Thursday, 19.
December 2019
11:03

Measurements while sweeping field
Donnerstag, 13. Juni
2019
14:06
|
From |
To |
Structures |
Sweeping Rate [mT/min] |
Measurement |
|
+ |
·
|
Crosses |
48 |
|
|
·
|
+ |
Crosses |
48 |
|
|
+ |
·
|
Plusses |
48 |
|
|
+ |
·
|
Empty
#1 |
48 |
|
|
+ |
·
|
Plusses |
7.86 |
|
Limit
[± mT] |
Structures |
Sweeping Rate [mT/min] |
Measurement |
. |
|
±
250 |
Plusses |
11.86 |
|
|
|
±
500 |
Plusses |
23.7 |
|
|
|
±
100 |
Plusses |
4.7 |
|
Measurement
Plan #2
Donnerstag, 13. Juni 2019
16:41
Static Field (compare with measurements at 90deg (static field))
|
Nr |
Struct |
Field |
PM? |
F-Span |
Avg |
Time |
|
#1
Empty |
0 |
PM |
6
/ 3 |
30 |
90
min |
|
|
|
-572.5
mT |
PM |
12
/ 6 / 3 / 1 / 0.78 |
30 |
500
min |
|
|
|
250
mT |
PM |
|
30 |
|
|
|
|
500
mT |
PM |
|
30 |
|
|
|
|
1.5
T |
PM |
|
30 |
|
|
|
|
2
T |
PM |
|
30 |
|
|
|
Crosses |
250
mT |
PM |
|
30 |
|
|
|
|
500
mT |
PM |
|
30 |
|
|
|
|
1.5
T |
PM |
|
30 |
|
|
|
|
2
T |
PM |
|
30 |
|
Sweeping Field (compare with Measurements while sweeping field )
|
Nr |
Struct |
Field
From |
Field
To |
SR
[mT/min] |
F-Span |
Avg |
Time
[min] |
|
#1
Empty |
2T |
1
T |
9.434 |
1.5625 |
25 |
107 |
|
|
|
|
|
4,7 |
0.78 |
|
214 |
|
|
|
500
mT |
-500
mT |
9.4 |
1.56 |
|
107 |
|
|
|
|
|
|
4.7 |
0.78 |
|
214 |
|
|
1
T |
-1
T |
9.4 |
0.78 |
|
214 |
|
|
|
|
|
4.7 |
0.39 |
|
407 |
|
|
Crosses |
2
T |
1
T |
9.4 |
1.56 |
|
107 |
|
|
|
|
|
4.7 |
0.78 |
|
214 |
|
|
|
500
mT |
-500
mT |
9.4 |
1.56 |
|
107 |
|
|
|
|
|
4.7 |
0.78 |
|
214 |
|
|
|
1
T |
-1
T |
9.4 |
0.78 |
|
214 |
|
|
|
|
|
4.7 |
0.39 |
|
407 |
|
|
|
500
mT |
-500
mT |
9.4 |
1.56 |
25 |
107 |
|
|
|
300 |
-300 |
2.8 |
0.78 |
25 |
214 |
|
|
|
750 |
-750 |
7 |
0.78 |
25 |
214 |
|
|
|
0.1 |
0.1 |
0.093 |
0.78 |
25 |
214 |
|
|
#1
Empty |
500
mT |
-500
mT |
9.4 |
1.56 |
25 |
107 |
|
|
Plusses |
500
mT |
-500
mT |
9.4 |
1.56 |
25 |
107 |
|
|
|
50
mT |
-50
mT |
0.934 |
1.56 |
25 |
107 |
|
|
|
25
mT |
-25mT |
0.46 |
1.56 |
25 |
107 |
|
|
|
0 |
0.5 |
4.6 |
1.56 |
25 |
107 |
|
|
|
#1
Empty |
25
mT |
-25mT |
0.46 |
1.56 |
25 |
107 |
|
|
Plusses |
5mT |
-5mT |
9.3e-5 |
|
|
|
Measurement
Plan #3_magnetic field effect
02 June 2019
17:30
Field
Sweeps (ΔB = T)
|
Nr |
Struct |
Field From |
Field To |
Hloop_branch |
SR [mT/min] |
F-Span |
Vin(V)/sens (mV)/gain |
Avg |
Time [min, Hr] |
Date |
|
Plusses |
25
mT |
-25
mT |
+Saturated |
0.11 |
1.5/0.7 |
5/5/20 |
35 |
448_7.4 |
02.07.2019 |
|
|
Plusses |
-25
mT |
25
mT |
-Saturated |
0.11 |
1.5/0.7 |
5/5/20 |
35 |
448_7.4 |
03.07.2019 |
|
|
Plusses |
-443 mT |
-611 mT |
+Saturated |
2.352 |
1.5/0.7 |
5/5/20 |
35 |
448_7.4 |
03.07.2019 |
|
|
Plusses |
-291 mT |
-443 mT |
+Saturated |
0.5 |
1.5/0.7 |
5/5/20 |
24 |
303_5 |
03.07.2019 |
|
|
Plusses |
36.56mT |
-291.13 mT |
+Saturated |
0.5 |
1.5/0.7 |
5/5/20 |
51 |
655_10.9 |
04.07.2019 |
|
|
Plusses |
-36.56mT |
-291.13 mT |
-Saturated |
0.5 |
1.5 |
5/5/20 |
153 |
652_10.9 |
04.07.2019_Thursday
night |
|
|
Empty |
36.56mT |
-291.13 mT |
-Saturated |
0.5 |
1.5 |
5/5/20 |
153 |
652_10.9 |
05.07.2019_Friday |
|
|
Empty |
-25
mT |
+25
mT |
-Saturated |
0.5 |
1.5 |
5/5/20 |
24 |
100 |
06.07.2019_midnight_Saturday |
|
|
Plusses |
-25
mT |
+25
mT |
-Saturated |
0.5 |
1.5 |
5/5/20 |
24 |
100 |
06.07.2019_Saturday_afternoon |
|
|
Plusses |
-25
mT |
25
mT |
-Saturated |
1 |
1.5 |
5/5/20 |
12 |
50 |
06.07.2019_Saturday_evening |
|
|
Plusses |
-25
mT |
25
mT |
-Saturated |
0.1 |
1.5 |
5/5/20 |
117 |
500 |
06.07.2019_Saturday_night |
|
|
Plusses |
-25
mT |
25
mT |
-Saturated |
0.25 |
1.5 |
5/5/20 |
47 |
200 |
07.07.2019_Sunday_morning |
|
|
Plusses |
-25
mT |
25
mT |
-Saturated |
2 |
1.5 |
5/5/20 |
6 |
25 |
07.07.2019_Sunday_lunch
time |


![]()
![]()
![]()
![]()
![]()
![]()
![]()
![]()
![]()
![]()
![]()
![]()
![]()
![]()
![]()
![]()
![]()
![]()
![]()
![]()

![]()

![]()
![]()

![]()
![]()
![]()
![]()
![]()
![]()
![]()
![]()
![]()
![]()
![]()
![]()
![]()

Measurement
Plan #4_Temp effect
07 July 2019
12:37
Field Sweeps and Tamperature
effect (ΔB = T)
|
Nr |
Struct |
Field From |
Field To |
Hloop_branch |
T (K) |
SR [mT/min] |
F-Span |
Vin(V)/sens (mV)/gain |
Avg |
Time [min, Hr] |
Date |
|
m355: |
Plusses |
-25
mT |
25
mT |
-Saturated |
25 |
0.5 |
1.5 |
5/5/20 |
24 |
100 |
07.07.2019_Sunday_ |
|
Plusses |
-25
mT |
25
mT |
-Saturated |
20 |
0.5 |
1.5 |
5/5/20 |
24 |
100 |
07.07.2019_Sunday_ |
|
|
Plusses |
-25
mT |
25
mT |
-Saturated |
15 |
0.5 |
1.5 |
5/5/20 |
24 |
100 |
07.07.2019_Sunday_midnight |
|
|
Plusses |
-25
mT |
25
mT |
-Saturated |
10 |
0.5 |
1.5 |
5/5/20 |
24 |
100 |
08.07.2019_Monday_early
morning |
|
|
Plusses |
-25
mT |
25
mT |
-Saturated |
5 |
0.5 |
1.5 |
5/5/20 |
24 |
100 |
08.07.2019_Monday_early
morning |

![]()
![]()
![]()
![]()
![]()
![]()
![]()
![]()
![]()
![]()
![]()
![]()
![]()
![]()
![]()
![]()
![]()
![]()
![]()

Measurement
Plan #5_Static field effect
![]()
08 July 2019
12:37
![]()
![]()
![]()
![]()
![]()
![]()
![]()
![]()
![]()
![]()
![]()
![]()
![]()
![]()
![]()
![]()
Static field effect
|
Nr |
Struct |
Field static at |
Hloop_branch |
T (K) |
F-Span |
Vin(V)/sens (mV)/gain |
Avg |
Time [min, Hr] |
Date |
|
Plusses |
25
mT |
-Saturated |
5 |
1.5 |
5/5/20 |
24 |
100 |
08.07.2019_Monday_ |
|
|
Plusses |
-25
mT |
+Saturated |
5 |
1.5 |
5/5/20 |
24 |
100 |
08.07.2019_Monday_ |
|
|
|
|
|
|
|
|
|
|
|
|
![]()
![]()
![]()
![]()
![]()
![]()
![]()
![]()


Measurement Plan #6_dynamic field
interval effect
![]()
![]()
![]()
![]()
![]()
![]()
![]()
08 July 2019
12:37
![]()
![]()
![]()
![]()
![]()
![]()
![]()
![]()
![]()
![]()
![]()
![]()
![]()
![]()
![]()
![]()
![]()
Dynamic field interval effect
|
Nr |
Struct |
Field From |
Field To |
Hloop_branch |
SR [mT/min] |
F-Span |
Vin(V)/sens (mV)/gain |
Avg |
Time [min, Hr] |
Date |
|
Plusses |
-50mT |
50mT |
-Saturated |
2 |
1.5 |
5/5/20 |
12 |
50 |
08.07.2019_Monday_ |
|
|
Plusses |
-75
mT |
75mT |
-Saturated |
2 |
1.5 |
5/5/20 |
18 |
75 |
08.07.2019_Monday_ |
|
|
Plusses |
-100
mT |
100mT |
-Saturated |
2 |
1.5 |
5/5/20 |
35 |
100 |
08.07.2019_Monday_ |
|
|
Plusses |
-125mT |
125mT |
-Saturated |
2 |
1.5 |
5/5/20 |
35 |
75 |
09.07.2019_Tuesday after midnight_ |
|
|
Plusses |
-150
mT |
150mT |
-Saturated |
2 |
1.5 |
5/5/20 |
35 |
150 |
09.07.2019_Early morning_ |
![]()
![]()
![]()
![]()

![]()
![]()
![]()
![]()
![]()
![]()
![]()
![]()
![]()
![]()
![]()
![]()
![]()
![]()
![]()
![]()
![]()
![]()
![]()
![]()
![]()
![]()
![]()
![]()
![]()
![]()
![]()
![]()
![]()
![]()
![]()
![]()
![]()
![]()
![]()
![]()
![]()
![]()
![]()
![]()
![]()
![]()
![]()
![]()
![]()
![]()
![]()
![]()
![]()
![]()
![]()
![]()
![]()
![]()
![]()
![]()
![]()
![]()
![]()
![]()
![]()
![]()
![]()
![]()
![]()
![]()
![]()
![]()
![]()
![]()
![]()
![]()
![]()
![]()
![]()
![]()
![]()
![]()
![]()
![]()

![]()
![]()
![]()
Measurement Plan #8_winde-ranging
field with slow sweeping_comparison magnetic crosses and empty
08 July 2019
12:37
winde-ranging field
with slow sweeping from positive saturation
|
Nr |
Struct |
Field From |
Field To |
SR [mT/min] |
F-Span |
Vin(V)/sens (mV)/gain |
Avg |
Time [min, Hr] |
Date |
|
Plusses |
+1T |
-1T |
5 |
1.5 |
5/5/20 |
94 |
400min |
09.07.2019_Tuesday_ |
|
|
Crosses |
+1T |
-1T |
5 |
1.5 |
5/2/20 |
94 |
400min |
10.07.2019_Wednesday_ |
|
|
Empty |
+1T |
-1T |
5 |
1.5 |
5/5/20 |
94 |
400min |
10.07.2019_Wednesday_ |
![]()

![]()
![]()
![]()
![]()
![]()
![]()
![]()
![]()
![]()
![]()

![]()
![]()
![]()
![]()
![]()
![]()
![]()
![]()
![]()
![]()
![]()
![]()
![]()
![]()
![]()
![]()

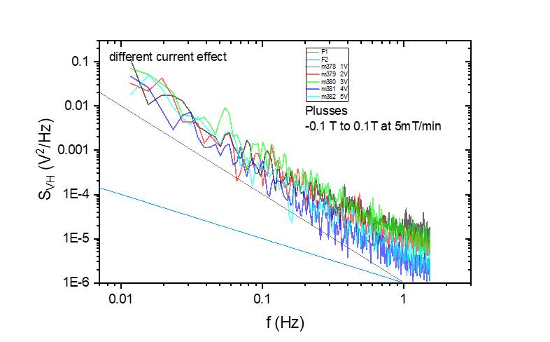
Measurement Plan #11_different
applied current__for plusses
Samstag, 13. Juli 2019
21:36
Different applying
current _from positive saturation
|
Nr |
Struct |
Field From |
Field To |
Saturation at |
SR [mT/min] |
F-Span |
Vin(V)/sens (mV)/gain |
Avg |
Time [min, Hr] |
Date |
|
|
Plusses |
-100mT |
100mT |
-1T |
5 |
1.5 |
1/5/20 |
10 |
40 |
13.07.2019_Saturday_ |
|
|
Plusses |
-100mT |
100mT |
-1T |
5 |
1.5 |
1/5/20 |
10 |
40 |
13.07.2019_Saturday_ |


![]()

![]()
![]()
![]()
![]()
![]()
![]()
![]()
![]()

Measurement Plan
#12_plusses_different regimes (DB = 50mT)
Donnerstag, 18. Juli 2019
16:10
different
regimes (DB = 50mT)
|
Nr |
|
Struct |
Field From |
Field To |
Saturation at |
SR [mT/min] |
F-Span |
Vin(V)/sens (mV)/gain |
Avg |
Time [min, Hr] |
Date |
|
1 |
Plusses |
25mT |
-25mT |
+1T |
.5 |
1.5 |
5/5/20 |
24 |
100 |
18.07.2019_Thursday_ |
|
|
|
Plusses |
-25mT |
-75mT |
no
pre-saturation |
.5 |
1.5 |
5/5/20 |
24 |
100 |
19.07.2019_Friday_ |
|
|
2 |
Plusses |
-25mT |
-75mT |
+1T |
.5 |
1.5 |
5/5/20 |
24 |
100 |
19.07.2019_Friday_ |
|
|
3 |
Plusses |
-75mT |
-125mT |
+1T |
.5 |
1.5 |
5/5/20 |
24 |
100 |
19.07.2019_Friday_ |
|
|
4 |
|
-125 |
-175 |
|
|
|
|
|
|
|
|
|
5 |
|
-175 |
-225 |
|
|
|
|
|
|
|
|
|
6 |
|
-225 |
-275 |
|
|
|
|
|
|
|
|
|
7 |
|
-275 |
-325 |
|
|
|
|
|
|
|
|
|
8 |
|
-300 |
-350 |
|
|
|
|
|
|
|
|
|
9 |
|
-350 |
-400 |
|
|
|
|
|
|
|
|
|
10 |
|
-400 |
-450 |
|
|
|
|
|
|
|
|
|
11 |
|
-450 |
-500 |
|
|
|
|
|
|
|
|
|
12 |
|
-500 |
-550 |
|
|
|
|
|
|
|
|
|
13 |
|
-575 |
-625 |
|
|
|
|
|
|
Filling He (Vx) |
|
|
14 |
|
-625 |
-575 |
-1T |
|
|
|
|
|
|
|
|
15 |
|
-50 |
0 |
|
|
|
|
|
|
|
|
|
16 |
|
-575 |
-625 |
+1T |
|
|
|
|
|
Repeat |
|
|
17 |
|
0 |
50 |
-1T |
|
|
|
|
|
|
|
|
18 |
|
50 |
0 |
+1T |
|
|
|
|
|
|
|
|
19 |
|
0 |
-50 |
|
|
|
|
|
|
|
|
|
20 |
|
25 |
-25 |
|
|
|
|
|
|
|
|
|
21 |
|
-25 |
-75 |
|
|
|
|
|
|
|
|
|
22 |
|
-25 |
-75 |
No saturation |
|
|
|
|
|
|
|
|
23 |
|
619 |
569 |
|
|
|
|
|
|
|
|
|
24 |
|
0 |
-50 |
|
|
|
|
|
|
|
