Magnetic Flux Noise (MFN)
Content
Fig. 18 Structure of the Magnetic Flux Noise Measurements.
About MFN
Content
The following section is about the fluctuations of the magnetic system.
Fig. 19 Repeated hysteresis loops (Crosses).
Fig. 20 Repeated hysteresis loops (Plusses).
Signal Analyzer
These measurements have been performed with the SR785.
SR785 Signal Analyzer
The signal analyzer SR785 is in-situ calculating the Fourier transformation of a signal. This yields faster results and improved memory usage because the raw signal does not need to be saved. This also implies that the raw signal is not available for further analysis.
Fig. 21 SR785: Large field sweeps outside and covering the hysteresis.
Fig. 22 SR785: Field sweeps inside the hysteresis.
Influence of various parameters on the PSD
Temperature
Fig. 23 SR785: Field sweeps at different temperatures.
Sweeprate
Fig. 24 SR785: Field sweeps for different sweeprates.
Applied Current Amplitude
Fig. 25 SR785: Field sweeps with different applied currents.
SR830 Data Acquisition (SR830DAQ)
These measurements have been performed solely with the SR830 lock-in amplifier.
Time-Signals
The SR830 can be programmed to send automatically data to the computer. Using this feature it is possible to acquire the raw (unfiltered) data.
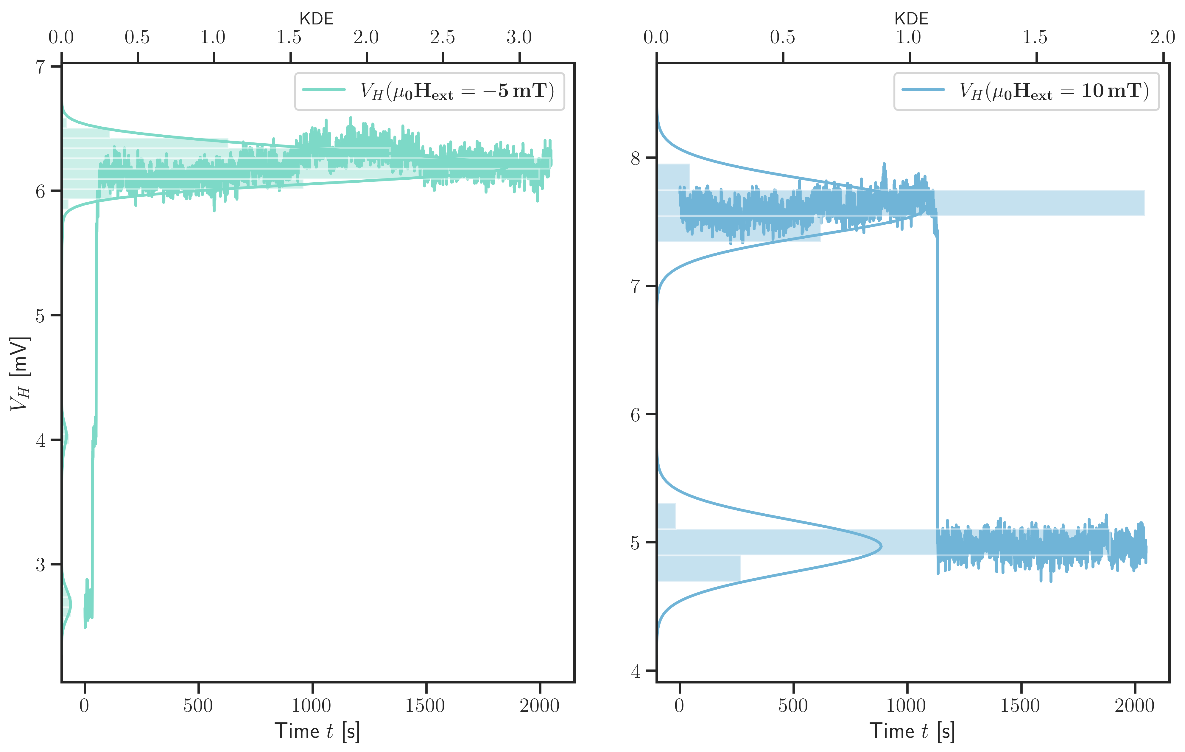
Fig. 26 SR830DAQ: Time-Signal’s KDEs at static positions (m446).
Fig. 27 SR830DAQ: Time-Signal’s KDEs at static positions (m447).
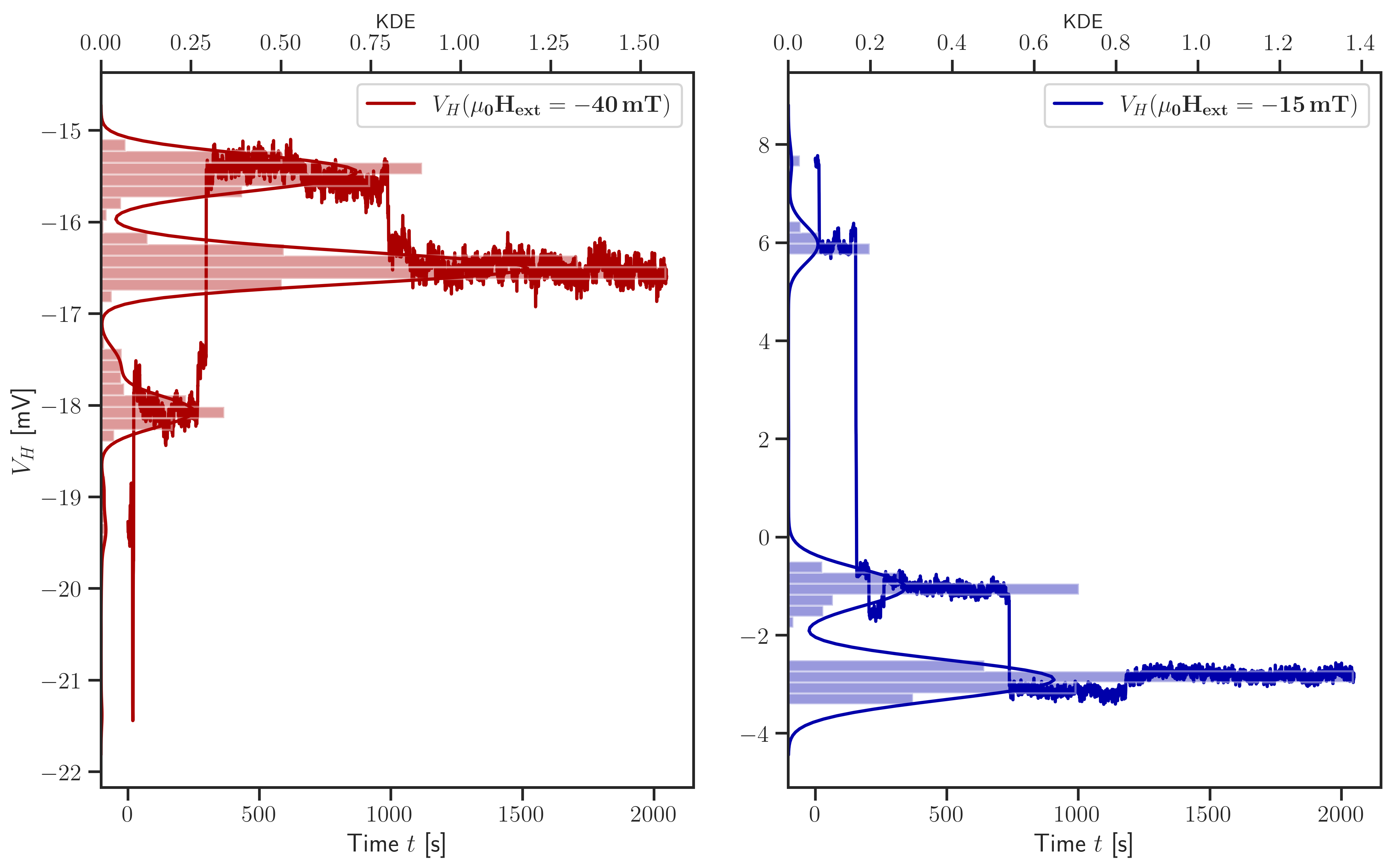
Fig. 28 SR830DAQ: Time-Signal at selected positions (m446).
Fig. 29 SR830DAQ: Time-Signal at selected positions (m447).
Fig. 30 SR830DAQ: Time-Signal at selected positions (m446).
Analysis Overview
Fig. 31 SR830DAQ: Analysis Overview (m446).
Fig. 32 SR830DAQ: Analysis Overview (m447).
Calculated PSD
Fig. 33 SR830DAQ: Field sweeps for different sweeprates.
Fig. 34 SR830DAQ: Field sweeps with different applied currents.
MFN: Signal Analyzer
- Date
2019
- Angle
90deg
Important
Every parameter can be researched in detail it the OneNote notebook 03: MFN
Important
We found out: Filling helium into the cryostat interferes with the electric wiring of the cryostat and makes measurements impossible for the near time.
- Date
Juli 2019
Measurement Plan 9: after filling He, the temperature was not stable. I took 5 hours to be stable. choosing the sensitivity extremly depend on the temperature. It was on overload when choosing 5mV.
After stabalizing the temp, 5mV was OK.
Static Field
Important Measurements
Measurement Plan #11: different applied current for plusses
Together with Measurement Plan #5: Static field effect
Nr. |
Struct |
Temp |
Dir |
Position [mT] |
|---|---|---|---|---|
360 |
Plusses |
5 |
Down |
25 |
361 |
Plusses |
5 |
Up |
-25 |
280 |
Crosses |
30 |
Down |
0 |
281 |
Plusses |
30 |
Down |
0 |
310 |
Empty |
30 |
Down |
0 |
282 |
Plusses |
30 |
Down |
-9.4 |
283 |
Crosses |
30 |
Down |
-9.4 |
First measurements at 90deg
- Date
Juni 2019
Nr |
Structure |
Field (PM) [T] |
freq-span [Hz] |
avg |
Gain |
m274 |
C |
1 |
50/ 12.5/ 3.125 |
30 |
20 |
m275 |
#1 |
1 |
|||
m276 |
#2 |
||||
m277 |
C |
4 |
|||
m278 |
#1 |
||||
m279 |
C |
|
|||
m280 |
C |
0 |
|||
m281 |
P |
||||
m282 |
P |
-9.4 mT (down) |
|||
m283 |
C |
||||
m286 |
P |
-2.824 mT (down) |
|||
m287 |
P |
-0.0063 T |
|||
m288 |
P |
0.01247 |
|||
m289 |
P |
0.015 |
|||
m290 |
P |
0.03 |
|||
m291 |
P |
-0.57246 |
|
||
m292 |
P |
-0.10422 |
|||
m293 |
P |
-4 |
|||
m294 |
C |
-4 |
|||
m295 |
#1 |
-4 |
|||
m296 |
#2 |
-4 |
|||
m297 |
C |
-2.824 mT |
|||
m298 |
C |
-0.0063 T |
|||
m299 |
C |
-0.5725 |
|
||
m300 |
C |
0.01247 |
|||
m301 |
C |
0.015 |
Measurement Plan #2
- Date
Juni 2019
Nr |
Struct |
Field |
Permanent? |
F-Span |
Avg |
Time |
|---|---|---|---|---|---|---|
m310 |
#1 Empty |
0 |
PM |
|
30 |
90 min |
m311 |
-572.5 mT |
PM |
12 / 6 / 3 / 1 / 0.78 |
30 |
500 min |
|
m312 |
250 mT |
PM |
3.125, 1.5625Hz |
30 |
||
m313 |
500 mT |
PM |
3.125, 1.5625Hz |
30 |
||
m314 |
1.5 T |
PM |
3.125, 1.5625Hz |
30 |
||
m319: |
2 T |
PM |
1.56 / 0.78 Hz |
30 |
||
m315 |
Crosses |
250 mT |
PM |
1.56 / 0.78 Hz |
30 |
|
m316 |
500 mT |
PM |
1.56 / 0.78 Hz |
30 |
||
m317: |
1.5 T |
PM |
1.56 / 0.78 Hz |
30 |
||
m318: |
2 T |
PM |
1.56 / 0.78 Hz |
30 |
Moving Field
- Date
Juni 2019
Sweeping the field from positive to negative \(B_{max}\).
Note
C: Crosses
P: Plusses
#1: Empty Cross
Fig. 35 First field sweeps
Measurement Plan #2
- Date
Juni 2019
Nr |
Struct |
Field From |
Field To |
SR [mT/min] |
F-Span |
Avg |
Time [min] |
|---|---|---|---|---|---|---|---|
m320 |
#1 Empty |
2T |
1 T |
9,43 |
1,56 |
25 |
107 |
m321 |
4,7 |
0,78 |
214 |
||||
m322 |
500 mT |
-500 mT |
9,4 |
1,56 |
107 |
||
4,7 |
0,78 |
214 |
|||||
m323 |
1 T |
-1 T |
9,4 |
0,78 |
214 |
||
m324 |
4,7 |
0,39 |
407 |
||||
m325 |
Crosses |
2 T |
1 T |
9,4 |
1,56 |
107 |
|
m326: |
4,7 |
0,78 |
214 |
||||
m327: |
500 mT |
-500 mT |
9,4 |
1,56 |
107 |
||
m328: |
4,7 |
0,78 |
214 |
||||
m329: |
1 T |
-1 T |
9,4 |
0,78 |
214 |
||
m330: |
4,7 |
0,39 |
407 |
||||
m331: |
500 mT |
-500 mT |
9,4 |
1,56 |
25 |
107 |
|
m332: |
300 |
-300 |
2,8 |
0,78 |
25 |
214 |
|
m333: |
750 |
-750 |
7 |
0,78 |
25 |
214 |
|
m334: |
0.1 |
0.1 |
0.093 |
0,78 |
25 |
214 |
|
m335: |
#1 Empty |
500 mT |
-500 mT |
9,4 |
1,56 |
25 |
107 |
m336: |
Plusses |
500 mT |
-500 mT |
9,4 |
1,56 |
25 |
107 |
m337: |
50 mT |
-50 mT |
0.934 |
1,56 |
25 |
107 |
|
m338: |
25 mT |
-25mT |
0,46 |
1,56 |
25 |
107 |
|
m339: |
0 |
0.5 |
4,6 |
1,56 |
25 |
107 |
|
#1 Empty |
25 mT |
-25mT |
0,46 |
1,56 |
25 |
107 |
|
Plusses |
5mT |
-5mT |
9.3e-5 |
- index
m322; m327; m328
Fig. 36 Plan #2: Field sweeps inside hysteresis (m322/327/328).
Large Sweep Ranges
- Temperature
\(T = 30~K\)
Nr. |
Struct |
From |
To |
|---|---|---|---|
320 |
Empty |
2 T |
1 T |
325 |
Crosses |
2 T |
1 T |
323 |
Empty |
1 T |
-1 T |
329 |
Crosses |
1 T |
-1 T |
322 |
Empty |
.5 T |
-.5 T |
327 |
Crosses |
.5 T |
-.5 T |
336 |
Plusses |
.5 T |
-.5 T |
333 |
Crosses |
.75 T |
-.75 T |
332 |
Crosses |
.3 T |
-.3 T |
331 |
Crosses |
.1 T |
-.1 T |
Plots
Different Sweep Rates
Important
T = 30K
Plusses
Sweeps from \(-M_S \rightarrow -25 \rightarrow 25\) mT
Nr. |
Rate (mT/min) |
|---|---|
354 |
2 |
351 |
1 |
353 |
.25 |
352 |
.1 |
MFN: Lock-In
- Date
Feb - Aug. 2020
Content
Note
Ange set to 45deg and fixed there. Measurements
SR830 DAQ
45deg Measurements
Nr. |
Struct |
Angle |
Voltage |
Frequency |
Temp |
Preamp |
Rate |
Time |
Dir |
Limit |
dB |
timeconstant |
Error |
|---|---|---|---|---|---|---|---|---|---|---|---|---|---|
430 |
Plusses |
45 |
2.5 |
17 |
30 |
False |
8 |
600 |
Down |
0.2 |
0.01 |
0.1 |
nan |
431 |
Plusses |
45 |
2.5 |
17 |
30 |
False |
8 |
600 |
Up |
0.2 |
0.01 |
0.1 |
nan |
432 |
Plusses |
45 |
2.5 |
17 |
30 |
True |
16 |
1024 |
Down |
0.1 |
0.0025 |
0.1 |
1 |
433 |
Plusses |
45 |
2.5 |
113 |
30 |
True |
16 |
1024 |
Up |
0.1 |
0.002 |
0.1 |
nan |
434 |
Plusses |
45 |
2.5 |
113 |
30 |
True |
32 |
512 |
Up |
0.2 |
0.02 |
0.1 |
nan |
435 |
Plusses |
45 |
5 |
113 |
30 |
True |
16 |
1024 |
Down |
0.1 |
0.005 |
0.1 |
nan |
436 |
Plusses |
45 |
5 |
113 |
30 |
True |
8 |
1024 |
Down |
0.2 |
0.005 |
0.1 |
nan |
437 |
Plusses |
45 |
5 |
113 |
30 |
False |
8 |
768 |
Up |
0.15 |
0.005 |
0.1 |
nan |
438 |
Plusses |
45 |
5 |
113 |
30 |
False |
4 |
2048 |
Down |
0.1 |
0.01 |
0.1 |
nan |
439 |
Plusses |
45 |
5 |
113 |
30 |
False |
16 |
1024 |
Down |
0.1 |
0.005 |
0.1 |
nan |
440 |
Plusses |
45 |
5 |
113 |
30 |
False |
32 |
512 |
Up |
0.1 |
0.005 |
0.1 |
nan |
441 |
Plusses |
45 |
5 |
113 |
30 |
False |
32 |
512 |
Down |
0.1 |
0.005 |
0.1 |
nan |
442 |
Plusses |
45 |
5 |
113 |
30 |
False |
4 |
2048 |
Up |
0.1 |
0.005 |
0.1 |
nan |
443 |
Plusses |
45 |
5 |
113 |
20 |
False |
8 |
2048 |
Down |
0.1 |
0.005 |
0.1 |
1 |
444 |
Plusses |
45 |
5 |
113 |
20 |
False |
8 |
2048 |
Up |
0.1 |
0.005 |
0.1 |
1 |
445 |
Plusses |
45 |
5 |
113 |
10 |
False |
2 |
2048 |
Down |
0.1 |
0.005 |
0.1 |
1 |
446 |
Plusses |
45 |
5 |
113 |
15 |
False |
8 |
2048 |
Down |
0.1 |
0.005 |
0.1 |
nan |
447 |
Plusses |
45 |
5 |
113 |
15 |
False |
8 |
2048 |
Up |
0.1 |
0.005 |
0.1 |
nan |
448 |
Plusses |
45 |
5 |
113 |
15 |
False |
4 |
2048 |
Down |
0.1 |
0.005 |
0.3 |
1 |
449 |
Plusses |
45 |
5 |
113 |
15 |
False |
4 |
2048 |
Up |
0.1 |
0.005 |
0.3 |
1 |
450 |
Empty |
45 |
5 |
113 |
15 |
False |
8 |
1024 |
Down |
0.1 |
0.005 |
0.3 |
nan |
451 |
Empty |
45 |
5 |
113 |
15 |
False |
8 |
1024 |
Up |
0.1 |
0.005 |
0.3 |
nan |
Useful Measurements
Nr. |
Struct |
Angle |
Voltage |
Frequency |
Temp |
Preamp |
Rate |
Time |
Dir |
Limit |
dB |
timeconstant |
|---|---|---|---|---|---|---|---|---|---|---|---|---|
430 |
Plusses |
45 |
2.5 |
17 |
30 |
False |
8 |
600 |
Down |
0.2 |
0.01 |
0.1 |
431 |
Plusses |
45 |
2.5 |
17 |
30 |
False |
8 |
600 |
Up |
0.2 |
0.01 |
0.1 |
446 |
Plusses |
45 |
5 |
113 |
15 |
False |
8 |
2048 |
Down |
0.1 |
0.005 |
0.1 |
447 |
Plusses |
45 |
5 |
113 |
15 |
False |
8 |
2048 |
Up |
0.1 |
0.005 |
0.1 |
450 |
Empty |
45 |
5 |
113 |
15 |
False |
8 |
1024 |
Down |
0.1 |
0.005 |
0.3 |
451 |
Empty |
45 |
5 |
113 |
15 |
False |
8 |
1024 |
Up |
0.1 |
0.005 |
0.3 |
452 |
Plusses |
80 |
5 |
17 |
15 |
False |
8 |
1024 |
Down |
0.3 |
0.015 |
0.1 |
453 |
Plusses |
80 |
5 |
17 |
15 |
False |
8 |
1024 |
Up |
0.3 |
0.015 |
0.1 |
456 |
Plusses |
80 |
5 |
17 |
15 |
False |
8 |
2048 |
STATIC |
0 |
0 |
0.1 |
45deg
Plusses
17 Hz / 2.5 V / 30 K (Best results)
113 Hz / 5 V / 15 K
Empty
113 Hz / 5 V / 15 K
80deg
Plusses
17 Hz / 5 V / 15 K
80deg Measurements
- Date
July 2020
Initial 80deg measurements
Nr. |
Struct |
Angle |
Voltage |
Frequency |
Temp |
Preamp |
Rate |
Time |
Dir |
Limit |
dB |
timeconstant |
Error |
|---|---|---|---|---|---|---|---|---|---|---|---|---|---|
452 |
Plusses |
80 |
5 |
17 |
15 |
False |
8 |
1024 |
Down |
0.3 |
0.015 |
0.1 |
nan |
453 |
Plusses |
80 |
5 |
17 |
15 |
False |
8 |
1024 |
Up |
0.3 |
0.015 |
0.1 |
nan |
454 |
Plusses |
80 |
5 |
17 |
15 |
False |
8 |
2048 |
Down |
0.15 |
0.005 |
0.1 |
1 |
455 |
Plusses |
80 |
5 |
17 |
15 |
False |
8 |
2048 |
Up |
0.15 |
0.005 |
0.1 |
nan |
456 |
Plusses |
80 |
5 |
17 |
15 |
False |
8 |
2048 |
STATIC |
0 |
0 |
0.1 |
nan |
Hint
Most useful are m452 and m453.
Note
m456 measured at vacant external field for a very long time. This allows access to very low frequencies.
Error
m454/m455 have experienced some problems during the measurement. The results are not useful.
Check for
difference between τ = 100ms/30ms
Empty Cross background reference @ 80deg * Empty Cross with/without gradiometry?
Voltage difference (2.5 V / 5 V)
Reproducability of 90deg signal analyzer measurements.
80deg missing measurements
- Date
30.06.2020 - 09.07.2020
Nr |
Struct |
Frequency |
Temp |
Rate |
Time |
Dir |
Limit |
dB |
timeconstant |
Error |
|---|---|---|---|---|---|---|---|---|---|---|
458 |
Plusses |
17 |
15 |
8 |
2048 |
Down |
.1 |
.005 |
.1 |
Unregular number of values |
459 |
Plusses |
17 |
15 |
8 |
2048 |
Up |
.1 |
.005 |
.1 |
Unregular number of values |
460 |
Plusses |
17 |
15 |
8 |
2048 |
Down |
.1 |
.005 |
.1 |
No values |
461 |
Plusses |
17 |
15 |
8 |
2048 |
Up |
.1 |
.005 |
.1 |
|
462 |
Plusses |
17 |
15 |
8 |
2048 |
Down |
.1 |
.005 |
.1 |
|
466 |
Plusses |
17 |
15 |
8 |
1024 |
Down |
.1 |
.005 |
.03 |
|
467 |
Plusses |
17 |
15 |
8 |
1024 |
Up |
.1 |
.005 |
.03 |
|
468 |
Plusses |
17 |
15 |
8 |
1024 |
Down |
.1 |
.005 |
.1 |
|
469 |
Plusses |
17 |
15 |
8 |
1024 |
Up |
.1 |
.005 |
.1 |
|
470 |
Plusses |
17 |
15 |
8 |
1024 |
Down |
.1 |
.005 |
.01 |
|
471 |
Plusses |
17 |
15 |
8 |
1024 |
Up |
.1 |
.005 |
.01 |
|
472 |
Plusses |
17 |
15 |
8 |
1800 |
Down |
.1 |
.005 |
.1 |
|
473 |
Plusses |
17 |
15 |
8 |
1800 |
Up |
.1 |
.005 |
.1 |
|
463 |
Empty |
17 |
15 |
8 |
2048 |
Down |
.1 |
.005 |
.1 |
|
464 |
Empty |
17 |
15 |
8 |
2048 |
Up |
.1 |
.005 |
.1 |
|
474 |
Empty |
17 |
15 |
8 |
1024 |
Down |
.1 |
.005 |
.1 |
|
475 |
Empty |
17 |
15 |
8 |
1024 |
Up |
.1 |
.005 |
.1 |
|
476 |
Empty |
17 |
15 |
8 |
1024 |
Down |
.1 |
.005 |
.03 |
|
477 |
Empty |
17 |
15 |
8 |
1024 |
Up |
.1 |
.005 |
.03 |
- Measurement Routines for EVE
[458 Routine] [461 Routine] [463 Routine] [465 Routine] [466 Routine] [470 Routine] Finishes 470 (after cut at 40mT for filling He) and starts 471/472 [475 Routine] Finishes 475 (after power shortage cut at 55mT) and starts 476/477
45deg remeasure missing measurements
- Date
July 2020
The first time at 45deg not all needed information could be gathered. Going back to 45deg to remeasure some missing parameters.
Plusses (Repeat 430/431)
Nr |
Struct |
Voltage |
Frequency |
Temp |
Rate |
Time |
Dir |
Limit |
dB |
timeconstant |
Comment |
||||||||||||
|---|---|---|---|---|---|---|---|---|---|---|---|---|---|---|---|---|---|---|---|---|---|---|---|
482 |
Plusses |
5 |
17 |
15 |
8 |
1024 |
Down |
.1 |
.005 |
.1 |
$` R_{22} = 13.5 kOmega `$ |
||||||||||||
483 |
Plusses |
5 |
17 |
15 |
8 |
1024 |
Up |
.1 |
.005 |
.1 |
$` R_{22} = 13.5 kOmega `$ |
||||||||||||
484 |
Plusses |
2.5 |
17 |
15 |
8 |
1024 |
Down | .1 | .005| .1 | $` R_{22} = 13.5 kOmega `$ |
||||||||||||||||
485 |
Plusses |
2.5 |
17 |
15 |
8 |
1024 |
Up | .1 | .005| .1 | $` R_{22} = 13.5 kOmega `$ |
||||||||||||||||
486 |
Plusses |
5 |
17 | 15 | 8 | 1024 | Down | .2 | .01 | .1 | $` R_{22} = 5 kOmega `$ |
||||||||||||||||||||
487 |
Plusses |
5 |
17 | 15 | 8 | 1024 | Up | .2 | .01 | .1 | $` R_{22} = 5 kOmega `$ |
||||||||||||||||||||
488 |
Plusses |
5 |
17 | 15 | 8 | 1024 | Down | .2 | .01 | .03 | $` R_{22} = 5 kOmega `$ |
||||||||||||||||||||
489 |
Plusses |
5 |
17 | 15 | 8 | 1024 | Up | .2 | .01 | .03 | $` R_{22} = 5 kOmega `$ |
||||||||||||||||||||
Empty Cross (17 Hz)
Nr |
Struct |
Voltage |
Frequency |
Temp |
Rate |
Time |
Dir |
Limit |
dB |
timeconstant |
|---|---|---|---|---|---|---|---|---|---|---|
480 |
Empty |
5 |
17 |
15 |
8 |
2048 |
Down |
.1 |
.005 |
.1 |
481 |
Empty |
5 |
17 |
15 |
8 |
2048 |
Up |
.1 |
.005 |
.1 |
490 |
Empty |
5 |
17 |
15 |
8 |
1024 |
Down |
.2 |
.01 |
.1 |
491 |
Empty |
5 |
17 |
15 |
8 |
1024 |
Up |
.2 |
.01 |
.1 |
492 |
Empty |
5 |
17 |
15 |
8 |
1024 |
Down |
.2 |
.01 |
.03 |
493 |
Empty |
5 |
17 |
15 |
8 |
1024 |
Up |
.2 |
.01 |
.03 |
Attention
After finished measurements (untill m493), we discovered that the gate grounding (4-9) device (Yokogawa 7651 Programmable DC Source) was turned off. Probably no gate grounding since power shortage.
Todo
write about power shortage.
Histogram of empty cross (m491)
Fig. 37 m491: Histogram of empty cross (gradiometry) at different external fields (subtracted mean).
90deg Repeating selected measurements
- Date
Aug. 2020
Note
Changing back to 90deg again to try and repeat some selected signal analyzer measurements (from SR785) with SR830
Changing Angle to 90deg
Important
Temp: 15K
\(V_{in}\) = 2.5 V (6-8)
\(V_H\) = 0.75 μ V (Target: 0 V) (7-14)
\(V_y\) = 9.7 μ V (Target: 0 V) high phase
Repeat selected signal analyzer measurements with SR830
Repeating |
m351-354 |
|---|---|
Focus |
sweeprates |
Sweeping Field (different sweeprates)
from -25 mT to 25 mT with negative saturation (at -.9 T)
Nr |
Struct |
Voltage |
Frequency |
Temp |
Rate |
Sweep rate |
Limit |
timeconstant |
|---|---|---|---|---|---|---|---|---|
494 |
Empty |
5 |
17 |
15 |
8 |
200/150/100/50 |
.025 |
.003 |
495 |
Empty |
5 |
17 |
15 |
8 |
20/15/10/5 |
.025 |
.003 |
496 |
Empty |
5 |
17 |
15 |
8 |
2/1.5/1 |
.025 |
.003 |
Error
m496: Error when measuring Sweeprate SR=0.5 mT/min. (sweep did not start, measurement contains static field voltages).
Changing Angle again to 90deg
Before Changing Angle
Measuring at +1 T external field and adjusting angle.
Note
Field parallel empty Cross (\(V_{in}\) = 2.5 V) before changing
\(I_1\) = (6-8) |
\(V_H\) = (7-14) |
Tip
\(V_H\) = 88.9 μ V (\(V_y\) = 7.55 μ V,
θ = -4.8deg)
\(I_1\) = (5-10): \(V_H\) = (7-14)
Tip
\(V_H\) = 83.9 μ V ( \(V_y\) = 3.1 μ V,
θ = -2.15deg)
After Changing Angle
5-10
Note
setting 5-10 to 0
\(I_1\) = (5-10) |
\(V_H\) = (7-14) |
\(V_H\) = 0.19 μ V
Danger
\(V_y\) = -5.37 μ V |
θ = -88deg |
6-8
Note
checking 6-8 if contacts are fine.
Expected: voltage is still to 0
\(I_1\) = (6-8) |
\(V_H\) = (7-14) |
\(V_H\) = 4.75 μ V
Phase
\(V_y\) = -9.75 μ V |
θ = -64deg |
Hint
Measuring HLoop at 90deg for Plusses (1-13) parallel.
Repeating m351-354
Sweeping Field (different sweeprates)
from -25 mT to 25 mT (negative saturation at -.9 T)
Nr |
Struct |
Voltage |
Frequency |
Temp |
Rate |
Sweep rate [mT/min] |
Limit |
timeconstant |
|---|---|---|---|---|---|---|---|---|
497 |
Plusses |
5 |
17 |
15 |
8 |
20/15/10/5/2.5/1 |
.025 |
.003 |
500 |
Plusses |
5 |
113 |
15 |
8 |
20/15/10/5/2.5/1 |
.025 |
.003 |
501 |
Plusses |
5 |
113 |
15 |
8 |
2/1.5/1/0 |
.025 |
.003 |
502 |
Plusses |
5 |
113 |
15 |
8 |
2/1.5/1/ |
.025 |
.03 |
507 |
Plusses |
5 |
17 |
15 |
8 |
2/1.5/1/0 |
.025 |
.1 |
Note
The sweeping of the field results in temperature instability: the temperature varies around ± 3 mK (at a sweeprate of 100 mT/min).
m500/501 need up to 500min during sweep … resetting buffer after 16000 datapoints (see AGM/EVE#32).
measurements > 501 Sweeprates below 1 mT/min did not work (magnet did not sweep -> static field).
Starting with m500 the capacitor C21 was reset to setting 10 to reproduce the signal analyzer measurements where this setting was used.
Repeating m378-382 (different voltages)
from -100 mT to 100 mT with negative saturation (using 5.9 mT/min to measure for 35 min.)
Nr |
Struct |
Voltage |
Frequency |
Temp |
Rate |
Sweep rate [mT/min] |
Limit |
timeconstant |
|---|---|---|---|---|---|---|---|---|
498 |
Plusses |
5/4.5/../0.5 |
17 |
15 |
8 |
5.9 |
.1 |
.003 |
499 |
Plusses |
5/4.5/../0.5 |
113 |
15 |
8 |
5.9 |
.1 |
.003 |
506 |
Plusses |
5/4.5/../0.5 |
17 |
15 |
8 |
5 |
.1 |
.1 |
508 |
Plusses |
5/4.5/../0.5 |
17 |
15 |
8 |
5 |
.1 |
.1 |
Note
m506 did not always saturate at -900mT (but sensitivity is always 100|mu|V (5V -> .5V))
instead swept -900mT -> -100mT -> +100mT -> -100mT -> +100mt (see Test_measurements/m506.90_Temp_during_meas.dat)
m508 repeats m506 but adjusts the sensitivity from 100|mu|V (5V -> 2.5V) -> 20|mu|V (2V -> 0.5V).
Repeating m362-366
Important
changing different field ranges
with negative saturation (at -.9 T)
Nr |
Struct |
Voltage |
Frequency |
Temp |
Rate |
Sweep rate [mT/min] |
Limit |
timeconstant |
|---|---|---|---|---|---|---|---|---|
503 |
Plusses |
5 |
113 |
15 |
8 |
2 |
.15/.125/.1/.075/.05 |
.03 |
504 |
Plusses |
5 |
113 |
15 |
8 |
2 |
.15/.125/.1/.075/.05 |
.003 |
505 |
Plusses |
5 |
113 |
15 |
8 |
2 |
.15/.125/.1/.075/.05 |
.1 |
Note
m504/505 has been interupted during the measurement and continued using m504.2_routine.dat.