März 2020
15:30
|
|
||||||||||||
|
|
||||||||||||
|
|
|
||||||||||||
|
|
|
||||||||||||
|
|
|
||||||||||||
|
|
||||||||||||
|
|
|
||||||||||||
|
|
||||||||||||
|
After Filling Helium measured high
signal! Changed Sensitivity to 500 μV |

Contour
Plot Info
![Machine generated alternative text:
m450: Rate=8Hz, Length
Noise PSD
¯ 13
4 x 10
3X10
10¯14
2X10
2X10
-1024.os
Noise PSD
3 X SIO
400
600
Time [s]
a x 10
800
6X10
0.100
—100
-13
—50
Noise
2.0
1.5
1.0
0.5
0.4
0.3
0.2
o
10
10-15
100
et98B 0.050 0.075 0.100
0.075
1000
10
-15
200
0.02
0.01
0.00
_0.01
_0.02
—0.100-0.075-0.050-0.025 0.ooo 0.025 0.050 0.075 0.100
u OH ext [T]](04_SR830DAQ-Dateien/image418.gif)
Samstag, 16. Mai 2020
19:13
m451: EMPTY rate:8 Hz 1024s Up (15K)
Mittwoch, 1. April 2020
14:03
|
|
||||||||||||
|
|
||||||||||||
|
|
|
||||||||||||
|
|
|
||||||||||||
|
|
|
||||||||||||
|
|
||||||||||||
|
|
|
||||||||||||
|
|
||||||||||||
|
After Filling Helium measured high
signal! Changed Sensitivity to 500 μV |

Contour
Plot Info
![Machine generated alternative text:
m451: Rate=4Hz, Length
Noise PSD
4 x 10
3X10
10-14
2X10
2X10
1.75
-1024.os
slo a x 10-1
—50
Noise PSD
Noise
1.50
1.25
1.00
0.75
0.5
0.4
0.3
0.2
o
6X10
0.100
10
6X10
4 x 10
3X10
—100
-13
-14
-14
-14
10-15
100
et98B 0.050 0.075 0.100
200
400
600
800
0.075
1000
10
-15
Time [s]
0.02
0.01
0.00
_0.01
_0.02
_0.03
—0.100-0.075-0.050-0.025 0.ooo 0.025 0.050 0.075 0.100
u OH ext [T]](04_SR830DAQ-Dateien/image434.gif)
Samstag, 16. Mai 2020
19:14
Noise
Hysteresis (Empty Reference)
Mittwoch, 22. April 2020
15:46

Changing
Angle (80deg)
Donnerstag, 2. April 2020
15:26
|
|
||
|
|
|
||
|
|
|
||
|
|
|
||
|
|
|
||
|
|
<<m452_ChangeAngle.dat>>
Aiming
for Hall Voltage:
![]()
Voltage
measured:
![]()
New
Gradiometry Setup for this Angle (Plusses: 13-1): R_12 = 15 kΩ
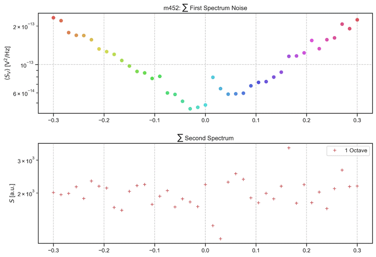
m452: rate:8 Hz 2048s Down (15K)
Dienstag, 7. April 2020
16:26
|
|
||||||||||||
|
|
||||||||||||
|
|
|
||||||||||||
|
|
|
||||||||||||
|
|
|
||||||||||||
|
|
||||||||||||
|
|
|
||||||||||||
|
|
||||||||||||
|
|

Contour
Plot Info
Samstag, 16. Mai 2020
19:34
![Machine generated alternative text:
m452:
Noise PSD
Rate=8 Hz, Length=
100
1024.os
Noise PSD
10—14
10¯15
200 -100
2.2
2.0
1.8
1.6
0.3
PSD = 15.00 mT)
6 x 10
4 x 10
3 x 10
-1
-1
-1
-1
-0.3
-0.2
-0.1
Fit YI-Bbe
600
[s]
100
0.2
1000
-13
-13
10
-14
6 x 10
-0.3
-0.005
-0.010
-0.015
-0.020
-0.3
100
200
Sum
0.1
0.1
800
-0.2
-0.2
-0.1
Time resolved
Hysteresis Loop
1.50
1.25
1.00
0.75
0.50
0.25
200
10
-15
-0.1
300
0.2
0.2
10-15
0.3
0.3
400
Time
0.1
uoHext [T]](04_SR830DAQ-Dateien/image472.gif)

Second
Spectrum
Mittwoch, 22. April 2020
15:58

m453: rate:8 Hz 2048s Up (15K)
Freitag, 10. April 2020
10:41
|
|
||||||||||||
|
|
||||||||||||
|
|
|
||||||||||||
|
|
|
||||||||||||
|
|
|
||||||||||||
|
|
||||||||||||
|
|
|
||||||||||||
|
|
||||||||||||
|
|
![Machine generated alternative text:
m453:
Noise PSD
Rate
Length=1024s nofSpectra: 64
10
1.6
1.4
d 1.2
1.0
0.8
—0.0036
—0.0038
—0.0040
—0.0042
10
2 x 10
3 x 10
x 10
x 10
x 10
x 10
x 10
4 x 10
0.1
3
2
2
6
4
15
15
15
13
13
Noise Fit at 1 Hz
0.1
Noise Sum
0.1
Hysteresis Loop
200
Fit
Timesignal (Bext
Time
6
0.2
800
10
x 10
x 10
= 0.00 mT)
600
0.3
1000
o.ooo
—0.005
—0.1
—0.1
0.2
0.2
0.2
0.3
0.3
0.3
Hext
0.1
T]](04_SR830DAQ-Dateien/image488.gif)
Contour
Plot Info
Samstag, 16. Mai 2020
19:34
![Machine generated alternative text:
1024.os
Noise PSD
10—14
(f) 10¯15
2.2
2.0
1.8
1.6
0.3
m453:
100
0.2
Rate=8 Hz, Length=
100
Fit YI-Bbe
Noise PSD
100
200
Sum
-0.2
-0.1
-1
6 x 10
-1
4 x 10
-1
3 x 10
-1
-13
-13
10
-14
6 x 10
o.ooo
-0.005
-0.010
-0.015
-200
-100
-0.2
0.1
(Bext= - 15.00 mT)
-0.1
0.1
Time resolved PSD
Hysteresis Loop
1.50
1.25
1.00
0.75
0.50
0.25
200
10
-15
300
0.2
0.2
10-15
0.3
0.3
400
Time
600
[s]
800
1000
-0.2
-0.1
0.1
uoHext [T]](04_SR830DAQ-Dateien/image490.gif)
Second
Spectrum
Mittwoch, 22. April 2020
16:07

Noise
Hysteresis
Mittwoch, 22. April 2020
16:04

m454: rate:8 Hz 2048s Down (15K)
Freitag, 10. April 2020
10:51
|
|
||||||||||||
|
|
||||||||||||
|
|
|
||||||||||||
|
|
|
||||||||||||
|
|
|
||||||||||||
|
|
||||||||||||
|
|
|
||||||||||||
|
|
||||||||||||
|
|
![Machine generated alternative text:
Rate
Length=1920s nofSpectra: 64
10
1.0
0.9
0.8
0.7
0.6
0.5
0.0010
0.0005
o.oooo
—0.0005
—0.0010
—0.0015
10
0.00
250
Noise PSD
3 x 10
Fit
0.04
Noise Fit at 1 Hz
2 x 10
0.02
4 x 10
0.06
6
0.08
1500
3
x 10
2
x 10
x 10
10
0.10
15
15
0.00
13
0.00
0.02
0.02
0.02
0.04
Noise Sum
0.04
0.06
0.06
Timesignal (Bext
= 0.00 mT)
Hysteresis Loop
500
750
0.08
0.08
0.08
0.10
0.10
0.10
1000
Time
1250
1750
0.002
0.001
o.ooo
—0.001
—0.002
0.00
0.04
Hext
0.06
T]](04_SR830DAQ-Dateien/image505.gif)
Error
Measurement Length
Mittwoch, 22. April 2020
15:37

m455: rate:8 Hz 2048s Up (15K)
Freitag, 10. April 2020
10:52
|
|
||||||||||||
|
|
||||||||||||
|
|
|
||||||||||||
|
|
|
||||||||||||
|
|
|
||||||||||||
|
|
||||||||||||
|
|
|
||||||||||||
|
|
||||||||||||
|
|
![Machine generated alternative text:
Rate
10
13
10
Noise PSD
3 x 10
m455:
6
Length=1920s nofSpectra: 64
Noise Fit at 1 Hz
—0.10
0.10
x 10
x 10
x 10
x 10
—0.15
—0.10
x 10
x 10
x 10
—0.15
—0.10
—0.15
—0.10
II
2 x 10
—0.05
4
3
2
4
3
2
1.75
1.50
d 1.25
1.00
0.75
0.50
—0.15
—0.022
—0.023
—0.024
—0.025
—0.026
Fit
0.00
(Bext =
1000
Time
10
15
15
15
13
13
13
13
0.15
1750
—0.05
—0.05
—0.05
0.00
Noise Sum
0.00
Hysteresis Loop
0.05
0.05
Timesignal
500
750
0.05
10.00 mT)
1250
—0.005
—0.010
—0.015
—0.020
—0.025
250
1500
0.10
0.10
0.10
0.15
0.15
0.15
0.00
Hext
0.05
T]](04_SR830DAQ-Dateien/image516.gif)
m456: rate:8 Hz multiple 2048s at 0 T
Freitag, 10. April 2020
10:53
|
|
||||||||||||
|
|
||||||||||||
|
|
|
||||||||||||
|
|
|
||||||||||||
|
|
|
||||||||||||
|
|
||||||||||||
|
|
|
||||||||||||
|
|
Slope
(alpha): 0.742
Intercept: 2.8610e-15
Sum of Noise: 3.0521e-11

Histogram
(Gaussian Data)
Dienstag, 21. April 2020
15:49

Second
Spectrum
Mittwoch, 22. April 2020
16:46

Analysis
Sonntag, 17. Mai 2020
14:01
45deg
Plusses
Dienstag, 19. Mai 2020
15:34
8
Hz

Sonntag, 17. Mai 2020
14:01

32
Hz
Dienstag, 19. Mai 2020
15:36

Empty
Background 45deg (450/451)
Dienstag, 19. Mai 2020
09:51

80deg
wide sweep (452/453)
Dienstag, 19. Mai 2020
09:50

m458: rate:8 Hz 2048s Down (15K)
Samstag, 20. Juni 2020
13:14
|
|
||||||||||||
|
|
||||||||||||
|
|
|
||||||||||||
|
|
|
||||||||||||
|
|
|
||||||||||||
|
|
||||||||||||
|
|
|
||||||||||||
|
|
||||||||||||
|
|
m459: rate:8 Hz 2048s Up (15K)
Samstag, 20. Juni 2020
13:14
|
|
||||||||||||
|
|
||||||||||||
|
|
|
||||||||||||
|
|
|
||||||||||||
|
|
|
||||||||||||
|
|
||||||||||||
|
|
|
||||||||||||
|
|
||||||||||||
|
|
m460: rate:8 Hz 2048s Down (15K)
Samstag, 27. Juni 2020
12:00
|
|
||||||||||||
|
|
||||||||||||
|
|
|
||||||||||||
|
|
|
||||||||||||
|
|
|
||||||||||||
|
|
||||||||||||
|
|
|
||||||||||||
|
|
||||||||||||
|
|
m461: rate:8 Hz 2048s Up (15K)
Samstag, 27. Juni 2020
12:00
|
|
||||||||||||
|
|
||||||||||||
|
|
|
||||||||||||
|
|
|
||||||||||||
|
|
|
||||||||||||
|
|
||||||||||||
|
|
|
||||||||||||
|
|
||||||||||||
|
|
m462: rate:8 Hz 2048s Down (15K)
Samstag, 27. Juni 2020
12:00
|
|
||||||||||||
|
|
||||||||||||
|
|
|
||||||||||||
|
|
|
||||||||||||
|
|
|
||||||||||||
|
|
||||||||||||
|
|
|
||||||||||||
|
|
||||||||||||
|
|