03: Magnetic Flux Noise
- Date
Donnerstag, 13. Juni 2019 22:31
- `MFN_Notes from
March <onenote:#MFN_Notes%20from%20March§ion-id={5FAD0518-E349-4A07-93E8-5D105BD4AEB4}&page-id={57EF4C0F-29B4-684C-99AF-0A72647312F5}&end&base-path=https://goetheuniversitaet.sharepoint.com/sites/Project4/SiteAssets/Project%204%20Notebook/Magnetic%20Flux%20Noise.one>`__ (First test measurements)
- `MFN First Measurement Plan
(+10deg) <onenote:#MFN%20First%20Measurement%20Plan%20(+10deg)§ion-id={5FAD0518-E349-4A07-93E8-5D105BD4AEB4}&page-id={60691B11-C78C-4080-866D-8BA2FE78FA96}&end&base-path=https://goetheuniversitaet.sharepoint.com/sites/Project4/SiteAssets/Project%204%20Notebook/Magnetic%20Flux%20Noise.one>`__
- `MFN Measurements (0deg)
perp <onenote:#MFN%20Measurements%20(0deg)%20perp§ion-id={5FAD0518-E349-4A07-93E8-5D105BD4AEB4}&page-id={41BE641C-5011-43CD-BF42-C68516FAD7CB}&end&base-path=https://goetheuniversitaet.sharepoint.com/sites/Project4/SiteAssets/Project%204%20Notebook/Magnetic%20Flux%20Noise.one>`__
- `measurements at 90deg (static
field) <onenote:#measurements%20at%2090deg%20(static%20field)§ion-id={5FAD0518-E349-4A07-93E8-5D105BD4AEB4}&page-id={319207B4-D488-4405-82E8-C67B1992E815}&end&base-path=https://goetheuniversitaet.sharepoint.com/sites/Project4/SiteAssets/Project%204%20Notebook/Magnetic%20Flux%20Noise.one>`__
- `Analyzing Field Dependence
(static) <onenote:#Analyzing%20Field%20Dependence%20(static)§ion-id={5FAD0518-E349-4A07-93E8-5D105BD4AEB4}&page-id={4C2D7A80-7CBF-4C0D-A7D1-96E621AC6230}&end&base-path=https://goetheuniversitaet.sharepoint.com/sites/Project4/SiteAssets/Project%204%20Notebook/Magnetic%20Flux%20Noise.one>`__
- `Measurements while sweeping
field <onenote:#Measurements%20while%20sweeping%20field§ion-id={5FAD0518-E349-4A07-93E8-5D105BD4AEB4}&page-id={03B9AE70-0C9E-4DF3-8E0A-B28A5EA8879D}&end&base-path=https://goetheuniversitaet.sharepoint.com/sites/Project4/SiteAssets/Project%204%20Notebook/Magnetic%20Flux%20Noise.one>`__
- `Analyzing Field
Sweeps <onenote:#Analyzing%20Field%20Sweeps§ion-id={5FAD0518-E349-4A07-93E8-5D105BD4AEB4}&page-id={6B2A0B47-6A11-48A2-B6E7-BE04798D8013}&end&base-path=https://goetheuniversitaet.sharepoint.com/sites/Project4/SiteAssets/Project%204%20Notebook/Magnetic%20Flux%20Noise.one>`__
- `Measurement Plan
#2 <onenote:#Measurement%20Plan%202§ion-id={5FAD0518-E349-4A07-93E8-5D105BD4AEB4}&page-id={785856AA-BCC3-49D5-A9EA-61B0C750F8CA}&end&base-path=https://goetheuniversitaet.sharepoint.com/sites/Project4/SiteAssets/Project%204%20Notebook/Magnetic%20Flux%20Noise.one>`__
- `Evaluating Field
Sweeps <onenote:#Evaluating%20Field%20Sweeps§ion-id={5FAD0518-E349-4A07-93E8-5D105BD4AEB4}&page-id={DC6093B7-AF27-49C2-AC11-B10C7E451B0A}&end&base-path=https://goetheuniversitaet.sharepoint.com/sites/Project4/SiteAssets/Project%204%20Notebook/Magnetic%20Flux%20Noise.one>`__
- `Evaluating Static
Fields <onenote:#Evaluating%20Static%20Fields§ion-id={5FAD0518-E349-4A07-93E8-5D105BD4AEB4}&page-id={F028959A-9800-41BA-B278-F06A0F3818E5}&end&base-path=https://goetheuniversitaet.sharepoint.com/sites/Project4/SiteAssets/Project%204%20Notebook/Magnetic%20Flux%20Noise.one>`__
m: MFN_
- Date
Samstag, 1. Juni 2019
13:05
Angle of sensor θ |
+90 |
||||||||||||
|---|---|---|---|---|---|---|---|---|---|---|---|---|---|
Temp |
30 K |
||||||||||||
|
|||||||||||||
|
|||||||||||||
Resistance Box |
+——-+— —-+——-+——-+——-+——-+ | |ima | *1 ge66| | MΩ
+=======+=== ====+=======+=======+=======+=======+ | |ima | *1 ge69| | MΩ
+——-+— —-+——-+——-+——-+——-+ |
||||||||||||
+——+– —–+——-+——+——-+——-+ | Sens | 5
|
| ge75| | | | |
+======+== =====+=======+======+=======+=======+ | τ | * 3 | * | AC | Gr | *N | | | m s | Input | | ound* | ormal | | |
|
| | | | erve* |
+——+– —–+——-+——+——-+——-+ |
|||||||||||||
Pre Amplifier (SR560) |
|
||||||||||||
Signal Analyzer (SR785) |
|
||||||||||||
Period of measurement (min) |
min |
||||||||||||
He (l) level consumption |
|||||||||||||
Data files |
|||||||||||||
Plot |
|||||||||||||
MFN_Notes from March
- Date
Tuesday, 4. June 2019
11:43
See Testing Noise Measurements in Angles_Hloop
MFN First Measurement Plan (+10deg)
- Date
Samstag, 1. Juni 2019
13:05
Structure |
SR785 |
Plusses (1 - 13) |
|
||||||||||
|---|---|---|---|---|---|---|---|---|---|---|---|
Empty Cross |
|
1/f noise function in origin
- Date
Mittwoch, 5. Juni 2019
18:32
Angle: +10deg / SA: SR785
Samstag, 1. Juni 2019
13:05
m260: Plusses_MFN_T=30K_0.5T
- Date
Samstag, 1. Juni 2019
13:05
Angle of sensor θ |
+10 |
||||
|---|---|---|---|---|---|
|
|||||
R12 = 132/1000*50 = 6,6 R13 = 45/1000*10 = 0,45 |
|||||
Pre Amplifier (SR560) |
Gain Mode: Low | Output: 50O -> Lock In Input A | Gain: 1e2 Filter Cutoffs: Off | Coupling: AC |
||||
Signal Analyzer (SR785) |
Freq - Span: 100 Hz | Avg: 50 |
||||
Period of measurement (min) |
3,5 min |
||||
He (l) level consumption |
36,22 -> 36, |
||||
Data files (rar) |
<<m260_First_MFN_SR785.dat>> |
||||
Plot |
|||||
m261: Plusses_MFN_T=30K_0.5T
- Date
Samstag, 1. Juni 2019
13:05
Angle of sensor θ |
+10 |
|---|---|
+—- ——–+————————-+ | |im age204| | 0.5 T Persistend Mode | +—- ——–+————————-+ |
|
R12 = 132/1000*50 = 6,6 R13 = 45/1000*10 = 0,45 |
|
Pre Amplifier (SR560) |
Gain Mode: Low | Output: 50O -> Lock In Input A | Gain: 1e2 Filter Cutoffs: Off | Coupling: AC |
Signal Analyzer (SR785) |
Freq - Span: 100 Hz / 50 Hz / 25 Hz | Avg: 50 |
Period of measurement (min) |
23 min |
He (l) level consumption |
36,22 -> 36,22 |
Data files (rar) |
<<m261_Longer_MFN_SR785.dat>> |
Plot |
|
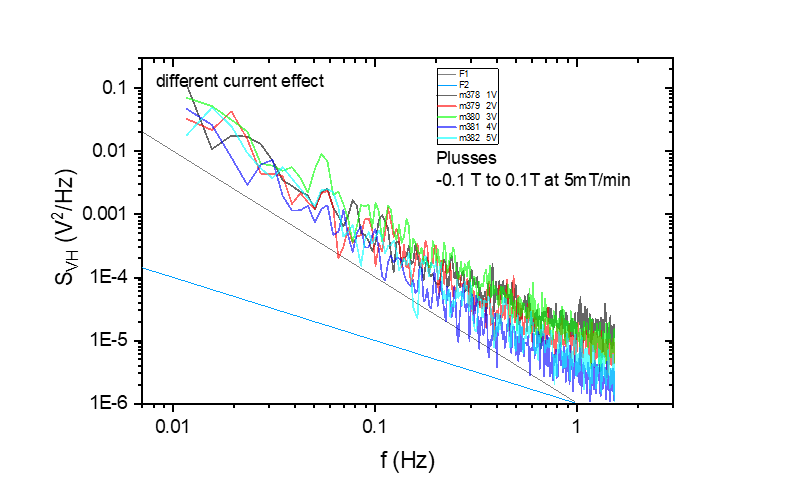
m262: Plusses_MFN_T=30K_0.5T I = 2.5μA
- Date
Samstag, 1. Juni 2019
13:05
Angle of sensor θ |
+10 |
||||||
|---|---|---|---|---|---|---|---|
|
|||||||
R12 = 132/1000*50 = 6,6 R13 = 45/1000*10 = 0,45 |
|||||||
Pre Amplifier (SR560) |
Gain Mode: Low | Output: 50O -> Lock In Input A | Gain: 1e2 Filter Cutoffs: Off | Coupling: AC |
||||||
Signal Analyzer (SR785) |
Freq - Span: 100 Hz | Avg: 50 |
||||||
Period of measurement (min) |
3,5 min |
||||||
He (l) level consumption |
36,22 -> 36,22 |
||||||
Data files (rar) |
<<m262_Plusses_MFN_ SR785_second_empty_cross_5-10.dat>> |
||||||
Plot |
|Machine generated alternative text: \*+2061 76438 \*+226767378 omi 184 F requenz [Hz]| |
||||||
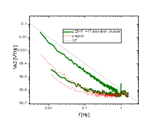
m263: Plusses_MFN_T=30K_0.5T I = 2μA
- Date
Samstag, 1. Juni 2019
13:05
Angle of sensor θ |
+10 |
||||||
|---|---|---|---|---|---|---|---|
|
|||||||
R12 = 132/1000*50 = 6,6 R13 = 45/1000*10 = 0,45 |
|||||||
Pre Amplifier (SR560) |
Gain Mode: Low | Output: 50O -> Lock In Input A | Gain: 1e2 Filter Cutoffs: Off | Coupling: AC |
||||||
Signal Analyzer (SR785) |
Freq - Span: 100 Hz | Avg: 50 |
||||||
Period of measurement (min) |
3,5 min |
||||||
He (l) level consumption |
36,22 -> 36,22 |
||||||
Data files (rar) |
<<m263_Plusses_MFN_SR785_ second_empty_cross_5-10_I-2uA.dat>> |
||||||
Plot |
|||||||
m264: Plusses_MFN_T=30K_0.5T I = 1μA
- Date
Samstag, 1. Juni 2019
13:05
Angle of sensor θ |
+10 |
||||||
|---|---|---|---|---|---|---|---|
|
|||||||
R12 = 132/1000*50 = 6,6 R13 = 45/1000*10 = 0,45 |
|||||||
Pre Amplifier (SR560) |
Gain Mode: Low | Output: 50O -> Lock In Input A | Gain: 1e2 Filter Cutoffs: Off | Coupling: AC |
||||||
Signal Analyzer (SR785) |
Freq - Span: 100 Hz | Avg: 50 |
||||||
Period of measurement (min) |
3,5 min |
||||||
He (l) level consumption |
36,22 -> 36,22 |
||||||
Data files (rar) |
<<m264_Plusses_MFN_SR785_ second_empty_cross_5-10_I-1uA.dat>> |
||||||
Plot |
|||||||
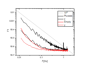
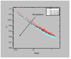
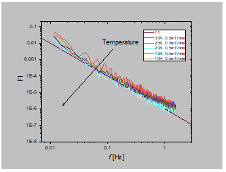
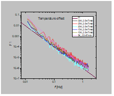
Comparing Scaling with I^2
Samstag, 1. Juni 2019
14:43
m265: MFN_Empty_#2_T=30K_0.5T I = 1μA
- Date
Samstag, 1. Juni 2019
13:05
Angle of sensor θ |
+10 |
|---|---|
+—- ——–+————————-+ | |im age362| | 0.5 T Persistend Mode | +—- ——–+————————-+ |
|
R12 = 132/1000*50 = 6,6 R13 = 45/1000*10 = 0,45 |
|
Pre Amplifier (SR560) |
Gain Mode: Low | Output: 50O -> Lock In Input A | Gain: 1e2 Filter Cutoffs: Off | Coupling: AC |
Signal Analyzer (SR785) |
Freq - Span: 100 Hz | Avg: 50 |
Period of measurement (min) |
3,5 min |
He (l) level consumption |
36,22 -> 36,22 |
Data files (rar) |
<<m265_MFN_SR785_second _empty_cross_alone_5-10_I-1uA.dat>> |
Plot |
|Machine generated alternative text: \*+47183712 e \*+382250868 omi 184 F requenz [Hz]| |
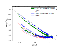
m266: MFN_Empty_Gradio_T=30K_0.5T I = 2.5μA
- Date
Samstag, 1. Juni 2019
15:14
Angle of sensor θ |
+10 |
|---|---|
+—- ——–+————————-+ | |im age406| | 0.5 T Persistend Mode | +—- ——–+————————-+ |
|
R12 = 132/1000*50 = 6,6 R13 = 45/1000*10 = 0,45 |
|
Pre Amplifier (SR560) |
Gain Mode: Low | Output: 50O -> Lock In Input A | Gain: 1e2 Filter Cutoffs: Off | Coupling: AC |
Signal Analyzer (SR785) |
Freq - Span: 100 Hz | Avg: 50 |
Period of measurement (min) |
3,5 min |
He (l) level consumption |
36,22 -> 36,22 |
Data files (rar) |
<<m266_MFN_SR7 85_empty_cross_gradio_I-2.5uA.dat>> |
Plot |
|
m267: MFN_Empty_Gradio_T=30K_0.5T I = 2μA
- Date
Samstag, 1. Juni 2019
15:14
Angle of sensor θ |
+10 |
|---|---|
+—- ——–+————————-+ | |im age444| | 0.5 T Persistend Mode | +—- ——–+————————-+ |
|
R12 = 132/1000*50 = 6,6 R13 = 45/1000*10 = 0,45 |
|
Pre Amplifier (SR560) |
Gain Mode: Low | Output: 50O -> Lock In Input A | Gain: 1e2 Filter Cutoffs: Off | Coupling: AC |
Signal Analyzer (SR785) |
Freq - Span: 100 Hz | Avg: 50 |
Period of measurement (min) |
3,5 min |
He (l) level consumption |
36,22 -> 36,22 |
Data files (rar) |
<<m267_MFN_S R785_empty_cross_gradio_I-2uA.dat>> |
Plot |
|
m268: MFN_Empty_Gradio_T=30K_0.5T I = 1μA
- Date
Samstag, 1. Juni 2019
15:14
Angle of sensor θ |
+10 |
|---|---|
+—- ——–+————————-+ | |im age482| | 0.5 T Persistend Mode | +—- ——–+————————-+ |
|
R12 = 132/1000*50 = 6,6 R13 = 45/1000*10 = 0,45 |
|
Pre Amplifier (SR560) |
Gain Mode: Low | Output: 50O -> Lock In Input A | Gain: 1e2 Filter Cutoffs: Off | Coupling: AC |
Signal Analyzer (SR785) |
Freq - Span: 100 Hz | Avg: 50 |
Period of measurement (min) |
3,5 min |
He (l) level consumption |
36,22 -> 36,22 |
Data files (rar) |
<<m268_MFN_S R785_empty_cross_gradio_I-1uA.dat>> |
Plot |
|Machine generated alternative text: \*+53264084B #+23N4263e omi F requenz [Hz]| |
m269: MFN_Empty_Gradio_T=30K_0.5T I = 0.5μA
- Date
Samstag, 1. Juni 2019
15:14
Angle of sensor θ |
+10 |
||
|---|---|---|---|
|
|||
R12 = 132/1000*50 = 6,6 R13 = 45/1000*10 = 0,45 |
|||
Pre Amplifier (SR560) |
Gain Mode: Low | Output: 50O -> Lock In Input A | Gain: 1e2 Filter Cutoffs: Off | Coupling: AC |
||
Signal Analyzer (SR785) |
Freq - Span: 100 Hz | Avg: 50 |
||
Period of measurement (min) |
3,5 min |
||
He (l) level consumption |
36,22 -> 36,22 |
||
Data files (rar) |
<<m269_MFN_SR785_ empty_cross_gradio_I-0.5uA.dat>> |
||
Plot |
|||
Compare (m266 - m269)
- Date
Montag, 3. Juni 2019
16:11
m270: MFN_Empty_Gradio tc=1ms avg=200
- Date
Samstag, 1. Juni 2019
15:14
Angle of sensor θ |
+10 |
|---|---|
+—- ——–+————————-+ | |im age566| | 0.5 T Persistend Mode | +—- ——–+————————-+ |
|
R12 = 132/1000*50 = 6,6 R13 = 45/1000*10 = 0,45 |
|
Pre Amplifier (SR560) |
Gain Mode: Low | Output: 50O -> Lock In Input A | Gain: 1e2 Filter Cutoffs: Off | Coupling: AC |
Signal Analyzer (SR785) |
Freq - Span: 50 Hz | Avg: 200 |
Period of measurement (min) |
26.8 min |
He (l) level consumption |
36,22 -> 36,22 |
Data files (rar) |
<<m270_MFN_SR785_e mpty_cross_gradio_50Hz_200Avg.dat>> |
Plot |
|
m271: MFN_Empty_Gradio avg=1000 over night (15h)
- Date
Samstag, 1. Juni 2019
17:00
Angle of sensor θ |
+10 |
||
|---|---|---|---|
|
|||
R12 = 132/1000*50 = 6,6 R13 = 45/1000*10 = 0,45 |
|||
Pre Amplifier (SR560) |
Gain Mode: Low | Output: 50O -> Lock In Input A | Gain: 1e2 Filter Cutoffs: Off | Coupling: AC |
||
Signal Analyzer (SR785) |
Freq - Span: 200 / 100 / 25 / 12.5 Hz | Avg: 1000 |
||
Period of measurement (min) |
900 min / measuring the Lock In (SR830) with EVE at the same time with readout timer of 0.25 s till monday |
||
He (l) level consumption |
36,22 -> 31,6 |
||
Data files <<m271_MFN_SR830_empty_cros s_gradio_night_measurement.dat>> |
<<m271_MFN_SR785_ empty_cross_gradio_1000Avg.dat>> |
||
Plot |
|||
Evaluate m271 (SR830, Vx)
- Date
Montag, 3. Juni 2019
12:31
Averaged over 64 Spectra
128 Spectra
Averaged over 256 Spectra
Evaluate m271 (SR830, Vy)
- Date
Montag, 3. Juni 2019
16:32
Evaluate m271 (SR785)
- Date
Montag, 3. Juni 2019
16:26
m272: MFN_Empty_Gradio_Background I=0V
- Date
Montag, 3. Juni 2019
11:21
Angle of sensor θ |
+10 |
||||||||
|---|---|---|---|---|---|---|---|---|---|
+—- ——–+————————-+ | |im age655| | 0.5 T Persistend Mode | +—- ——–+————————-+ |
|||||||||
R12 = 132/1000*50 = 6,6 R13 = 45/1000*10 = 0,45 |
|||||||||
Pre Amplifier (SR560) |
Gain Mode: Low | Output: 50O -> Lock In Input A | Gain: 1e2 Filter Cutoffs: Off | Coupling: AC |
||||||||
Signal Analyzer (SR785) |
|
||||||||
Period of measurement (min) |
7 min |
||||||||
He (l) level consumption |
|||||||||
Data files |
<<m272_MFN_SR785_background.dat>> |
||||||||
Plot |
|Machine generated alternative text: \*+31 40g274e #+34g1 omi F requenz [Hz]| |
||||||||
C: Changing angle (0) new Maximum 11,722 mv
- Date
Dienstag, 2. April 2019
19:01
Float/Ground: |
Ground |
|---|---|
AC/DC: |
AC |
A/A-B: |
A-B |
Reserve: |
Normal |
Source: |
Internal |
VH(max) (mV) |
11,164mV |
||
|---|---|---|---|
Angle of sensor calculator |
V_H= Cos(0)*11,164 = 11,164 Before changing: 10,962 mV Measured: 11,722 mV |
||
|
|||
- Some Test Measurements (Scaling \w 1.75 / 2.5 V): `m:
MFN_noise01/02 <onenote:#m%20MFN_noise0102§ion-id={5FAD0518-E349-4A07-93E8-5D105BD4AEB4}&page-id={DD53CA68-3168-417B-8D5B-5DA5A37CC675}&end&base-path=https://goetheuniversitaet.sharepoint.com/sites/Project4/SiteAssets/Project%204%20Notebook/Magnetic%20Flux%20Noise.one>`__
- Background at 0 V: `m: MFN_noise03
Background <onenote:#m%20MFN_noise03%20Background§ion-id={5FAD0518-E349-4A07-93E8-5D105BD4AEB4}&page-id={4A3CC5DC-27D5-470C-8277-8655C9CD237F}&end&base-path=https://goetheuniversitaet.sharepoint.com/sites/Project4/SiteAssets/Project%204%20Notebook/Magnetic%20Flux%20Noise.one>`__
- Long Measurement: `m: MFN_noise04 long over
night <onenote:#m%20MFN_noise04%20long%20over%20night§ion-id={5FAD0518-E349-4A07-93E8-5D105BD4AEB4}&page-id={40A345C2-FD42-467C-B7E4-680C7DE0B686}&end&base-path=https://goetheuniversitaet.sharepoint.com/sites/Project4/SiteAssets/Project%204%20Notebook/Magnetic%20Flux%20Noise.one>`__
- Go To 4 V: `m:MFN_noise05 morning by
Jens <onenote:#mMFN_noise05%20morning%20by%20Jens§ion-id={5FAD0518-E349-4A07-93E8-5D105BD4AEB4}&page-id={8003740D-E636-44D7-8CDC-BD1B494552CD}&end&base-path=https://goetheuniversitaet.sharepoint.com/sites/Project4/SiteAssets/Project%204%20Notebook/Magnetic%20Flux%20Noise.one>`__
2 T |
|
|---|---|
4 T |
|
.25 T |
|
.025 T |
|
0 T |
MFN Measurements (0deg) perp
- Date
Donnerstag, 13. Juni 2019
22:35
m: MFN _tests before solid measurments
Nr. |
S tructure |
Magnetic Field (PM) |
V_in |
F req-Span [Hz] |
Averages |
|---|---|---|---|---|---|
C |
1 T |
2.5 / 1.75 |
25 / 6 |
25 |
|
0 |
6 |
15 |
|||
2.5 |
25 / 6 / 3 / 1 |
100 |
|||
4 |
50/ 12.5/ 3.125 |
50 |
|||
2 T |
|||||
4 T |
|||||
250 mT |
30 |
||||
25 mT |
100 / 50 / 25 / 12.5 / 6.25 / 3.125 / 1.5625 |
||||
0 T |
m273: CrossesEmpty_Parallel Hloop_(0)deg_MFN edition (Hysteresis Loop Crosses and Empty #1)
m: MFN _tests before solid measurments
- Date
Dienstag, 4. Juni 2019
15:51
Angle of sensor θ |
+10 |
||||||||||||
|---|---|---|---|---|---|---|---|---|---|---|---|---|---|
|
|||||||||||||
|
|||||||||||||
+——-+—– –+——-+——-+——-+——-+ | Sens | 20 m V | |imag | 2.5 V | T | 30 K | | |
+=======+===== ==+=======+=======+=======+=======+ | |imag | *1 e757| | MΩ*
| e758| | kΩ | e759| | |
+——-+—– –+——-+——-+——-+——-+ | |imag | *1 e760| | MΩ*
| e761| | | e762| | |
+——-+—– –+——-+——-+——-+——-+ | τ | *1 | ms*
| Input | | ound* | ormal |
|
| A* | | | Res |
|
| | | | erve* |
+——-+—– –+——-+——-+——-+——-+ | f | *113
| Hz*
| | | | |
+——-+—– –+——-+——-+——-+——-+ |
|||||||||||||
Pre Amplifier (SR560) |
|
||||||||||||
Signal Analyzer (SR785) |
|
||||||||||||
Period of measurement (min) |
min |
||||||||||||
He (l) level consumption |
|||||||||||||
Data files |
|||||||||||||
Plot |
m: MFN_noise01/02
- Date
Dienstag, 4. Juni 2019
16:34
Angle of sensor θ |
+0 |
||||||||||||
|---|---|---|---|---|---|---|---|---|---|---|---|---|---|
|
|||||||||||||
|
|||||||||||||
+——-+—– –+——-+——-+——-+——-+ | Sens | 2 mV
|
| e844| | / | | |
|
| | 1.75 | | |
+=======+===== ==+=======+=======+=======+=======+ | |imag | *1 e845| | MΩ*
| e846| | kΩ | e847| | |
+——-+—– –+——-+——-+——-+——-+ | |imag | *1 e848| | MΩ*
| e849| | | e850| | |
+——-+—– –+——-+——-+——-+——-+ | τ | *1 | ms*
| Input | | ound* | ormal |
|
| A* | | | Res |
|
| | | | erve* |
+——-+—– –+——-+——-+——-+——-+ |
|||||||||||||
Pre Amplifier (SR560) |
|
||||||||||||
Signal Analyzer (SR785) |
|
||||||||||||
Period of measurement (min) |
min |
||||||||||||
He (l) level consumption |
|||||||||||||
Data files |
Noise01: V = 2.5 V Noise02: V = 1.75 V |
||||||||||||
Plot |
<<noise02.dat>>
<<noise01.dat>>
m: MFN_noise03 Background
- Date
Dienstag, 4. Juni 2019
16:34
Angle of sensor θ |
+0 |
||||||||||||
|---|---|---|---|---|---|---|---|---|---|---|---|---|---|
|
|||||||||||||
|
|||||||||||||
+——-+—– –+——-+——-+——-+——-+ | Sens | 2 mV
|
| e931| | | | |
+=======+===== ==+=======+=======+=======+=======+ | |imag | *1 e932| | MΩ*
| e933| | kΩ | e934| | |
+——-+—– –+——-+——-+——-+——-+ | |imag | *1 e935| | MΩ*
| e936| | | e937| | |
+——-+—– –+——-+——-+——-+——-+ | τ | *1 | ms*
| Input | | ound* | ormal |
|
| A* | | | Res |
|
| | | | erve* |
+——-+—– –+——-+——-+——-+——-+ |
|||||||||||||
Pre Amplifier (SR560) |
|
||||||||||||
Signal Analyzer (SR785) |
|
||||||||||||
Period of measurement (min) |
min |
||||||||||||
He (l) level consumption |
|||||||||||||
Data files |
<<noise03_bg.dat>> |
||||||||||||
Plot |
m: MFN_noise04 long over night
- Date
Dienstag, 4. Juni 2019
18:25
Angle of sensor θ |
+0 |
||||||||||||
|---|---|---|---|---|---|---|---|---|---|---|---|---|---|
|
|||||||||||||
|
|||||||||||||
+——-+—– –+——-+——-+——-+——-+ | Sens | 5 mV
|
| image | | | |
|
| 1018| | | | |
+=======+===== ==+=======+=======+=======+=======+ | | | *1
image | MΩ*
| image | kΩ | image | |
1019| |
| 1020| | | 1021| | |
+——-+—– –+——-+——-+——-+——-+ | | | *1
image | MΩ*
| image | | image | |
1022| |
| 1023| | | 1024| | |
+——-+—– –+——-+——-+——-+——-+ | τ | *1 | ms*
| Input | | ound* | ormal |
|
| A* | | | Res |
|
| | | | erve* |
+——-+—– –+——-+——-+——-+——-+ |
|||||||||||||
Pre Amplifier (SR560) |
|
||||||||||||
Signal Analyzer (SR785) |
|
||||||||||||
Lock in SR830 |
|
||||||||||||
Period of measurement (min) |
770 min |
||||||||||||
He (l) level consumption |
|||||||||||||
Data files |
<<noise04_SR830.dat>> <<noise04.dat>> |
||||||||||||
Note: |
Jens started new measurment 5_ without noticing that the SR830 is still measureing I stoped it at 9:20 am |
m:MFN_noise05 morning by Jens
- Date
Mittwoch, 5. Juni 2019
09:18
Angle of sensor θ |
+0 |
||||||||||||
|---|---|---|---|---|---|---|---|---|---|---|---|---|---|
|
|||||||||||||
|
|||||||||||||
+——-+—– –+——-+——-+——-+——-+ | Sens | 5 mV
|
| image | | | |
|
| 1106| | | | |
+=======+===== ==+=======+=======+=======+=======+ | | | *1
image | MΩ*
| image | kΩ | image | |
1107| |
| 1108| | | 1109| | |
+——-+—– –+——-+——-+——-+——-+ | | | *1
image | MΩ*
| image | | image | |
1110| |
| 1111| | | 1112| | |
+——-+—– –+——-+——-+——-+——-+ | τ | *3 | ms*
| Input | | ound* | ormal |
|
| A* | | | Res |
|
| | | | erve* |
+——-+—– –+——-+——-+——-+——-+ |
|||||||||||||
Pre Amplifier (SR560) |
|
||||||||||||
Signal Analyzer (SR785) |
|
||||||||||||
Period of measurement (min) |
About 2 hours |
||||||||||||
He (l) level consumption |
|||||||||||||
Data files |
<<noise05.dat>> |
||||||||||||
Plot |
m: MFN_noise06 morning 2T by Jens and Mohanad
- Date
Mittwoch, 5. Juni 2019
11:36
Angle of sensor θ |
+0 |
||||||||||||
|---|---|---|---|---|---|---|---|---|---|---|---|---|---|
|
|||||||||||||
|
|||||||||||||
+——-+—– –+——-+——-+——-+——-+ | Sens | 5 mV
|
| image | | | |
|
| 1200| | | | |
+=======+===== ==+=======+=======+=======+=======+ | | | *1
image | MΩ*
| image | kΩ | image | |
1201| |
| 1202| | | 1203| | |
+——-+—– –+——-+——-+——-+——-+ | | | *1
image | MΩ*
| image | | image | |
1204| |
| 1205| | | 1206| | |
+——-+—– –+——-+——-+——-+——-+ | τ | *3 | ms*
| Input | | ound* | ormal |
|
| A* | | | Res |
|
| | | | erve* |
+——-+—– –+——-+——-+——-+——-+ |
|||||||||||||
Pre Amplifier (SR560) |
|
||||||||||||
Signal Analyzer (SR785) |
|
||||||||||||
Period of measurement (min) |
About 2 hours |
||||||||||||
He (l) level consumption |
|||||||||||||
Data files |
<<noise06.dat>> |
||||||||||||
Plot |
m: MFN_noise07 _4T by Jens and Mohanad
- Date
Mittwoch, 5. Juni 2019
15:30
Angle of sensor θ |
+0 |
||||||||||||
|---|---|---|---|---|---|---|---|---|---|---|---|---|---|
|
|||||||||||||
|
|||||||||||||
+——-+—– –+——-+——-+——-+——-+ | Sens | 20 m V | | | 4 V | T | 30 K | | | ?
|
| 1294| | | | |
+=======+===== ==+=======+=======+=======+=======+ | | | *1
image | MΩ*
| image | kΩ | image | |
1295| |
| 1296| | | 1297| | |
+——-+—– –+——-+——-+——-+——-+ | | | *1
image | MΩ*
| image | | image | |
1298| |
| 1299| | | 1300| | |
+——-+—– –+——-+——-+——-+——-+ | τ | *3 | ms*
| Input | | ound* | ormal |
|
| A* | | | Res |
|
| | | | erve* |
+——-+—– –+——-+——-+——-+——-+ |
|||||||||||||
Pre Amplifier (SR560) |
|
||||||||||||
Signal Analyzer (SR785) |
|
||||||||||||
Period of measurement (min) |
About 2 hours |
||||||||||||
He (l) level consumption |
|||||||||||||
Data files |
<<noise07.dat>> |
||||||||||||
Plot |
m: MFN_noise08 _0.25T
- Date
Mittwoch, 5. Juni 2019
16:34
Angle of sensor θ |
+0 |
||||||||||||
|---|---|---|---|---|---|---|---|---|---|---|---|---|---|
|
|||||||||||||
|
|||||||||||||
+——-+—– –+——-+——-+——-+——-+ | Sens | 500
| µV
| image | | | |
|
| 1388| | | | |
+=======+===== ==+=======+=======+=======+=======+ | | | *1
image | MΩ*
| image | | image | |
1389| |
| 1390| | | 1391| | |
+——-+—– –+——-+——-+——-+——-+ | | | *1
image | MΩ*
| image | | image | |
1392| |
| 1393| | | 1394| | |
+——-+—– –+——-+——-+——-+——-+ | τ | *3 | ms*
| Input | | ound* | ormal |
|
| A* | | | Res |
|
| | | | erve* |
+——-+—– –+——-+——-+——-+——-+ | f | *113
| Hz*
| | | | |
+——-+—– –+——-+——-+——-+——-+ |
|||||||||||||
Pre Amplifier (SR560) |
|
||||||||||||
Signal Analyzer (SR785) |
|
||||||||||||
Period of measurement (min) |
84 |
||||||||||||
He (l) level consumption |
|||||||||||||
Data files |
<<noise08_.dat>> |
||||||||||||
Plot |
|Machine generated alternative text: \*0101 184 F requenz [Hz]| |
Filling He(l)
- Date
Mittwoch, 5. Juni 2019
18:16
Filling date |
05.06.2019 |
|---|---|
Before (in) |
23.23 |
After (in) |
36.22 |
consumption |
Around 60 L |
Person |
MAM |
Notes:
‘To do:
m: MFN_noise09 _0.025T_over night
- Date
Mittwoch, 5. Juni 2019
19:05
Angle of sensor θ |
+0 |
||||||||||||
|---|---|---|---|---|---|---|---|---|---|---|---|---|---|
|
|||||||||||||
|
|||||||||||||
+——-+—- —+——-+——+——-+——-+ | Sens | 500
| µV
| image | | | |
|
| 1486| | | | |
+=======+==== ===+=======+======+=======+=======+ | | | *1
image | MΩ*
| image | | image | |
1487| |
| 1488| | | 1489| | |
+——-+—- —+——-+——+——-+——-+ | | | *1
image | MΩ*
| image | | image | |
1490| |
| 1491| | | 1492| | |
+——-+—- —+——-+——+——-+——-+ | τ | *3 | ms*
| Input | | ound* | ormal |
|
| A* | | | Res |
|
| | | | erve* |
+——-+—- —+——-+——+——-+——-+ | f | 11 3 | | | | | | | Hz
+——-+—- —+——-+——+——-+——-+ |
|||||||||||||
Pre Amplifier (SR560) |
|
||||||||||||
Signal Analyzer (SR785) |
|
||||||||||||
Period of measurement (min) |
254 min over the night |
||||||||||||
He (l) level consumption |
|||||||||||||
Data files |
<<noise09_.dat>> |
||||||||||||
Plot |
m: MFN_noise10 _0T
- Date
Mittwoch, 5. Juni 2019
16:34
Angle of sensor θ |
+0 |
||||||||||||
|---|---|---|---|---|---|---|---|---|---|---|---|---|---|
|
|||||||||||||
|
|||||||||||||
+——-+—– –+——-+——-+——-+——-+ | Sens | 500
| µV
| image | | | |
|
| 1574| | | | |
+=======+===== ==+=======+=======+=======+=======+ | | | *1
image | MΩ*
| image | | image | |
1575| |
| 1576| | | 1577| | |
+——-+—– –+——-+——-+——-+——-+ | | | *1
image | MΩ*
| image | | image | |
1578| |
| 1579| | | 1580| | |
+——-+—– –+——-+——-+——-+——-+ | τ | *3 | ms*
| Input | | ound* | ormal |
|
| A* | | | Res |
|
| | | | erve* |
+——-+—– –+——-+——-+——-+——-+ | f | *113
| Hz*
| | | | |
+——-+—– –+——-+——-+——-+——-+ |
|||||||||||||
Pre Amplifier (SR560) |
|
||||||||||||
Signal Analyzer (SR785) |
|
||||||||||||
Period of measurement (min) |
84 |
||||||||||||
He (l) level consumption |
|||||||||||||
Data files |
<<noise10.dat>> |
||||||||||||
Plot |
m273: CrossesEmpty_Parallel Hloop_(0)deg_MFN edition
Donnerstag, 6. Juni 2019
10:09
Float/Ground: |
Ground |
|---|---|
AC/DC: |
AC |
A/A-B: |
A-B |
Reserve: |
Normal |
Source: |
Internal |
Angle of sensor θ |
0 |
||||
|---|---|---|---|---|---|
|
|||||
R12 = 40/1000*50 = |
|||||
Period of measurement (min) |
|||||
Notes |
Here, we have measure Hall signal only for the Crosses and the empty cross since there is no free Lock-in for the plusses |
||||
Data files |
<<m273_cros__e mp_0deg_Hloop_down_Parallel_2019060 6_1000_I-7-14_GB8-1-13_GB9-2-12_GB1 3-6-8_Vin-2.5V_R11-1MO_C11-1_C21-6_ T-30K_SR-0.5-T-min_B-1T_gate-0V_MFN edition.dat>> <<m273_cros_ _emp_0deg_Hloop_up_Parallel_2019060 6_1000_I-7-14_GB8-1-13_GB9-2-12_GB1 3-6-8_Vin-2.5V_R11-1MO_C11-1_C21-6_ T-30K_SR-0.5-T-min_B-1T_gate-0V_MFN edition.dat>> |
||||
Plot |
C: Changing angle (90) no Hall effect_MFN edition
- Date
Donnerstag, 6. Juni 2019
10:42
Float/Ground: |
Ground |
|---|---|
AC/DC: |
AC |
A/A-B: |
A-B |
Reserve: |
Normal |
Source: |
Internal |
VH(max) (mV) |
11,164mV |
||
|---|---|---|---|
Angle of sensor calculator |
V_H= Cos(90)*11,164 = Before changing: 11.693 mV Measured: 0.001 mV Cos(0)=1 Cos(90)=0 |
||
|
|||
measurements at 90deg (static field)
- Date
Donnerstag, 6. Juni 2019
10:42
Nr |
Structure |
Field (PM) [T] |
freq-span [Hz] |
avg |
Gain |
|---|---|---|---|---|---|
C |
1 |
50/ 12.5/ 3.125 |
30 |
20 |
|
#m275%20MF N_noise%20 test_N12%2 0_1T_90deg _empty&sec tion-id={5 FAD0518-E3 49-4A07-93 E8-5D105BD 4AEB4}&pag e-id={B2B5 911E-F781- 48FF-B500- 33A148753C 93}&end&ba se-path=ht tps://goet heuniversi taet.share point.com/ sites/Proj ect4/SiteA ssets/Proj ect%204%20 Notebook/M agnetic%20 Flux%20Noi se.one>`__ |
#1 |
1 |
|||
#2 |
|||||
` m277 <onen ote:#m277% 20MFN_nois e%20test_N 14%20_4T_c rosses&sec tion-id={5 FAD0518-E3 49-4A07-93 E8-5D105BD 4AEB4}&pag e-id={5F26 15E8-6003- 41AB-BE6F- 77D517DA7F AD}&end&ba se-path=ht tps://goet heuniversi taet.share point.com/ sites/Proj ect4/SiteA ssets/Proj ect%204%20 Notebook/M agnetic%20 Flux%20Noi se.one>`__ |
C |
4 |
|||
#m278%20MF N_4T_1&sec tion-id={5 FAD0518-E3 49-4A07-93 E8-5D105BD 4AEB4}&pag e-id={8D01 5CA0-2CBE- 45A6-9800- 0BD24EF500 6A}&end&ba se-path=ht tps://goet heuniversi taet.share point.com/ sites/Proj ect4/SiteA ssets/Proj ect%204%20 Notebook/M agnetic%20 Flux%20Noi se.one>`__ |
#1 |
||||
C |
(Long) |
||||
C |
0 |
||||
P |
|||||
P |
-9.4 mT (down) |
||||
C |
|||||
` m286 <onen ote:#m286% 20MFN_-2.8 24mT_Down% 20sweep_Pl usses_&sec tion-id={5 FAD0518-E3 49-4A07-93 E8-5D105BD 4AEB4}&pag e-id={D7DC 7B99-8B46- 44A3-8219- 50ED11D97F D6}&end&ba se-path=ht tps://goet heuniversi taet.share point.com/ sites/Proj ect4/SiteA ssets/Proj ect%204%20 Notebook/M agnetic%20 Flux%20Noi se.one>`__ |
P |
-2.824 mT (down) |
|||
` m287 <onen ote:#m287% 20MFN_-0.0 063T_Down% 20sweep_Pl usses_&sec tion-id={5 FAD0518-E3 49-4A07-93 E8-5D105BD 4AEB4}&pag e-id={6758 F13C-D8E0- 4D9B-881E- 0AB49234F6 8A}&end&ba se-path=ht tps://goet heuniversi taet.share point.com/ sites/Proj ect4/SiteA ssets/Proj ect%204%20 Notebook/M agnetic%20 Flux%20Noi se.one>`__ |
P |
-0.0063 T |
|||
` m288 <onen ote:#m288% 20MFN_0.01 247T_Down% 20sweep_Pl usses_&sec tion-id={5 FAD0518-E3 49-4A07-93 E8-5D105BD 4AEB4}&pag e-id={C7DF 7A34-AC67- 4241-964D- 052D90D208 AC}&end&ba se-path=ht tps://goet heuniversi taet.share point.com/ sites/Proj ect4/SiteA ssets/Proj ect%204%20 Notebook/M agnetic%20 Flux%20Noi se.one>`__ |
P |
0.01247 |
|||
P |
0.015 |
||||
P |
0.03 |
||||
P |
-0.57246 |
0.8 (Long) |
|||
` m292 <onen ote:#m292% 20MFN_-0.1 0422T_down %20sweep_P lusses&sec tion-id={5 FAD0518-E3 49-4A07-93 E8-5D105BD 4AEB4}&pag e-id={A317 6DC8-A0B0- 49A5-A60B- 9BA3198EF9 C2}&end&ba se-path=ht tps://goet heuniversi taet.share point.com/ sites/Proj ect4/SiteA ssets/Proj ect%204%20 Notebook/M agnetic%20 Flux%20Noi se.one>`__ |
P |
-0.10422 |
|||
P |
-4 |
||||
C |
-4 |
||||
#1 |
-4 |
||||
#m296%20MF N_-4T_empt y%20cross% 205-10&sec tion-id={5 FAD0518-E3 49-4A07-93 E8-5D105BD 4AEB4}&pag e-id={2837 BCBD-DE9C- 46EF-8BFB- F85BD93B23 7D}&end&ba se-path=ht tps://goet heuniversi taet.share point.com/ sites/Proj ect4/SiteA ssets/Proj ect%204%20 Notebook/M agnetic%20 Flux%20Noi se.one>`__ |
#2 |
-4 |
|||
` m297 <onen ote:#m297% 20MFN_-2.8 24mT_down% 20sweep_Cr osses_&sec tion-id={5 FAD0518-E3 49-4A07-93 E8-5D105BD 4AEB4}&pag e-id={6DF9 1419-B1B1- 42CC-904F- 4922D5CBAA 5B}&end&ba se-path=ht tps://goet heuniversi taet.share point.com/ sites/Proj ect4/SiteA ssets/Proj ect%204%20 Notebook/M agnetic%20 Flux%20Noi se.one>`__ |
C |
-2.824 mT |
|||
` m298 <onen ote:#m298% 20MFN_-0.0 063T_down% 20sweep_Cr osses_&sec tion-id={5 FAD0518-E3 49-4A07-93 E8-5D105BD 4AEB4}&pag e-id={FF3A 4E9C-05F0- 4FC2-8E3A- 59D82E63B3 FB}&end&ba se-path=ht tps://goet heuniversi taet.share point.com/ sites/Proj ect4/SiteA ssets/Proj ect%204%20 Notebook/M agnetic%20 Flux%20Noi se.one>`__ |
C |
-0.0063 T |
|||
#m299%20MF N_-0.57250 0T_down%20 sweep_Cros ses_over%2 0ight%20wi de%20rangi ng%20%20f- spans_&sec tion-id={5 FAD0518-E3 49-4A07-93 E8-5D105BD 4AEB4}&pag e-id={4996 45A2-763B- 4E33-BF29- 5623380996 0F}&end&ba se-path=ht tps://goet heuniversi taet.share point.com/ sites/Proj ect4/SiteA ssets/Proj ect%204%20 Notebook/M agnetic%20 Flux%20Noi se.one>`__ |
C |
-0.5725 |
(Long) |
||
` m300 <onen ote:#m300% 20MFN_0.01 247T_down% 20sweep_Cr osses_&sec tion-id={5 FAD0518-E3 49-4A07-93 E8-5D105BD 4AEB4}&pag e-id={2AE0 DF03-B480- 4397-9918- 00D12F5569 E7}&end&ba se-path=ht tps://goet heuniversi taet.share point.com/ sites/Proj ect4/SiteA ssets/Proj ect%204%20 Notebook/M agnetic%20 Flux%20Noi se.one>`__ |
C |
0.01247 |
|||
C |
0.015 |
||||
Analyzing Field Dependence (static)
- Date
Donnerstag, 13. Juni 2019
23:48
90deg HLoop
Friday, 7. June 2019
13:51
m274: MFN_noise test_N11 _1T_90deg_crosses
- Date
Donnerstag, 6. Juni 2019
10:42
Angle of sensor θ |
90 Parallel to the sensor (no Hall effect) |
||||||||||||
|---|---|---|---|---|---|---|---|---|---|---|---|---|---|
|
|||||||||||||
|
|||||||||||||
+——-+—- —+——-+——+——-+——-+ | Sens | 5mV
|
| image | | | |
|
| 1707| | | | |
+=======+==== ===+=======+======+=======+=======+ | | | non e | | | none | | | none | | image |
1708| |
| 1709| | | 1710| | |
+——-+—- —+——-+——+——-+——-+ | | | non e | | | 5 | | | 10 | | image |
1711| |
| 1712| | | 1713| | |
+——-+—- —+——-+——+——-+——-+ | τ | *3 | ms*
| Input | | ound* | ormal |
|
| A* | | | Res |
|
| | | | erve* |
+——-+—- —+——-+——+——-+——-+ | f | 11 3 | | | | | | | Hz
+——-+—- —+——-+——+——-+——-+ |
|||||||||||||
Pre Amplifier (SR560) |
|
||||||||||||
Signal Analyzer (SR785) |
|
||||||||||||
Period of measurement (min) |
84 |
||||||||||||
He (l) level consumption |
|||||||||||||
Data files |
<<noise_Test_N11.dat>> |
||||||||||||
Plot |
m275: MFN_noise test_N12 _1T_90deg_empty
- Date
Donnerstag, 6. Juni 2019
12:30
Angle of sensor θ |
90 Parallel to the sensor (no Hall effect) |
||||||||||||
|---|---|---|---|---|---|---|---|---|---|---|---|---|---|
|
|||||||||||||
|
|||||||||||||
+——-+—- —+——-+——+——-+——-+ | Sens | 5mV
|
| image | | | |
|
| 1790| | | | |
+=======+==== ===+=======+======+=======+=======+ | | | non e | | | none | | | none | | image |
1791| |
| 1792| | | 1793| | |
+——-+—- —+——-+——+——-+——-+ | | | non e | | | 5 | | | 10 | | image |
1794| |
| 1795| | | 1796| | |
+——-+—- —+——-+——+——-+——-+ | τ | *3 | ms*
| Input | | ound* | ormal |
|
| A* | | | Res |
|
| | | | erve* |
+——-+—- —+——-+——+——-+——-+ | f | 11 3 | | | | | | | Hz
+——-+—- —+——-+——+——-+——-+ |
|||||||||||||
Pre Amplifier (SR560) |
|
||||||||||||
Signal Analyzer (SR785) |
|
||||||||||||
Period of measurement (min) |
84 |
||||||||||||
He (l) level consumption |
|||||||||||||
Data files |
<<noise_Test_N12.dat>> |
||||||||||||
Plot |
m276: MFN_noise test_N13_second_empty
- Date
Donnerstag, 6. Juni 2019
14:14
Angle of sensor θ |
+90 |
||||||||||||
|---|---|---|---|---|---|---|---|---|---|---|---|---|---|
|
|||||||||||||
|
|||||||||||||
+——-+—- —+——-+——+——-+——-+ | Sens | 5 m V | | | 4 V | T | 30 K | | |
|
| 1875| | | | |
+=======+==== ===+=======+======+=======+=======+ | | |
image |
| image | | image | |
1876| |
| 1877| | | 1878| | |
+——-+—- —+——-+——+——-+——-+ | | | *1
image | MΩ*
| image | | image | |
1879| |
| 1880| | | 1881| | |
+——-+—- —+——-+——+——-+——-+ | τ | *3 | ms*
| Input | | ound* | ormal |
|
| A* | | | Res |
|
| | | | erve* |
+——-+—- —+——-+——+——-+——-+ |
|||||||||||||
Pre Amplifier (SR560) |
|
||||||||||||
Signal Analyzer (SR785) |
|
||||||||||||
Period of measurement (min) |
65 min |
||||||||||||
He (l) level consumption |
|||||||||||||
Data files |
<<noise_Test_N13.dat>> |
||||||||||||
Plot |
m277: MFN_noise test_N14 _4T_crosses
- Date
Donnerstag, 6. Juni 2019
15:13
Angle of sensor θ |
+90 |
||||||||||||
|---|---|---|---|---|---|---|---|---|---|---|---|---|---|
Temp |
30 K |
||||||||||||
Crosses |
|||||||||||||
|
|||||||||||||
|
|||||||||||||
Resistance Box |
+——–+- ——-+——–+—+——–+——+ | |imag | | |imag | | |imag | | | e1961| |
+========+= =======+========+===+========+======+ | |imag | *1 MΩ* | |imag | | |imag | *10* | | e1964| |
+——–+- ——-+——–+—+——–+——+ |
||||||||||||
+——+– —–+——-+——+——-+——-+ | Sens | 5 0 mV | | | 4 V | | | | |
|
| 1970| | | | |
+======+== =====+=======+======+=======+=======+ | τ | * 3 | * | AC | Gr | *N | | | m s | Input | | ound* | ormal | | |
|
| | | | erve* |
+——+– —–+——-+——+——-+——-+ |
|||||||||||||
Pre Amplifier (SR560) |
|
||||||||||||
Signal Analyzer (SR785) |
|
||||||||||||
Period of measurement (min) |
min |
||||||||||||
He (l) level consumption |
|||||||||||||
Data files |
|||||||||||||
Plot |
|||||||||||||
m: MFN_
- Date
Freitag, 7. Juni 2019
20:26
Angle of sensor θ |
+90 |
||||||||||||
|---|---|---|---|---|---|---|---|---|---|---|---|---|---|
Temp |
30 K |
||||||||||||
|
|||||||||||||
|
|||||||||||||
Resistance Box |
+——-+— —-+——-+——-+——-+——-+ | | | *1
image | MΩ
2048| |
| 2049| | | 2050| | |
+=======+=== ====+=======+=======+=======+=======+ | | | *1
image | MΩ
2051| |
| 2052| | | 2053| | |
+——-+— —-+——-+——-+——-+——-+ |
||||||||||||
+——+— —-+——-+——-+——-+——-+ | Sens | 20
|
| image | | | |
|
| 2057| | | | |
+======+=== ====+=======+=======+=======+=======+ | τ | *3 | ms
|
| A* | | | Res |
|
| | | | erve* |
+——+— —-+——-+——-+——-+——-+ |
|||||||||||||
Pre Amplifier (SR560) |
|
||||||||||||
Signal Analyzer (SR785) |
|
||||||||||||
Period of measurement (min) |
min |
||||||||||||
He (l) level consumption |
|||||||||||||
Data files |
|||||||||||||
Plot |
|||||||||||||
m278: MFN_4T_#1
- Date
Donnerstag, 6. Juni 2019
16:36
Angle of sensor θ |
+90 |
||||||||||||
|---|---|---|---|---|---|---|---|---|---|---|---|---|---|
Temp |
30 K |
||||||||||||
Empty Cross #1 |
|||||||||||||
|
|||||||||||||
|
|||||||||||||
Resistance Box |
+——–+- ——-+——–+—+——–+——+ | |imag | | |imag | | |imag | | | e2138| |
+========+= =======+========+===+========+======+ | |imag | *1 MΩ* | |imag | | |imag | *10* | | e2141| |
+——–+- ——-+——–+—+——–+——+ |
||||||||||||
+——+– —–+——-+——+——-+——-+ | Sens | 5 0 mV | | | 4 V | | | | |
|
| 2147| | | | |
+======+== =====+=======+======+=======+=======+ | τ | * 3 | * | AC | Gr | *N | | | m s | Input | | ound* | ormal | | |
|
| | | | erve* |
+——+– —–+——-+——+——-+——-+ |
|||||||||||||
Pre Amplifier (SR560) |
|
||||||||||||
Signal Analyzer (SR785) |
|
||||||||||||
Period of measurement (min) |
min |
||||||||||||
He (l) level consumption |
|||||||||||||
Data files |
<<m278_empty1.dat>> |
||||||||||||
Plot |
|||||||||||||
m279: MFN_4T_crosses_over night wide-ranging spans
- Date
Donnerstag, 6. Juni 2019
18:13
Angle of sensor θ |
+90 |
||||||||||||
|---|---|---|---|---|---|---|---|---|---|---|---|---|---|
Temp |
30 K |
||||||||||||
Crosses |
|||||||||||||
|
|||||||||||||
|
|||||||||||||
Resistance Box |
+——–+- ——-+——–+—+——–+——+ | |imag | *1 MΩ* | |imag | | |imag | | | e2220| |
+========+= =======+========+===+========+======+ | |imag | *1 MΩ* | |imag | | |imag | *10* | | e2223| |
+——–+- ——-+——–+—+——–+——+ |
||||||||||||
+——+– —–+——-+——+——-+——-+ | Sens | 5 0 mV | | | 4 V | f | *113 | | |
|
| 2229| | | | |
+======+== =====+=======+======+=======+=======+ | τ | * 3 | * | AC | Gr | *N | | | m s | Input | | ound* | ormal | | |
|
| | | | erve* |
+——+– —–+——-+——+——-+——-+ |
|||||||||||||
Pre Amplifier (SR560) |
|
||||||||||||
Signal Analyzer (SR785) |
|
||||||||||||
Period of measurement (min) |
254min |
||||||||||||
He (l) level consumption |
|||||||||||||
Data files |
<<m279_crosses_w ide_spans_overnight_4T_90deg_4V.dat>> |
||||||||||||
Plot |
Note 277 similar to 279 but diff f-spans |
m280: MFN_0T_crosses_
- Date
Freitag, 7. Juni 2019
10:33
Angle of sensor θ |
+90 |
||||||||||||
|---|---|---|---|---|---|---|---|---|---|---|---|---|---|
Temp |
30 K |
||||||||||||
Crosses |
|||||||||||||
|
|||||||||||||
|
|||||||||||||
Resistance Box |
+——–+- ——-+——–+—+——–+——+ | |imag | *1 MΩ* | |imag | | |imag | | | e2293| |
+========+= =======+========+===+========+======+ | |imag | *1 MΩ* | |imag | | |imag | *10* | | e2296| |
+——–+- ——-+——–+—+——–+——+ |
||||||||||||
+——+– —–+——-+——+——-+——-+ | Sens | 5
|
| image | | | Hz* |
|
| 2302| | | | |
+======+== =====+=======+======+=======+=======+ | τ | * 3 | * | AC | Gr | *N | | | m s | Input | | ound* | ormal | | |
|
| | | | erve* |
+——+– —–+——-+——+——-+——-+ |
|||||||||||||
Pre Amplifier (SR560) |
|
||||||||||||
Signal Analyzer (SR785) |
|
||||||||||||
Period of measurement (min) |
84min |
||||||||||||
He (l) level consumption |
|||||||||||||
Data files |
|||||||||||||
Plot |
m281: MFN_0T_Plusses_
- Date
Freitag, 7. Juni 2019
10:33
Angle of sensor θ |
+90 |
||||||||||||
|---|---|---|---|---|---|---|---|---|---|---|---|---|---|
Temp |
30 K |
||||||||||||
Plusses |
|||||||||||||
|
|||||||||||||
|
|||||||||||||
Resistance Box |
+——–+- ——-+——–+—+——–+——+ | |imag | *1 MΩ* | |imag | | |imag | | | e2366| |
+========+= =======+========+===+========+======+ | |imag | *1 MΩ* | |imag | | |imag | *10* | | e2369| |
+——–+- ——-+——–+—+——–+——+ |
||||||||||||
+——+– —–+——-+——+——-+——-+ | Sens | 5
|
| image | | | Hz* |
|
| 2375| | | | |
+======+== =====+=======+======+=======+=======+ | τ | * 3 | * | AC | Gr | *N | | | m s | Input | | ound* | ormal | | |
|
| | | | erve* |
+——+– —–+——-+——+——-+——-+ |
|||||||||||||
Pre Amplifier (SR560) |
|
||||||||||||
Signal Analyzer (SR785) |
|
||||||||||||
Period of measurement (min) |
84min |
||||||||||||
He (l) level consumption |
|||||||||||||
Data files |
|||||||||||||
Plot |
m282: MFN_-9.4mT_Down sweep_Plusses_
- Date
Freitag, 7. Juni 2019
10:33
Angle of sensor θ |
+90 |
||||||||||||
|---|---|---|---|---|---|---|---|---|---|---|---|---|---|
Temp |
30 K |
||||||||||||
Plusses |
|||||||||||||
|
|||||||||||||
|
|||||||||||||
Resistance Box |
+——–+- ——-+——–+—+——–+——+ | |imag | *1 MΩ* | |imag | | |imag | | | e2439| |
+========+= =======+========+===+========+======+ | |imag | *1 MΩ* | |imag | | |imag | *10* | | e2442| |
+——–+- ——-+——–+—+——–+——+ |
||||||||||||
+——+– —–+——-+——+——-+——-+ | Sens | 5
|
| image | | | Hz* |
|
| 2448| | | | |
+======+== =====+=======+======+=======+=======+ | τ | * 3 | * | AC | Gr | *N | | | m s | Input | | ound* | ormal | | |
|
| | | | erve* |
+——+– —–+——-+——+——-+——-+ |
|||||||||||||
Pre Amplifier (SR560) |
|
||||||||||||
Signal Analyzer (SR785) |
|
||||||||||||
Period of measurement (min) |
84min |
||||||||||||
He (l) level consumption |
|||||||||||||
Data files |
<<m282_Pl usses_-9.4mT_90deg_4V_downsweep.dat>> |
||||||||||||
Plot |
m283: MFN_-9.4mT_Down sweep_Crosses_
- Date
Freitag, 7. Juni 2019
10:33
Angle of sensor θ |
+90 |
||||||||||||
|---|---|---|---|---|---|---|---|---|---|---|---|---|---|
Temp |
30 K |
||||||||||||
Crosses |
|||||||||||||
|
|||||||||||||
|
|||||||||||||
Resistance Box |
+——–+- ——-+——–+—+——–+——+ | |imag | *1 MΩ* | |imag | | |imag | | | e2512| |
+========+= =======+========+===+========+======+ | |imag | *1 MΩ* | |imag | | |imag | *10* | | e2515| |
+——–+- ——-+——–+—+——–+——+ |
||||||||||||
+——+– —–+——-+——+——-+——-+ | Sens | 5
|
| image | | | Hz* |
|
| 2521| | | | |
+======+== =====+=======+======+=======+=======+ | τ | * 3 | * | AC | Gr | *N | | | m s | Input | | ound* | ormal | | |
|
| | | | erve* |
+——+– —–+——-+——+——-+——-+ |
|||||||||||||
Pre Amplifier (SR560) |
|
||||||||||||
Signal Analyzer (SR785) |
|
||||||||||||
Period of measurement (min) |
84min |
||||||||||||
He (l) level consumption |
|||||||||||||
Data files |
|||||||||||||
Plot |
Important: this measurments had to be done over the weekend over low-ranging f-spans |
Filling He(l)
- Date
Sonntag, 9. Juni 2019
19:38
Filling date |
09.06.2019 |
|---|---|
Before (in) |
25 |
After (in) |
36.22 |
consumption |
|
Person |
MAM |
Notes:
‘To do:
m284: PlussesCrossesEmpty_Parallel Hloop_90deg_1T_10mTmin_MFM edition_over night_wrong sensitivity chosen_500µV
Sonntag, 9. Juni 2019
20:15
Float/Ground: |
Ground |
|---|---|
AC/DC: |
AC |
A/A-B: |
A-B |
Reserve: |
Normal |
Source: |
Internal |
Angle of sensor θ |
90 |
||||
|---|---|---|---|---|---|
|
|||||
R12 = 40/1000*50 = |
|||||
Period of measurement (min) |
400 min (6.6 hr) over night |
||||
Notes |
|||||
Data files |
<<m284_Plusses_cros__em p_90deg_Hloop_down_Parallel_2019060 9_2000_I-7-14_GB8-1-13_GB9-2-12_GB1 3-6-8_Vin-2.5V_R11-1MO_C11-1_C21-6_ T-30K_SR-10-mT-min_B-1T_gate-0V_MFN edition.dat>> <<m284_Plusses_cros__ emp_90deg_Hloop_up_Parallel_2019060 9_2000_I-7-14_GB8-1-13_GB9-2-12_GB1 3-6-8_Vin-2.5V_R11-1MO_C11-1_C21-6_ T-30K_SR-10-mT-min_B-1T_gate-0V_MFN edition.dat>> |
||||
Plot |
Summary until here
- Date
Montag, 10. Juni 2019
10:14
m285: PlussesCrossesEmpty_Parallel Hloop_90deg_1T_10mTmin_MFM edition_50µV_30mTmin
Montag, 10. Juni 2019
11:23
Float/Ground: |
Ground |
|---|---|
AC/DC: |
AC |
A/A-B: |
A-B |
Reserve: |
Normal |
Source: |
Internal |
Angle of sensor θ |
90 |
||||
|---|---|---|---|---|---|
|
|||||
R12 = 40/1000*50 = |
|||||
Period of measurement (min) |
133 min (2.2hr) over daylight |
||||
Notes |
|||||
Data files |
|||||
Plot |
m286: MFN_-2.824mT_Down sweep_Plusses_
- Date
Montag, 10. Juni 2019
13:57
Angle of sensor θ |
+90 |
||||||||||||
|---|---|---|---|---|---|---|---|---|---|---|---|---|---|
Temp |
30 K |
||||||||||||
Plusses |
|||||||||||||
|
|||||||||||||
|
|||||||||||||
Resistance Box |
+——–+- ——-+——–+—+——–+——+ | |imag | *1 MΩ* | |imag | | |imag | | | e2636| |
+========+= =======+========+===+========+======+ | |imag | *1 MΩ* | |imag | | |imag | *10* | | e2639| |
+——–+- ——-+——–+—+——–+——+ |
||||||||||||
+——+– —–+——-+——+——-+——-+ | Sens | 5
|
| image | | | Hz* |
|
| 2645| | | | |
+======+== =====+=======+======+=======+=======+ | τ | * 3 | * | AC | Gr | *N | | | m s | Input | | ound* | ormal | | |
|
| | | | erve* |
+——+– —–+——-+——+——-+——-+ |
|||||||||||||
Pre Amplifier (SR560) |
|
||||||||||||
Signal Analyzer (SR785) |
|
||||||||||||
Period of measurement (min) |
84min |
||||||||||||
He (l) level consumption |
|||||||||||||
Data files |
<<m28 6_Plusses_-0.02824T_90deg_4V_DS.dat>> |
||||||||||||
Plot |
m287: MFN_-0.0063T_Down sweep_Plusses_
- Date
Montag, 10. Juni 2019
15:38
Angle of sensor θ |
+90 |
||||||||||||
|---|---|---|---|---|---|---|---|---|---|---|---|---|---|
Temp |
30 K |
||||||||||||
Plusses |
|||||||||||||
|
|||||||||||||
|
|||||||||||||
Resistance Box |
+——–+- ——-+——–+—+——–+——+ | |imag | *1 MΩ* | |imag | | |imag | | | e2711| |
+========+= =======+========+===+========+======+ | |imag | *1 MΩ* | |imag | | |imag | *10* | | e2714| |
+——–+- ——-+——–+—+——–+——+ |
||||||||||||
+——+– —–+——-+——+——-+——-+ | Sens | 5
|
| image | | | Hz* |
|
| 2720| | | | |
+======+== =====+=======+======+=======+=======+ | τ | * 3 | * | AC | Gr | *N | | | m s | Input | | ound* | ormal | | |
|
| | | | erve* |
+——+– —–+——-+——+——-+——-+ |
|||||||||||||
Pre Amplifier (SR560) |
|
||||||||||||
Signal Analyzer (SR785) |
|
||||||||||||
Period of measurement (min) |
84min |
||||||||||||
He (l) level consumption |
|||||||||||||
Data files |
To do next: -0.01695 -0.0063 <<m2 87_Plusses_-0.0063T_90deg_4V_DS.dat>> 1.6E-4 0.01247 -0.57246 |
||||||||||||
Plot |
m 286_Plusses_-0.02824T_90deg_4V_DS.dat |
m288: MFN_0.01247T_Down sweep_Plusses_
- Date
Montag, 10. Juni 2019
17:06
Angle of sensor θ |
+90 |
||||||||||||
|---|---|---|---|---|---|---|---|---|---|---|---|---|---|
Temp |
30 K |
||||||||||||
Plusses |
|||||||||||||
|
|||||||||||||
|
|||||||||||||
Resistance Box |
+——–+- ——-+——–+—+——–+——+ | |imag | *1 MΩ* | |imag | | |imag | | | e2786| |
+========+= =======+========+===+========+======+ | |imag | *1 MΩ* | |imag | | |imag | *10* | | e2789| |
+——–+- ——-+——–+—+——–+——+ |
||||||||||||
+——+– —–+——-+——+——-+——-+ | Sens | 5
|
| image | | | Hz* |
|
| 2795| | | | |
+======+== =====+=======+======+=======+=======+ | τ | * 3 | * | AC | Gr | *N | | | m s | Input | | ound* | ormal | | |
|
| | | | erve* |
+——+– —–+——-+——+——-+——-+ |
|||||||||||||
Pre Amplifier (SR560) |
|
||||||||||||
Signal Analyzer (SR785) |
|
||||||||||||
Period of measurement (min) |
84min |
||||||||||||
He (l) level consumption |
|||||||||||||
Data files |
To do next: -0.01695 -0.0063 1.6E-4 0.01247 -0.57246 |
||||||||||||
Plot |
m 286_Plusses_-0.02824T_90deg_4V_DS.dat |
<<m288_Plusses_0.01247T_90deg_4V_DS.dat>>
m289: MFN_0.015T_down sweep_Plusses_
- Date
Montag, 10. Juni 2019
17:06
Angle of sensor θ |
+90 |
||||||||||||
|---|---|---|---|---|---|---|---|---|---|---|---|---|---|
Temp |
30 K |
||||||||||||
Plusses |
|||||||||||||
|
|||||||||||||
|
|||||||||||||
Resistance Box |
+——–+- ——-+——–+—+——–+——+ | |imag | *1 MΩ* | |imag | | |imag | | | e2861| |
+========+= =======+========+===+========+======+ | |imag | *1 MΩ* | |imag | | |imag | *10* | | e2864| |
+——–+- ——-+——–+—+——–+——+ |
||||||||||||
+——+– —–+——-+——+——-+——-+ | Sens | 5
|
| image | | | Hz* |
|
| 2870| | | | |
+======+== =====+=======+======+=======+=======+ | τ | * 3 | * | AC | Gr | *N | | | m s | Input | | ound* | ormal | | |
|
| | | | erve* |
+——+– —–+——-+——+——-+——-+ |
|||||||||||||
Pre Amplifier (SR560) |
|
||||||||||||
Signal Analyzer (SR785) |
|
||||||||||||
Period of measurement (min) |
84min |
||||||||||||
He (l) level consumption |
|||||||||||||
Data files |
To do next: -0.0169 << m289_Plusses_0.015T_90deg_4V_DS.dat>> 5 -0.0063 1.6E-4 0.01247 -0.57246 |
||||||||||||
Plot |
m 286_Plusses_-0.02824T_90deg_4V_DS.dat |
m290: MFN_0.03T_down sweep_Plusses_
- Date
Montag, 10. Juni 2019
21:52
Angle of sensor θ |
+90 |
||||||||||||
|---|---|---|---|---|---|---|---|---|---|---|---|---|---|
Temp |
30 K |
||||||||||||
Plusses |
|||||||||||||
|
|||||||||||||
|
|||||||||||||
Resistance Box |
+——–+- ——-+——–+—+——–+——+ | |imag | *1 MΩ* | |imag | | |imag | | | e2936| |
+========+= =======+========+===+========+======+ | |imag | *1 MΩ* | |imag | | |imag | *10* | | e2939| |
+——–+- ——-+——–+—+——–+——+ |
||||||||||||
+——+– —–+——-+——+——-+——-+ | Sens | 5
|
| image | | | Hz* |
|
| 2945| | | | |
+======+== =====+=======+======+=======+=======+ | τ | * 3 | * | AC | Gr | *N | | | m s | Input | | ound* | ormal | | |
|
| | | | erve* |
+——+– —–+——-+——+——-+——-+ |
|||||||||||||
Pre Amplifier (SR560) |
|
||||||||||||
Signal Analyzer (SR785) |
|
||||||||||||
Period of measurement (min) |
84min |
||||||||||||
He (l) level consumption |
|||||||||||||
Data files |
To do next: -0.01695 < <m290_Plusses_0.03T_90deg_4V_DS.dat>> -0.0063 1.6E-4 0.01247 -0.57246 |
||||||||||||
Plot |
m 286_Plusses_-0.02824T_90deg_4V_DS.dat |
m291: MFN_-0.57246T_down sweep_Plusses_overight most f-spans
- Date
|Sensor 26 3um Tetrahedral CoFe nanostructures D B x A and B: old square
ASI|
Montag, 10. Juni 2019
23:20
Angle of sensor θ |
+90 |
||||||||||||
|---|---|---|---|---|---|---|---|---|---|---|---|---|---|
Temp |
30 K |
||||||||||||
Plusses |
|||||||||||||
|
|||||||||||||
|
|||||||||||||
Resistance Box |
+——–+- ——-+——–+—+——–+——+ | |imag | *1 MΩ* | |imag | | |imag | | | e3020| |
+========+= =======+========+===+========+======+ | |imag | *1 MΩ* | |imag | | |imag | *10* | | e3023| |
+——–+- ——-+——–+—+——–+——+ |
||||||||||||
+——+– —–+——-+——+——-+——-+ | Sens | 5
|
| image | | | Hz* |
|
| 3029| | | | |
+======+== =====+=======+======+=======+=======+ | τ | * 3 | * | AC | Gr | *N | | | m s | Input | | ound* | ormal | | |
|
| | | | erve* |
+——+– —–+——-+——+——-+——-+ |
|||||||||||||
Pre Amplifier (SR560) |
|
||||||||||||
Signal Analyzer (SR785) |
|
||||||||||||
Period of measurement (min) |
507 min (8.4hr) overnight started at 23:24 |
||||||||||||
He (l) level consumption |
|||||||||||||
Data files |
<<m291_ Plusses_-0.57246T_90deg_4V_DS__.dat>> |
||||||||||||
Plot |
m292: MFN_-0.10422T_down sweep_Plusses
- Date
Dienstag, 11. Juni 2019
08:00
Angle of sensor θ |
+90 |
||||||||||||
|---|---|---|---|---|---|---|---|---|---|---|---|---|---|
Temp |
30 K |
||||||||||||
Plusses |
|||||||||||||
|
|||||||||||||
|
|||||||||||||
Resistance Box |
+——–+- ——-+——–+—+——–+——+ | |imag | *1 MΩ* | |imag | | |imag | | | e3096| |
+========+= =======+========+===+========+======+ | |imag | *1 MΩ* | |imag | | |imag | *10* | | e3099| |
+——–+- ——-+——–+—+——–+——+ |
||||||||||||
+——+– —–+——-+——+——-+——-+ | Sens | 5
|
| image | | | Hz* |
|
| 3105| | | | |
+======+== =====+=======+======+=======+=======+ | τ | * 3 | * | AC | Gr | *N | | | m s | Input | | ound* | ormal | | |
|
| | | | erve* |
+——+– —–+——-+——+——-+——-+ |
|||||||||||||
Pre Amplifier (SR560) |
|
||||||||||||
Signal Analyzer (SR785) |
|
||||||||||||
Period of measurement (min) |
|||||||||||||
He (l) level consumption |
|||||||||||||
Data files |
<<m292_ Plusses_-0.10422T_90deg_4V_DS__.dat>> |
||||||||||||
Plot |
m293: MFN_-4T_Plusses
- Date
Dienstag, 11. Juni 2019
09:49
Angle of sensor θ |
+90 |
||||||||||||
|---|---|---|---|---|---|---|---|---|---|---|---|---|---|
Temp |
30 K |
||||||||||||
Plusses |
|||||||||||||
|
|||||||||||||
|
|||||||||||||
Resistance Box |
+——–+- ——-+——–+—+——–+——+ | |imag | *1 MΩ* | |imag | | |imag | | | e3171| |
+========+= =======+========+===+========+======+ | |imag | *1 MΩ* | |imag | | |imag | *10* | | e3174| |
+——–+- ——-+——–+—+——–+——+ |
||||||||||||
+——+– —–+——-+——+——-+——-+ | Sens | 5 0mV | | | 4 V | f | *113 | | |
|
| 3180| | | | |
+======+== =====+=======+======+=======+=======+ | τ | * 3 | * | AC | Gr | *N | | | m s | Input | | ound* | ormal | | |
|
| | | | erve* |
+——+– —–+——-+——+——-+——-+ |
|||||||||||||
Pre Amplifier (SR560) |
|
||||||||||||
Signal Analyzer (SR785) |
|
||||||||||||
Period of measurement (min) |
|||||||||||||
He (l) level consumption |
|||||||||||||
Data files |
<<m293_Plusses_-4T_90deg_4V_.dat>> |
||||||||||||
Plot |
m294: MFN_-4T_Crosses
- Date
Dienstag, 11. Juni 2019
09:49
Angle of sensor θ |
+90 |
||||||||||||
|---|---|---|---|---|---|---|---|---|---|---|---|---|---|
Temp |
30 K |
||||||||||||
Crosses |
|||||||||||||
|
|||||||||||||
|
|||||||||||||
Resistance Box |
+——–+- ——-+——–+—+——–+——+ | |imag | *1 MΩ* | |imag | | |imag | | | e3246| |
+========+= =======+========+===+========+======+ | |imag | *1 MΩ* | |imag | | |imag | *10* | | e3249| |
+——–+- ——-+——–+—+——–+——+ |
||||||||||||
+——+– —–+——-+——+——-+——-+ | Sens | 5 0mV | | | 4 V | f | *113 | | |
|
| 3255| | | | |
+======+== =====+=======+======+=======+=======+ | τ | * 3 | * | AC | Gr | *N | | | m s | Input | | ound* | ormal | | |
|
| | | | erve* |
+——+– —–+——-+——+——-+——-+ |
|||||||||||||
Pre Amplifier (SR560) |
|
||||||||||||
Signal Analyzer (SR785) |
|
||||||||||||
Period of measurement (min) |
|||||||||||||
He (l) level consumption |
|||||||||||||
Data files |
<<m294_Crosses_-4T_90deg_4V_.dat>> |
||||||||||||
Plot |
To do next
-0.01695
-0.0063
1.6E-4
0.01247
-0.57246
-4T
m295: MFN_-4T_empty cross 6-8
- Date
Dienstag, 11. Juni 2019
14:13
Angle of sensor θ |
+90 |
||||||||||||
|---|---|---|---|---|---|---|---|---|---|---|---|---|---|
Temp |
30 K |
||||||||||||
Empty cross 6-8 |
|||||||||||||
|
|||||||||||||
|
|||||||||||||
Resistance Box |
+——–+- ——-+——–+—+——–+——+ | |imag | *1 MΩ* | |imag | | |imag | | | e3321| |
+========+= =======+========+===+========+======+ | |imag | *1 MΩ* | |imag | | |imag | *10* | | e3324| |
+——–+- ——-+——–+—+——–+——+ |
||||||||||||
+——+– —–+——-+——+——-+——-+ | Sens | 5 0mV | | | 4 V | f | *113 | | |
|
| 3330| | | | |
+======+== =====+=======+======+=======+=======+ | τ | * 3 | * | AC | Gr | *N | | | m s | Input | | ound* | ormal | | |
|
| | | | erve* |
+——+– —–+——-+——+——-+——-+ |
|||||||||||||
Pre Amplifier (SR560) |
|
||||||||||||
Signal Analyzer (SR785) |
|
||||||||||||
Period of measurement (min) |
|||||||||||||
He (l) level consumption |
|||||||||||||
Data files |
<<m295_empty (6-8)_-4T_90deg_4V_.dat>> |
||||||||||||
Plot |
To do next
-0.01695
-0.0063
1.6E-4
0.01247
-0.57246
-4T
Summary until here
- Date
11 June 2019
15:54
m296: MFN_-4T_empty cross 5-10
- Date
Dienstag, 11. Juni 2019
15:59
Angle of sensor θ |
+90 |
||||||||||||
|---|---|---|---|---|---|---|---|---|---|---|---|---|---|
Temp |
30 K |
||||||||||||
Empty cross 5-10 |
|||||||||||||
|
|||||||||||||
|
|||||||||||||
Resistance Box |
+——–+- ——-+——–+—+——–+——+ | |imag | *1 MΩ* | |imag | | |imag | | | e3397| |
+========+= =======+========+===+========+======+ | |imag | *1 MΩ* | |imag | | |imag | *10* | | e3400| |
+——–+- ——-+——–+—+——–+——+ |
||||||||||||
+——+– —–+——-+——+——-+——-+ | Sens | 5 0mV | | | 4 V | f | *113 | | |
|
| 3406| | | | |
+======+== =====+=======+======+=======+=======+ | τ | * 3 | * | AC | Gr | *N | | | m s | Input | | ound* | ormal | | |
|
| | | | erve* |
+——+– —–+——-+——+——-+——-+ |
|||||||||||||
Pre Amplifier (SR560) |
|
||||||||||||
Signal Analyzer (SR785) |
|
||||||||||||
Period of measurement (min) |
|||||||||||||
He (l) level consumption |
|||||||||||||
Data files |
<<m296_empty (5-10)_-4T_90deg_4V_.dat>> |
||||||||||||
Plot |
To do next
-0.01695
-0.0063
1.6E-4
0.01247
-0.57246
-4T
Summary untill here -4T version
- Date
12 June 2019
09:42
m297: MFN_-2.824mT_down sweep_Crosses_
- Date
Dienstag, 11. Juni 2019
17:45
Angle of sensor θ |
+90 |
||||||||||||
|---|---|---|---|---|---|---|---|---|---|---|---|---|---|
Temp |
30 K |
||||||||||||
Crosses |
|||||||||||||
|
|||||||||||||
|
|||||||||||||
Resistance Box |
+——–+- ——-+——–+—+——–+——+ | |imag | *1 MΩ* | |imag | | |imag | | | e3473| |
+========+= =======+========+===+========+======+ | |imag | *1 MΩ* | |imag | | |imag | *10* | | e3476| |
+——–+- ——-+——–+—+——–+——+ |
||||||||||||
+——+– —–+——-+——+——-+——-+ | Sens | 5
|
| image | | | Hz* |
|
| 3482| | | | |
+======+== =====+=======+======+=======+=======+ | τ | * 3 | * | AC | Gr | *N | | | m s | Input | | ound* | ormal | | |
|
| | | | erve* |
+——+– —–+——-+——+——-+——-+ |
|||||||||||||
Pre Amplifier (SR560) |
|
||||||||||||
Signal Analyzer (SR785) |
|
||||||||||||
Period of measurement (min) |
84min |
||||||||||||
He (l) level consumption |
<<m297_Crosses (2-12)_-0.02824T_90deg_4V_.dat>> |
||||||||||||
Data files |
|||||||||||||
Plot |
m298: MFN_-0.0063T_down sweep_Crosses_
- Date
Dienstag, 11. Juni 2019
20:26
Angle of sensor θ |
+90 |
||||||||||||
|---|---|---|---|---|---|---|---|---|---|---|---|---|---|
Temp |
30 K |
||||||||||||
Crosses |
|||||||||||||
|
|||||||||||||
|
|||||||||||||
Resistance Box |
+——–+- ——-+——–+—+——–+——+ | |imag | *1 MΩ* | |imag | | |imag | | | e3548| |
+========+= =======+========+===+========+======+ | |imag | *1 MΩ* | |imag | | |imag | *10* | | e3551| |
+——–+- ——-+——–+—+——–+——+ |
||||||||||||
+——+– —–+——-+——+——-+——-+ | Sens | 5
|
| image | | | Hz* |
|
| 3557| | | | |
+======+== =====+=======+======+=======+=======+ | τ | * 3 | * | AC | Gr | *N | | | m s | Input | | ound* | ormal | | |
|
| | | | erve* |
+——+– —–+——-+——+——-+——-+ |
|||||||||||||
Pre Amplifier (SR560) |
|
||||||||||||
Signal Analyzer (SR785) |
|
||||||||||||
Period of measurement (min) |
84min |
||||||||||||
He (l) level consumption |
|||||||||||||
Data files |
|||||||||||||
Plot |
m299: MFN_-0.572500T_down sweep_Crosses_over ight wide ranging f-spans_
Dienstag, 11. Juni 2019
22:23
Angle of sensor θ |
+90 |
||||||||||||
|---|---|---|---|---|---|---|---|---|---|---|---|---|---|
Temp |
30 K |
||||||||||||
Crosses |
|||||||||||||
|
|||||||||||||
|
|||||||||||||
Resistance Box |
+——–+- ——-+——–+—+——–+——+ | |imag | *1 MΩ* | |imag | | |imag | | | e3631| |
+========+= =======+========+===+========+======+ | |imag | *1 MΩ* | |imag | | |imag | *10* | | e3634| |
+——–+- ——-+——–+—+——–+——+ |
||||||||||||
+——+– —–+——-+——+——-+——-+ | Sens | 5
|
| image | | | Hz* |
|
| 3640| | | | |
+======+== =====+=======+======+=======+=======+ | τ | * 3 | * | AC | Gr | *N | | | m s | Input | | ound* | ormal | | |
|
| | | | erve* |
+——+– —–+——-+——+——-+——-+ |
|||||||||||||
Pre Amplifier (SR560) |
|
||||||||||||
Signal Analyzer (SR785) |
|
||||||||||||
Period of measurement (min) |
507 min (8.4hr) overnight started at 23:24 |
||||||||||||
He (l) level consumption |
|||||||||||||
Data files |
<<m299_Crosses (2-12)_-0.572500T_90deg_4V_.dat>> |
||||||||||||
Plot |
m300: MFN_0.01247T_down sweep_Crosses_
- Date
Mittwoch, 12. Juni 2019
07:11
Angle of sensor θ |
+90 |
||||||||||||
|---|---|---|---|---|---|---|---|---|---|---|---|---|---|
Temp |
30 K |
||||||||||||
Crosses |
|||||||||||||
|
|||||||||||||
|
|||||||||||||
Resistance Box |
+——–+- ——-+——–+—+——–+——+ | |imag | *1 MΩ* | |imag | | |imag | | | e3706| |
+========+= =======+========+===+========+======+ | |imag | *1 MΩ* | |imag | | |imag | *10* | | e3709| |
+——–+- ——-+——–+—+——–+——+ |
||||||||||||
+——+– —–+——-+——+——-+——-+ | Sens | 5
|
| image | | | Hz* |
|
| 3715| | | | |
+======+== =====+=======+======+=======+=======+ | τ | * 3 | * | AC | Gr | *N | | | m s | Input | | ound* | ormal | | |
|
| | | | erve* |
+——+– —–+——-+——+——-+——-+ |
|||||||||||||
Pre Amplifier (SR560) |
|
||||||||||||
Signal Analyzer (SR785) |
|
||||||||||||
Period of measurement (min) |
84min |
||||||||||||
He (l) level consumption |
|||||||||||||
Data files |
<<m300_Crosses (2-12)_0.01247T_90deg_4V_.dat>> |
||||||||||||
Plot |
m301: MFN_0.015T_down sweep_Crosses_
- Date
Mittwoch, 12. Juni 2019
09:10
Angle of sensor θ |
+90 |
||||||||||||
|---|---|---|---|---|---|---|---|---|---|---|---|---|---|
Temp |
30 K |
||||||||||||
Crosses |
|||||||||||||
|
|||||||||||||
|
|||||||||||||
Resistance Box |
+——–+- ——-+——–+—+——–+——+ | |imag | *1 MΩ* | |imag | | |imag | | | e3781| |
+========+= =======+========+===+========+======+ | |imag | *1 MΩ* | |imag | | |imag | *10* | | e3784| |
+——–+- ——-+——–+—+——–+——+ |
||||||||||||
+——+– —–+——-+——+——-+——-+ | Sens | 5
|
| image | | | Hz* |
|
| 3790| | | | |
+======+== =====+=======+======+=======+=======+ | τ | * 3 | * | AC | Gr | *N | | | m s | Input | | ound* | ormal | | |
|
| | | | erve* |
+——+– —–+——-+——+——-+——-+ |
|||||||||||||
Pre Amplifier (SR560) |
|
||||||||||||
Signal Analyzer (SR785) |
|
||||||||||||
Period of measurement (min) |
84min |
||||||||||||
He (l) level consumption |
|||||||||||||
Data files |
<<m301_Crosses (2-12)_0.015T_90deg_4V_.dat>> |
||||||||||||
Plot |
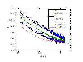
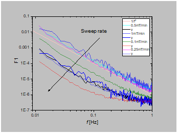
Measurements while sweeping field
- Date
Donnerstag, 13. Juni 2019
14:06
Sweeping from ± 2 T
From |
To |
Structures |
Sweeping Rate [mT/min] |
Measurement |
|---|---|---|---|---|
Crosses |
48 |
|||
Crosses |
48 |
|||
Plusses |
48 |
|||
Empty #1 |
48 |
|||
Plusses |
7.86 |
Sweeping down and up again
Limit [± mT] |
Structures |
Sweeping Rate [mT/min] |
Measurement |
. |
|---|---|---|---|---|
± 250 |
Plusses |
11.86 |
||
± 500 |
Plusses |
23.7 |
||
± 100 |
Plusses |
4.7 |
Analyzing Field Sweeps
- Date
Freitag, 14. Juni 2019
01:25
m302_m302.1: MFN_down sweeping 2T to -2T_ 48mTmin_measuring MFN for Crosses
Mittwoch, 12. Juni 2019
11:13
Angle of sensor θ |
+90 |
||||||||||||
|---|---|---|---|---|---|---|---|---|---|---|---|---|---|
Temp |
30 K |
||||||||||||
Crosses |
|||||||||||||
|
|||||||||||||
|
|||||||||||||
Resistance Box |
+——–+- ——-+——–+—+——–+——+ | |imag | *1 MΩ* | |imag | | |imag | | | e3857| |
+========+= =======+========+===+========+======+ | |imag | *1 MΩ* | |imag | | |imag | *10* | | e3860| |
+——–+- ——-+——–+—+——–+——+ |
||||||||||||
+——+– —–+——-+——+——-+——-+ | Sens | 1 0mV | | | 4 V | f | *113 | | |
|
| 3866| | | | |
+======+== =====+=======+======+=======+=======+ | τ | * 3 | * | AC | Gr | *N | | | m s | Input | | ound* | ormal | | |
|
| | | | erve* |
+——+– —–+——-+——+——-+——-+ |
|||||||||||||
Pre Amplifier (SR560) |
|
||||||||||||
Signal Analyzer (SR785) |
|
||||||||||||
Period of measurement (min) |
84min for MFN |
||||||||||||
He (l) level consumption |
|||||||||||||
Data files |
<<m302__MFN file_sweeping 2T to -2T_48 mTmin_measuring MFN for Crosses_90deg_4V_.dat>> |
||||||||||||
Plot |
|||||||||||||
Note: |
There are two files one for MFN (m302) and one for VH (m302.1) |
m303_m303.1: MFN_up sweeping -2T to 2T_ 48mTmin_measuring MFN for Crosses
Mittwoch, 12. Juni 2019
13:27
Angle of sensor θ |
+90 |
||||||||||||
|---|---|---|---|---|---|---|---|---|---|---|---|---|---|
Temp |
30 K |
||||||||||||
Crosses |
|||||||||||||
|
|||||||||||||
|
|||||||||||||
Resistance Box |
+——–+- ——-+——–+—+——–+——+ | |imag | *1 MΩ* | |imag | | |imag | | | e3933| |
+========+= =======+========+===+========+======+ | |imag | *1 MΩ* | |imag | | |imag | *10* | | e3936| |
+——–+- ——-+——–+—+——–+——+ |
||||||||||||
+——+– —–+——-+——+——-+——-+ | Sens | 1 0mV | | | 4 V | f | *113 | | |
|
| 3942| | | | |
+======+== =====+=======+======+=======+=======+ | τ | * 3 | * | AC | Gr | *N | | | m s | Input | | ound* | ormal | | |
|
| | | | erve* |
+——+– —–+——-+——+——-+——-+ |
|||||||||||||
Pre Amplifier (SR560) |
|
||||||||||||
Signal Analyzer (SR785) |
|
||||||||||||
Period of measurement (min) |
84min for MFN |
||||||||||||
He (l) level consumption |
|||||||||||||
Data files |
ig9b73 <<m303.1__VH file_sweeping -2T to 2T_48 mTmin_measuring MFN for Crosses_90deg_4V_.dat>> <<m303__MFN file_sweeping -2T to 2T_48 mTmin_measuring MFN for Crosses_90deg_4V_.dat>> |
||||||||||||
Plot |
|||||||||||||
Note: |
There are two files one for MFN (m303) and one for VH (m303.1) |
m304_m304.1: MFN_down sweeping -2T to 2T_ 48mTmin_measuring MFN for Plusses
Mittwoch, 12. Juni 2019
15:13
Angle of sensor θ |
+90 |
||||||||||||
|---|---|---|---|---|---|---|---|---|---|---|---|---|---|
Temp |
30 K |
||||||||||||
Plusses |
|||||||||||||
|
|||||||||||||
|
|||||||||||||
Resistance Box |
+——–+- ——-+——–+—+——–+——+ | |imag | *1 MΩ* | |imag | | |imag | | | e4009| |
+========+= =======+========+===+========+======+ | |imag | *1 MΩ* | |imag | | |imag | *10* | | e4012| |
+——–+- ——-+——–+—+——–+——+ |
||||||||||||
+——+– —–+——-+——+——-+——-+ | Sens | 1 0mV | | | 4 V | f | *113 | | |
|
| 4018| | | | |
+======+== =====+=======+======+=======+=======+ | τ | * 3 | * | AC | Gr | *N | | | m s | Input | | ound* | ormal | | |
|
| | | | erve* |
+——+– —–+——-+——+——-+——-+ |
|||||||||||||
Pre Amplifier (SR560) |
|
||||||||||||
Signal Analyzer (SR785) |
|
||||||||||||
Period of measurement (min) |
84min for MFN |
||||||||||||
He (l) level consumption |
|||||||||||||
Data files |
ig9b73 <<m304__MFN file_sweeping 2T to -2T_48 mTmin_measuring MFN for Plusses_90deg_4V_.dat>> <<m304.1__VH file_sweeping -2T to 2T_48 mTmin_measuring MFN for Plusses_90deg_4V_.dat>> |
||||||||||||
Plot |
|||||||||||||
Note: |
There are two files one for MFN (m303) and one for VH (m303.1) |
Filling He(l)
- Date
Mittwoch, 12. Juni 2019
16:45
Filling date |
12.06.2019 |
|---|---|
Before (in) |
28.77 |
After (in) |
36.22 |
consumption |
162-129=33 L |
Person |
MAM |
Notes:
‘To do:
m305_m305.1: MFN_down sweeping 2T to -2T_ 48mTmin_measuring MFN for empty cross 6-8
Mittwoch, 12. Juni 2019
17:39
Angle of sensor θ |
+90 |
||||||||||||
|---|---|---|---|---|---|---|---|---|---|---|---|---|---|
Temp |
30 K |
||||||||||||
Empty cross 6-8 |
|||||||||||||
|
|||||||||||||
|
|||||||||||||
Resistance Box |
+——–+- ——-+——–+—+——–+——+ | |imag | *1 MΩ* | |imag | | |imag | | | e4089| |
+========+= =======+========+===+========+======+ | |imag | *1 MΩ* | |imag | | |imag | *10* | | e4092| |
+——–+- ——-+——–+—+——–+——+ |
||||||||||||
+——+– —–+——-+——+——-+——-+ | Sens | 2 0mV | | | 4 V | f | *113 | | |
|
| 4098| | | | |
+======+== =====+=======+======+=======+=======+ | τ | * 3 | * | AC | Gr | *N | | | m s | Input | | ound* | ormal | | |
|
| | | | erve* |
+——+– —–+——-+——+——-+——-+ |
|||||||||||||
Pre Amplifier (SR560) |
|
||||||||||||
Signal Analyzer (SR785) |
|
||||||||||||
Period of measurement (min) |
84min for MFN |
||||||||||||
He (l) level consumption |
|||||||||||||
Data files |
ig9b73 <<m305.1__VH file_sweeping 2T to - 2T_48 mTmin_measuring MFN for Empty cross 6-8_90deg_4V_.dat>> <<m305__MFN file_sweeping 2T to -2T_48 mTmin_measuring MFN for Empty cross 6-8_90deg_4V_ses20mV.dat>> |
||||||||||||
Plot |
|||||||||||||
Note: |
There are two files one for MFN (m305) and one for VH (m305.1) |
m306_m306.1: MFN_down sweeping -2T to 2T_ 7.86422mTmin_measuring MFN for Plusses_over night wide-f-spans
Mittwoch, 12. Juni 2019
20:57
Angle of sensor θ |
+90 |
||||||||||||
|---|---|---|---|---|---|---|---|---|---|---|---|---|---|
Temp |
30 K |
||||||||||||
Plusses |
|||||||||||||
|
|||||||||||||
|
|||||||||||||
Resistance Box |
+——–+- ——-+——–+—+——–+——+ | |imag | *1 MΩ* | |imag | | |imag | | | e4173| |
+========+= =======+========+===+========+======+ | |imag | *1 MΩ* | |imag | | |imag | *10* | | e4176| |
+——–+- ——-+——–+—+——–+——+ |
||||||||||||
+——+– —–+——-+——+——-+——-+ | Sens | 5 mV | | | 4 V | f | *113 | | |
|
| 4182| | | | |
+======+== =====+=======+======+=======+=======+ | τ | * 3 | * | AC | Gr | *N | | | m s | Input | | ound* | ormal | | |
|
| | | | erve* |
+——+– —–+——-+——+——-+——-+ |
|||||||||||||
Pre Amplifier (SR560) |
|
||||||||||||
Signal Analyzer (SR785) |
|
||||||||||||
Period of measurement (min) |
507 min for MFN |
||||||||||||
He (l) level consumption |
|||||||||||||
Data files |
ig9b73 <<m306_MFN file_sweeping 2T to -2T_7.86422 mTmin_measuring MFN for Plusses_90deg_4V_ses5mV_over night wide_f-spans.dat>> <<m306.1__VH file_sweeping 2T to -2T_7.86422 mTmin_measuring MFN for Plusses_90deg_4V_ses5mV_over night wide_f-spans.dat>> |
||||||||||||
Plot |
|||||||||||||
Note: |
There are two files one for MFN (m306) and one for VH (m306.1) |
m307_m308.1: MFN_down and up sweeping 0.25T_ 11.862mTmin_measuring MFN for Plusses
Donnerstag, 13. Juni 2019
07:37
Angle of sensor θ |
+90 |
||||||||||||
|---|---|---|---|---|---|---|---|---|---|---|---|---|---|
Temp |
30 K |
||||||||||||
Plusses 1-13 |
|||||||||||||
|
|||||||||||||
|
|||||||||||||
Resistance Box |
+——–+- ——-+——–+—+——–+——+ | |imag | *1 MΩ* | |imag | | |imag | | | e4249| |
+========+= =======+========+===+========+======+ | |imag | *1 MΩ* | |imag | | |imag | *10* | | e4252| |
+——–+- ——-+——–+—+——–+——+ |
||||||||||||
+——+– —–+——-+——+——-+——-+ | Sens | 5 mV | | | 4 V | f | *113 | | |
|
| 4258| | | | |
+======+== =====+=======+======+=======+=======+ | τ | * 3 | * | AC | Gr | *N | | | m s | Input | | ound* | ormal | | |
|
| | | | erve* |
+——+– —–+——-+——+——-+——-+ |
|||||||||||||
Pre Amplifier (SR560) |
|
||||||||||||
Signal Analyzer (SR785) |
|
||||||||||||
Period of measurement (min) |
84min for MFN |
||||||||||||
He (l) level consumption |
|||||||||||||
Data files |
ig9b73 <<m307.1_VH file_sweeping 0.25T to -0.25T and_ 0.25T to -0.25T_11.862 mTmin_measuring MFN for Plusses_90deg_4V_ses5mV.dat>> <<m307__MFN file_sweeping 0.25T to -0.25T and_ 0.25T to -0.25T_11.862 mTmin_measuring MFN for Plusses_90deg_4V_ses5mV.dat>> |
||||||||||||
Plot |
|||||||||||||
Note: |
There are two files one for MFN (m307) and one for VH (m307.1) |
m308_m308.1: MFN_down and up sweeping 0.5T_ 23.7mTmin_measuring MFN for Plusses
Donnerstag, 13. Juni 2019
10:02
Angle of sensor θ |
+90 |
||||||||||||
|---|---|---|---|---|---|---|---|---|---|---|---|---|---|
Temp |
30 K |
||||||||||||
Plusses 1-13 |
|||||||||||||
|
|||||||||||||
|
|||||||||||||
Resistance Box |
+——–+- ——-+——–+—+——–+——+ | |imag | *1 MΩ* | |imag | | |imag | | | e4325| |
+========+= =======+========+===+========+======+ | |imag | *1 MΩ* | |imag | | |imag | *10* | | e4328| |
+——–+- ——-+——–+—+——–+——+ |
||||||||||||
+——+– —–+——-+——+——-+——-+ | Sens | 5 mV | | | 4 V | f | *113 | | |
|
| 4334| | | | |
+======+== =====+=======+======+=======+=======+ | τ | * 3 | * | AC | Gr | *N | | | m s | Input | | ound* | ormal | | |
|
| | | | erve* |
+——+– —–+——-+——+——-+——-+ |
|||||||||||||
Pre Amplifier (SR560) |
|
||||||||||||
Signal Analyzer (SR785) |
|
||||||||||||
Period of measurement (min) |
84min for MFN |
||||||||||||
He (l) level consumption |
|||||||||||||
Data files |
ig9b73 <<m308__MFN file_sweeping 0.5T to -0.5T and_ -0.5T to 0.5T_23.7 mTmin_measuring MFN for Plusses_90deg_4V_ses5mV.dat>> <<m308.1__VH file_sweeping 0.5T to -0.5T and_ -0.5T to 0.5T_23.7 mTmin_measuring MFN for Plusses_90deg_4V_ses5mV.dat>> |
||||||||||||
Plot |
|||||||||||||
Note: |
There are two files one for MFN (m308) and one for VH (m308.1) |
m309_m309.1: MFN_down and up sweeping 0.1T_ 4.7mTmin_measuring MFN for Plusses
Donnerstag, 13. Juni 2019
11:45
Angle of sensor θ |
+90 |
||||||||||||
|---|---|---|---|---|---|---|---|---|---|---|---|---|---|
Temp |
30 K |
||||||||||||
Plusses 1-13 |
|||||||||||||
|
|||||||||||||
|
|||||||||||||
Resistance Box |
+——–+- ——-+——–+—+——–+——+ | |imag | *1 MΩ* | |imag | | |imag | | | e4401| |
+========+= =======+========+===+========+======+ | |imag | *1 MΩ* | |imag | | |imag | *10* | | e4404| |
+——–+- ——-+——–+—+——–+——+ |
||||||||||||
+——+– —–+——-+——+——-+——-+ | Sens | 5 mV | | | 4 V | f | *113 | | |
|
| 4410| | | | |
+======+== =====+=======+======+=======+=======+ | τ | * 3 | * | AC | Gr | *N | | | m s | Input | | ound* | ormal | | |
|
| | | | erve* |
+——+– —–+——-+——+——-+——-+ |
|||||||||||||
Pre Amplifier (SR560) |
|
||||||||||||
Signal Analyzer (SR785) |
|
||||||||||||
Period of measurement (min) |
84.3min for MFN |
||||||||||||
He (l) level consumption |
|||||||||||||
Data files |
<<m309__MFN file_sweeping 0.1T to -0.1T and_ -0.1T to 0.1T_4.74 mTmin_measuring MFN for Plusses_90deg_4V_ses5mV.dat>> <<m309.1__VH file_sweeping 0.1T to -0.1T and_ -0.1T to 0.1T_4.74 mTmin_measuring MFN for Plusses_90deg_4V_ses5mV.dat>> |
||||||||||||
Plot |
|||||||||||||
Note: |
There are two files one for MFN (m309) and one for VH (m309.1) |
Measurement Plan #2
- Date
Donnerstag, 13. Juni 2019
16:41
Static Field (compare with measurements at 90deg (static field))
Nr |
Struct |
Field |
PM? |
F-Span |
Avg |
Time |
|---|---|---|---|---|---|---|
#1 Empty |
0 |
PM |
6 / 3 |
30 |
90 min |
|
-572.5 mT |
PM |
12 / 6 / 3 / 1 / 0.78 |
30 |
500 min |
||
250 mT |
PM |
3.125, 1 .5625Hz |
30 |
|||
500 mT |
PM |
3.125, 1 .5625Hz |
30 |
|||
1.5 T |
PM |
3.125, 1 .5625Hz |
30 |
|||
` m319: <o nenote:# m319%20M FN_2T_Em pty%20&s ection-i d={5FAD0 518-E349 -4A07-93 E8-5D105 BD4AEB4} &page-id ={DA906F ED-A6E4- 41F1-A61 0-E456F0 9AF024}& end&base -path=ht tps://go etheuniv ersitaet .sharepo int.com/ sites/Pr oject4/S iteAsset s/Projec t%204%20 Notebook /Magneti c%20Flux %20Noise .one>`__ |
2 T |
PM |
1.56 / 0.78 Hz |
30 |
||
e:#m315% 20MFN_25 0mT_up%2 0sweep_C rosses&s ection-i d={5FAD0 518-E349 -4A07-93 E8-5D105 BD4AEB4} &page-id ={34FAA8 5F-F6E1- 4707-9D6 3-67B512 7E9D34}& end&base -path=ht tps://go etheuniv ersitaet .sharepo int.com/ sites/Pr oject4/S iteAsset s/Projec t%204%20 Notebook /Magneti c%20Flux %20Noise .one>`__ |
Crosses |
250 mT |
PM |
1.56 / 0.78 Hz |
30 |
|
500 mT |
PM |
1.56 / 0.78 Hz |
30 |
|||
1.5 T |
PM |
1.56 / 0.78 Hz |
30 |
|||
2 T |
PM |
1.56 / 0.78 Hz |
30 |
Sweeping Field (compare with Measurements while sweeping field )
Nr |
S truct |
Field From |
Field To |
SR [mT /min] |
F -Span |
Avg |
Time [min] |
|---|---|---|---|---|---|---|---|
#1 Empty |
2T |
1 T |
9.434 |
1 .5625 |
25 |
107 |
|
4,7 |
0.78 |
214 |
|||||
500 mT |
-500 mT |
9.4 |
1.56 |
107 |
|||
4.7 |
0.78 |
214 |
|||||
note: #m323 %20MF N_swe ep_1T _Empt y&sec tion- id={5 FAD05 18-E3 49-4A 07-93 E8-5D 105BD 4AEB4 }&pag e-id= {8542 1CEF- 782C- 463C- BF01- 4AB2A CAAB2 FD}&e nd&ba se-pa th=ht tps:/ /goet heuni versi taet. share point .com/ sites /Proj ect4/ SiteA ssets /Proj ect%2 04%20 Noteb ook/M agnet ic%20 Flux% 20Noi se.on e>`__ |
1 T |
-1 T |
9.4 |
0.78 |
214 |
||
note: #m324 %20MF N_swe ep_1T _Empt y_lon g&sec tion- id={5 FAD05 18-E3 49-4A 07-93 E8-5D 105BD 4AEB4 }&pag e-id= {668C E667- FFA9- 40E1- A502- 4B3DB 9776B B4}&e nd&ba se-pa th=ht tps:/ /goet heuni versi taet. share point .com/ sites /Proj ect4/ SiteA ssets /Proj ect%2 04%20 Noteb ook/M agnet ic%20 Flux% 20Noi se.on e>`__ |
4.7 |
0.39 |
407 |
||||
Cr osses |
2 T |
1 T |
9.4 |
1.56 |
107 |
||
4.7 |
0.78 |
214 |
|||||
500 mT |
-500 mT |
9.4 |
1.56 |
107 |
|||
` m328:
note: #m328 %20MF N_swe ep_0. 5T%20 to%20 -0.5T _4.7m T.min _Cros ses_0 .7812 5%20H z&sec tion- id={5 FAD05 18-E3 49-4A 07-93 E8-5D 105BD 4AEB4 }&pag e-id= {7046 08EA- B37C- 4082- A674- A0214 49075 35}&e nd&ba se-pa th=ht tps:/ /goet heuni versi taet. share point .com/ sites /Proj ect4/ SiteA ssets /Proj ect%2 04%20 Noteb ook/M agnet ic%20 Flux% 20Noi se.on e>`__ |
4.7 |
0.78 |
214 |
||||
1 T |
-1 T |
9.4 |
0.78 |
214 |
|||
4.7 |
0.39 |
407 |
|||||
500 mT |
-500 mT |
9.4 |
1.56 |
25 |
107 |
||
300 |
-300 |
2.8 |
0.78 |
25 |
214 |
||
750 |
-750 |
7 |
0.78 |
25 |
214 |
||
0.1 |
0.1 |
0.093 |
0.78 |
25 |
214 |
||
` m335:
note: #m335 %20MF N_swe ep_0. 5T%20 to%20 -0.5T _9.4m T.min _Empt y_1.5 Hz_re peate d%20t o%20c ompar e&sec tion- id={5 FAD05 18-E3 49-4A 07-93 E8-5D 105BD 4AEB4 }&pag e-id= {9B28 8ADD- F6A0- 43BB- 82B5- 2AB17 141AA 50}&e nd&ba se-pa th=ht tps:/ /goet heuni versi taet. share point .com/ sites /Proj ect4/ SiteA ssets /Proj ect%2 04%20 Noteb ook/M agnet ic%20 Flux% 20Noi se.on e>`__ |
#1 Empty |
500 mT |
-500 mT |
9.4 |
1.56 |
25 |
107 |
Pl usses |
500 mT |
-500 mT |
9.4 |
1.56 |
25 |
107 |
|
50 mT |
-50 mT |
0.934 |
1.56 |
25 |
107 |
||
` m338:
note: #m338 %20MF N_swe ep_0. 025T% 20to% 20-0. 025T_ 0.934 mT.mi n_Plu sses_ 1.5Hz _&sec tion- id={5 FAD05 18-E3 49-4A 07-93 E8-5D 105BD 4AEB4 }&pag e-id= {1675 6AA0- 797F- 46A5- 8256- 76748 34959 0D}&e nd&ba se-pa th=ht tps:/ /goet heuni versi taet. share point .com/ sites /Proj ect4/ SiteA ssets /Proj ect%2 04%20 Noteb ook/M agnet ic%20 Flux% 20Noi se.on e>`__ |
25 mT |
-25mT |
0.46 |
1.56 |
25 |
107 |
|
0 |
0.5 |
4.6 |
1.56 |
25 |
107 |
||
#1 Empty |
25 mT |
-25mT |
0.46 |
1.56 |
25 |
107 |
|
Pl usses |
5mT |
-5mT |
9 .3e-5 |
Evaluating Field Sweeps (m320 - m329)
- Date
Dienstag, 25. Juni 2019
19:51
Evaluating Field Sweeps (new)
- Date
Dienstag, 2. Juli 2019
08:25
Δ1T Sweeps
- Date
Dienstag, 2. Juli 2019
08:33
Low Fields Sweeps ( < .5 T)
- Date
Dienstag, 2. Juli 2019
08:41
Compare Fast SR (Empty/Crosses)
- Date
Donnerstag, 27. Juni 2019
14:00
2 → 1 T
- Date
Donnerstag, 27. Juni 2019
11:52
0.5 → -0.5 T
- Date
Donnerstag, 27. Juni 2019
11:53
1 → -1 T
- Date
Donnerstag, 27. Juni 2019
11:54
Evaluating Static Fields
- Date
Dienstag, 25. Juni 2019
20:01
m310: MFN_#1_0T_PM
- Date
Donnerstag, 13. Juni 2019
16:51
Angle of sensor θ |
+90 |
||||||||||||
|---|---|---|---|---|---|---|---|---|---|---|---|---|---|
Temp |
30 K |
||||||||||||
|
|||||||||||||
|
|||||||||||||
Resistance Box |
+——-+— —-+——-+——-+——-+——-+ | | | *1
image | MΩ
4492| |
| 4493| | | 4494| | |
+=======+=== ====+=======+=======+=======+=======+ | | | *1
image | MΩ
4495| |
| 4496| | | 4497| | |
+——-+— —-+——-+——-+——-+——-+ |
||||||||||||
+——+– —–+——-+——+——-+——-+ | Sens | 5
|
| image | | | |
|
| 4501| | | | |
+======+== =====+=======+======+=======+=======+ | τ | * 3 | * | AC | Gr | *N | | | m s | Input | | ound* | ormal | | |
|
| | | | erve* |
+——+– —–+——-+——+——-+——-+ |
|||||||||||||
Pre Amplifier (SR560) |
|
||||||||||||
Signal Analyzer (SR785) |
|
||||||||||||
Period of measurement (min) |
96 min |
||||||||||||
He (l) level consumption |
|||||||||||||
Data files |
<<m310_MFN_Empty_0T.dat>> |
||||||||||||
Plot |
|||||||||||||
m311: MFN_-0.572500T_down sweep_ Empty_over night wide ranging f-spans_
Dienstag, 11. Juni 2019
22:23
Angle of sensor θ |
+90 |
||||||||||||
|---|---|---|---|---|---|---|---|---|---|---|---|---|---|
Temp |
30 K |
||||||||||||
Empty #1 |
|||||||||||||
|
|||||||||||||
|
|||||||||||||
Resistance Box |
+——–+- ——-+——–+—+——–+——+ | |imag | *1 MΩ* | |imag | | |imag | | | e4575| |
+========+= =======+========+===+========+======+ | |imag | *1 MΩ* | |imag | | |imag | *10* | | e4578| |
+——–+- ——-+——–+—+——–+——+ |
||||||||||||
+——+– —–+——-+——+——-+——-+ | Sens | 5
|
| image | | | Hz* |
|
| 4584| | | | |
+======+== =====+=======+======+=======+=======+ | τ | * 3 | * | AC | Gr | *N | | | m s | Input | | ound* | ormal | | |
|
| | | | erve* |
+——+– —–+——-+——+——-+——-+ |
|||||||||||||
Pre Amplifier (SR560) |
|
||||||||||||
Signal Analyzer (SR785) |
|
||||||||||||
Period of measurement (min) |
507 min (8.4hr) overnight started at 19:24 |
||||||||||||
He (l) level consumption |
|||||||||||||
Data files |
<<m311_MFN_Empty_-0.572500T_down sweep_over_night.dat>> |
||||||||||||
Plot |
m312: MFN_250mT_up sweep_Empty
- Date
Freitag, 14. Juni 2019
15:00
Angle of sensor θ |
+90 |
||||||||||||
|---|---|---|---|---|---|---|---|---|---|---|---|---|---|
Temp |
30 K |
||||||||||||
Empty #1 |
|||||||||||||
|
|||||||||||||
|
|||||||||||||
Resistance Box |
+——–+- ——-+——–+—+——–+——+ | |imag | *1 MΩ* | |imag | | |imag | | | e4648| |
+========+= =======+========+===+========+======+ | |imag | *1 MΩ* | |imag | | |imag | *10* | | e4651| |
+——–+- ——-+——–+—+——–+——+ |
||||||||||||
+——+– —–+——-+——+——-+——-+ | Sens | 5
|
| image | | | Hz* |
|
| 4657| | | | |
+======+== =====+=======+======+=======+=======+ | τ | * 3 | * | AC | Gr | *N | | | m s | Input | | ound* | ormal | | |
|
| | | | erve* |
+——+– —–+——-+——+——-+——-+ |
|||||||||||||
Pre Amplifier (SR560) |
|
||||||||||||
Signal Analyzer (SR785) |
|
||||||||||||
Period of measurement (min) |
192 min (3:11 h) |
||||||||||||
He (l) level consumption |
|||||||||||||
Data files |
<<m312_MFN_Empty_0.25T_down sweep.dat>> <<m312_MFN_Empty_0.25T_SR785.dat>> |
||||||||||||
Plot |
m313: MFN_500mT_up sweep_Empty
- Date
Freitag, 14. Juni 2019
19:00
Angle of sensor θ |
+90 |
||||||||||||
|---|---|---|---|---|---|---|---|---|---|---|---|---|---|
Temp |
30 K |
||||||||||||
Empty #1 |
|||||||||||||
|
|||||||||||||
|
|||||||||||||
Resistance Box |
+——–+- ——-+——–+—+——–+——+ | |imag | *1 MΩ* | |imag | | |imag | | | e4721| |
+========+= =======+========+===+========+======+ | |imag | *1 MΩ* | |imag | | |imag | *10* | | e4724| |
+——–+- ——-+——–+—+——–+——+ |
||||||||||||
+——+– —–+——-+——+——-+——-+ | Sens | 5
|
| image | | | Hz* |
|
| 4730| | | | |
+======+== =====+=======+======+=======+=======+ | τ | * 3 | * | AC | Gr | *N | | | m s | Input | | ound* | ormal | | |
|
| | | | erve* |
+——+– —–+——-+——+——-+——-+ |
|||||||||||||
Pre Amplifier (SR560) |
|
||||||||||||
Signal Analyzer (SR785) |
|
||||||||||||
Period of measurement (min) |
192 min (3:11 h) |
||||||||||||
He (l) level consumption |
|||||||||||||
Data files |
<<m313_MFN_Empty_0.5T_SR830.dat>> <<m313_MFN_Empty_0.5T_SR785.dat>> |
||||||||||||
Plot |
m314: MFN_1.5T_up sweep_Empty
- Date
Freitag, 14. Juni 2019
22:47
Angle of sensor θ |
+90 |
||||||||||||
|---|---|---|---|---|---|---|---|---|---|---|---|---|---|
Temp |
30 K |
||||||||||||
Empty #1 |
|||||||||||||
|
|||||||||||||
|
|||||||||||||
Resistance Box |
+——–+- ——-+——–+—+——–+——+ | |imag | *1 MΩ* | |imag | | |imag | | | e4794| |
+========+= =======+========+===+========+======+ | |imag | *1 MΩ* | |imag | | |imag | *10* | | e4797| |
+——–+- ——-+——–+—+——–+——+ |
||||||||||||
+——+– —–+——-+——+——-+——-+ | Sens | 5
|
| image | | | Hz* |
|
| 4803| | | | |
+======+== =====+=======+======+=======+=======+ | τ | * 3 | * | AC | Gr | *N | | | m s | Input | | ound* | ormal | | |
|
| | | | erve* |
+——+– —–+——-+——+——-+——-+ new DAQ mode still not working fine. |
|||||||||||||
Pre Amplifier (SR560) |
|
||||||||||||
Signal Analyzer (SR785) |
|
||||||||||||
Period of measurement (min) |
448 min |
||||||||||||
He (l) level consumption |
|||||||||||||
Data files |
< <m314_MFN_Empty_1.5T_SR830_long.dat>> |
||||||||||||
Plot |
Filling He(l)
- Date
Samstag, 15. Juni 2019
10:47
Filling date |
15.06.2019 |
|---|---|
Before (in) |
28.23 |
After (in) |
36.22 |
consumption |
162-129=33 L |
Person |
MAM |
Notes:
‘To do:
m315: MFN_250mT_1.56 / 0.78 Hz_Crosses
- Date
Samstag, 15. Juni 2019
11:18
Angle of sensor θ |
+90 |
||||||||||||
|---|---|---|---|---|---|---|---|---|---|---|---|---|---|
Temp |
30 K |
||||||||||||
Crosses |
|||||||||||||
|
|||||||||||||
|
|||||||||||||
Resistance Box |
+——–+- ——-+——–+—+——–+——+ | |imag | *1 MΩ* | |imag | | |imag | | | e4867| |
+========+= =======+========+===+========+======+ | |imag | *1 MΩ* | |imag | | |imag | *10* | | e4870| |
+——–+- ——-+——–+—+——–+——+ |
||||||||||||
+——+– —–+——-+——+——-+——-+ | Sens | 5
|
| image | | | Hz* |
|
| 4876| | | | |
+======+== =====+=======+======+=======+=======+ | τ | * 3 | * | AC | Gr | *N | | | m s | Input | | ound* | ormal | | |
|
| | | | erve* |
+——+– —–+——-+——+——-+——-+ new DAQ mode still not working fine. |
|||||||||||||
Pre Amplifier (SR560) |
|
||||||||||||
Signal Analyzer (SR785) |
|
||||||||||||
Period of measurement (min) |
384 min (6,4 h) |
||||||||||||
He (l) level consumption |
|||||||||||||
Data files |
<<m3 15_MFN_Crosses_250mT_SR785_long.dat>> |
||||||||||||
Plot |
M316: MFN_500mT_1.56 / 0.78 Hz_Crosses
- Date
16 June 2019
10:28
Angle of sensor θ |
+90 |
||||||||||||
|---|---|---|---|---|---|---|---|---|---|---|---|---|---|
Temp |
30 K |
||||||||||||
Crosses |
|||||||||||||
|
|||||||||||||
|
|||||||||||||
Resistance Box |
+——–+- ——-+——–+—+——–+——+ | |imag | *1 MΩ* | |imag | | |imag | | | e4940| |
+========+= =======+========+===+========+======+ | |imag | *1 MΩ* | |imag | | |imag | *10* | | e4943| |
+——–+- ——-+——–+—+——–+——+ |
||||||||||||
+——+– —–+——-+——+——-+——-+ | Sens | 2
|
| image | | | Hz* |
|
| 4949| | | | |
+======+== =====+=======+======+=======+=======+ | τ | * 3 | * | AC | Gr | *N | | | m s | Input | | ound* | ormal | | |
|
| | | | erve* |
+——+– —–+——-+——+——-+——-+ new DAQ mode still not working fine. |
|||||||||||||
Pre Amplifier (SR560) |
|
||||||||||||
Signal Analyzer (SR785) |
|
||||||||||||
Period of measurement (min) |
384.2 min (6,4 h) started at 10:30 on Sunday |
||||||||||||
He (l) level consumption |
|||||||||||||
Data files |
<<m3 16_MFN_Crosses_500mT_SR785_long.dat>> |
||||||||||||
Plot |
m317: MFN_1.5T_1.56 / 0.78 Hz_Crosses
- Date
Sonntag, 16. Juni 2019
17:37
Angle of sensor θ |
+90 |
||||||||||||
|---|---|---|---|---|---|---|---|---|---|---|---|---|---|
Temp |
30 K |
||||||||||||
Crosses |
|||||||||||||
|
|||||||||||||
|
|||||||||||||
Resistance Box |
+——–+- ——-+——–+—+——–+——+ | |imag | *1 MΩ* | |imag | | |imag | | | e5013| |
+========+= =======+========+===+========+======+ | |imag | *1 MΩ* | |imag | | |imag | *10* | | e5016| |
+——–+- ——-+——–+—+——–+——+ |
||||||||||||
+——+– —–+——-+——+——-+——-+ | Sens | 2
|
| image | | | Hz* |
|
| 5022| | | | |
+======+== =====+=======+======+=======+=======+ | τ | * 3 | * | AC | Gr | *N | | | m s | Input | | ound* | ormal | | |
|
| | | | erve* |
+——+– —–+——-+——+——-+——-+ new DAQ mode still not working fine. |
|||||||||||||
Pre Amplifier (SR560) |
|
||||||||||||
Signal Analyzer (SR785) |
|
||||||||||||
Period of measurement (min) |
384 min (6,4 h) |
||||||||||||
He (l) level consumption |
<<m 317_MFN_Crosses_1.5T_SR785_long.dat>> |
||||||||||||
Data files |
|||||||||||||
Plot |
m318: MFN_2T_1.56 / 0.78 Hz_Crosses
- Date
Montag, 17. Juni 2019
00:26
Angle of sensor θ |
+90 |
||||||||||||
|---|---|---|---|---|---|---|---|---|---|---|---|---|---|
Temp |
30 K |
||||||||||||
Crosses |
|||||||||||||
|
|||||||||||||
|
|||||||||||||
Resistance Box |
+——–+- ——-+——–+—+——–+——+ | |imag | *1 MΩ* | |imag | | |imag | | | e5086| |
+========+= =======+========+===+========+======+ | |imag | *1 MΩ* | |imag | | |imag | *10* | | e5089| |
+——–+- ——-+——–+—+——–+——+ |
||||||||||||
+——+– —–+——-+——+——-+——-+ | Sens | 1 0 mV | | | 4 V | f | *113 | | |
|
| 5095| | | | |
+======+== =====+=======+======+=======+=======+ | τ | * 3 | * | AC | Gr | *N | | | m s | Input | | ound* | ormal | | |
|
| | | | erve* |
+——+– —–+——-+——+——-+——-+ new DAQ mode still not working fine. |
|||||||||||||
Pre Amplifier (SR560) |
|
||||||||||||
Signal Analyzer (SR785) |
|
||||||||||||
Period of measurement (min) |
384 min (6,4 h) |
||||||||||||
He (l) level consumption |
|||||||||||||
Data files |
<<m3 15_MFN_Crosses_250mT_SR785_long.dat>> |
||||||||||||
Plot |
m319: MFN_2T_3.125, 1.5625, 0.78 Hz_Empty
- Date
Montag, 17. Juni 2019
07:13
Angle of sensor θ |
+90 |
||||||||||||
|---|---|---|---|---|---|---|---|---|---|---|---|---|---|
Temp |
30 K |
||||||||||||
Empty #1 |
|||||||||||||
|
|||||||||||||
|
|||||||||||||
Resistance Box |
+——–+- ——-+——–+—+——–+——+ | |imag | *1 MΩ* | |imag | | |imag | | | e5159| |
+========+= =======+========+===+========+======+ | |imag | *1 MΩ* | |imag | | |imag | *10* | | e5162| |
+——–+- ——-+——–+—+——–+——+ |
||||||||||||
+——+– —–+——-+——+——-+——-+ | Sens | 5
|
| image | | | Hz* |
|
| 5168| | | | |
+======+== =====+=======+======+=======+=======+ | τ | * 3 | * | AC | Gr | *N | | | m s | Input | | ound* | ormal | | |
|
| | | | erve* |
+——+– —–+——-+——+——-+——-+ |
|||||||||||||
Pre Amplifier (SR560) |
|
||||||||||||
Signal Analyzer (SR785) |
|
||||||||||||
Period of measurement (min) |
384 min (6,4 h) started 7:15 am |
||||||||||||
He (l) level consumption |
|||||||||||||
Data files |
<<m319_MFN_Empty_2T_SR785_long.dat>> |
||||||||||||
Plot |
m320: MFN_sweep_2T-1T_ 9.4 mT/min_Empty 1.5625Hz
- Date
Montag, 17. Juni 2019
07:13
Angle of sensor θ |
+90 |
||||||||||||
|---|---|---|---|---|---|---|---|---|---|---|---|---|---|
Temp |
30 K |
||||||||||||
Empty #1 |
|||||||||||||
|
|||||||||||||
|
|||||||||||||
Resistance Box |
+——–+- ——-+——–+—+——–+——+ | |imag | *1 MΩ* | |imag | | |imag | | | e5232| |
+========+= =======+========+===+========+======+ | |imag | *1 MΩ* | |imag | | |imag | *10* | | e5235| |
+——–+- ——-+——–+—+——–+——+ |
||||||||||||
+——+– —–+——-+——+——-+——-+ | Sens | 1 0 mV | | | 4 V | f | *113 | | |
|
| 5241| | | | |
+======+== =====+=======+======+=======+=======+ | τ | * 3 | * | AC | Gr | *N | | | m s | Input | | ound* | ormal | | |
|
| | | | erve* |
+——+– —–+——-+——+——-+——-+ |
|||||||||||||
Pre Amplifier (SR560) |
|
||||||||||||
Signal Analyzer (SR785) |
|
||||||||||||
Period of measurement (min) |
106 min (1:46 h) |
||||||||||||
He (l) level consumption |
|||||||||||||
Data files |
<<m320_M FN_Empty_sweep_2T-1T_SR785_real.dat>> |
||||||||||||
Plot |
m321: MFN_sweep_2T-1T_4.7 mT/min_Empty_0.78Hz
- Date
Montag, 17. Juni 2019
16:24
Angle of sensor θ |
+90 |
||||||||||||
|---|---|---|---|---|---|---|---|---|---|---|---|---|---|
Temp |
30 K |
||||||||||||
Empty #1 |
|||||||||||||
|
|||||||||||||
|
|||||||||||||
Resistance Box |
+——–+- ——-+——–+—+——–+——+ | |imag | *1 MΩ* | |imag | | |imag | | | e5305| |
+========+= =======+========+===+========+======+ | |imag | *1 MΩ* | |imag | | |imag | *10* | | e5308| |
+——–+- ——-+——–+—+——–+——+ |
||||||||||||
+——+– —–+——-+——+——-+——-+ | Sens | 1 0 mV | | | 4 V | f | *113 | | |
|
| 5314| | | | |
+======+== =====+=======+======+=======+=======+ | τ | * 3 | * | AC | Gr | *N | | | m s | Input | | ound* | ormal | | |
|
| | | | erve* |
+——+– —–+——-+——+——-+——-+ |
|||||||||||||
Pre Amplifier (SR560) |
|
||||||||||||
Signal Analyzer (SR785) |
|
||||||||||||
Period of measurement (min) |
214 min (3:34 h) |
||||||||||||
He (l) level consumption |
|||||||||||||
Data files |
<<m321_M FN_Empty_sweep_2T-1T_SR785_real.dat>> |
||||||||||||
Plot |
m322: MFN_sweep_0.5T to-0.5T_9.4 mT/min Empty_1.5625Hz
- Date
Montag, 17. Juni 2019
19:39
Angle of sensor θ |
+90 |
||||||||||||
|---|---|---|---|---|---|---|---|---|---|---|---|---|---|
Temp |
30 K |
||||||||||||
Empty #1 |
|||||||||||||
|
|||||||||||||
|
|||||||||||||
Resistance Box |
+——–+- ——-+——–+—+——–+——+ | |imag | *1 MΩ* | |imag | | |imag | | | e5378| |
+========+= =======+========+===+========+======+ | |imag | *1 MΩ* | |imag | | |imag | *10* | | e5381| |
+——–+- ——-+——–+—+——–+——+ |
||||||||||||
+——+– —–+——-+——+——-+——-+ | Sens | 1 0 mV | | | 4 V | f | *113 | | |
|
| 5387| | | | |
+======+== =====+=======+======+=======+=======+ | τ | * 3 | * | AC | Gr | *N | | | m s | Input | | ound* | ormal | | |
|
| | | | erve* |
+——+– —–+——-+——+——-+——-+ |
|||||||||||||
Pre Amplifier (SR560) |
|
||||||||||||
Signal Analyzer (SR785) |
|
||||||||||||
Period of measurement (min) |
106 min (1:46 h) |
||||||||||||
He (l) level consumption |
|||||||||||||
Data files |
<<m322_MFN_Empty_ sweep_500mT_9.4mTmin_SR785_real.dat>> |
||||||||||||
Plot |
m322: MFN_sweep_0.5T to-0.5T_9.4 mT/min Empty_1.5625Hz
- Date
Montag, 17. Juni 2019
19:39
Angle of sensor θ |
+90 |
||||||||||||
|---|---|---|---|---|---|---|---|---|---|---|---|---|---|
Temp |
30 K |
||||||||||||
Empty #1 |
|||||||||||||
|
|||||||||||||
|
|||||||||||||
Resistance Box |
+——–+- ——-+——–+—+——–+——+ | |imag | *1 MΩ* | |imag | | |imag | | | e5451| |
+========+= =======+========+===+========+======+ | |imag | *1 MΩ* | |imag | | |imag | *10* | | e5454| |
+——–+- ——-+——–+—+——–+——+ |
||||||||||||
+——+– —–+——-+——+——-+——-+ | Sens | 1 0 mV | | | 4 V | f | *113 | | |
|
| 5460| | | | |
+======+== =====+=======+======+=======+=======+ | τ | * 3 | * | AC | Gr | *N | | | m s | Input | | ound* | ormal | | |
|
| | | | erve* |
+——+– —–+——-+——+——-+——-+ |
|||||||||||||
Pre Amplifier (SR560) |
|
||||||||||||
Signal Analyzer (SR785) |
|
||||||||||||
Period of measurement (min) |
106 min (1:46 h) |
||||||||||||
He (l) level consumption |
|||||||||||||
Data files |
<<m322_MFN_Empty_ sweep_500mT_9.4mTmin_SR785_real.dat>> |
||||||||||||
Plot |
m323: MFN_sweep_1T_9.4 mT/min_Empty_0.78Hz
- Date
Montag, 17. Juni 2019
21:34
Angle of sensor θ |
+90 |
||||||||||||
|---|---|---|---|---|---|---|---|---|---|---|---|---|---|
Temp |
30 K |
||||||||||||
Empty #1 |
|||||||||||||
|
|||||||||||||
|
|||||||||||||
Resistance Box |
+——–+- ——-+——–+—+——–+——+ | |imag | *1 MΩ* | |imag | | |imag | | | e5524| |
+========+= =======+========+===+========+======+ | |imag | *1 MΩ* | |imag | | |imag | *10* | | e5527| |
+——–+- ——-+——–+—+——–+——+ |
||||||||||||
+——+– —–+——-+——+——-+——-+ | Sens | 5
|
| image | | | Hz* |
|
| 5533| | | | |
+======+== =====+=======+======+=======+=======+ | τ | * 3 | * | AC | Gr | *N | | | m s | Input | | ound* | ormal | | |
|
| | | | erve* |
+——+– —–+——-+——+——-+——-+ |
|||||||||||||
Pre Amplifier (SR560) |
|
||||||||||||
Signal Analyzer (SR785) |
|
||||||||||||
Period of measurement (min) |
214 min (3:34 h) |
||||||||||||
He (l) level consumption |
|||||||||||||
Data files |
<<m323_MFN_Emp ty_sweep_1T_9.4mTmin_SR785_real.dat>> |
||||||||||||
Plot |
m324: MFN_sweep_-1T to 1T _4.7 mT/min_Empty_0.3906Hz
- Date
Dienstag, 18. Juni 2019
01:15
Angle of sensor θ |
+90 |
||||||||||||
|---|---|---|---|---|---|---|---|---|---|---|---|---|---|
Temp |
30 K |
||||||||||||
Empty #1 |
|||||||||||||
|
|||||||||||||
|
|||||||||||||
Resistance Box |
+——–+- ——-+——–+—+——–+——+ | |imag | *1 MΩ* | |imag | | |imag | | | e5597| |
+========+= =======+========+===+========+======+ | |imag | *1 MΩ* | |imag | | |imag | *10* | | e5600| |
+——–+- ——-+——–+—+——–+——+ |
||||||||||||
+——+– —–+——-+——+——-+——-+ | Sens | 5
|
| image | | | Hz* |
|
| 5606| | | | |
+======+== =====+=======+======+=======+=======+ | τ | * 3 | * | AC | Gr | *N | | | m s | Input | | ound* | ormal | | |
|
| | | | erve* |
+——+– —–+——-+——+——-+——-+ |
|||||||||||||
Pre Amplifier (SR560) |
|
||||||||||||
Signal Analyzer (SR785) |
|
||||||||||||
Period of measurement (min) |
407 min |
||||||||||||
He (l) level consumption |
|||||||||||||
Data files |
<<m324_MFN_Emp ty_sweep_1T_4.7mTmin_SR785_real.dat>> |
||||||||||||
Plot |
m325: MFN_sweep_2T to 1T_4.7mT.min_Crosses_1.56 Hz
- Date
Dienstag, 18. Juni 2019
09:59
Angle of sensor θ |
+90 |
||||||||||||
|---|---|---|---|---|---|---|---|---|---|---|---|---|---|
Temp |
30 K |
||||||||||||
Crosses 2-12 |
|||||||||||||
|
|||||||||||||
|
|||||||||||||
Resistance Box |
+——–+- ——-+——–+—+——–+——+ | |imag | *1 MΩ* | |imag | | |imag | | | e5670| |
+========+= =======+========+===+========+======+ | |imag | *1 MΩ* | |imag | | |imag | *10* | | e5673| |
+——–+- ——-+——–+—+——–+——+ |
||||||||||||
+——+– —–+——-+——+——-+——-+ | Sens | 5
|
| image | | | Hz* |
|
| 5679| | | | |
+======+== =====+=======+======+=======+=======+ | τ | * 3 | * | AC | Gr | *N | | | m s | Input | | ound* | ormal | | |
|
| | | | erve* |
+——+– —–+——-+——+——-+——-+ |
|||||||||||||
Pre Amplifier (SR560) |
|
||||||||||||
Signal Analyzer (SR785) |
|
||||||||||||
Period of measurement (min) |
106.7 min |
||||||||||||
He (l) level consumption |
|||||||||||||
Data files |
<<m325_MFN_Crosses_sweep_2T to 1T_9.4mTmin_SR785___.dat>> |
||||||||||||
Plot |
m326: MFN_sweep_2T to 1T_4.7mT.min_Crosses_0.78 Hz
- Date
Dienstag, 18. Juni 2019
14:40
Angle of sensor θ |
+90 |
||||||||||||
|---|---|---|---|---|---|---|---|---|---|---|---|---|---|
Temp |
30 K |
||||||||||||
Crosses (2-12) |
|||||||||||||
|
|||||||||||||
|
|||||||||||||
Resistance Box |
+——–+- ——-+——–+—+——–+——+ | |imag | *1 MΩ* | |imag | | |imag | | | e5743| |
+========+= =======+========+===+========+======+ | |imag | *1 MΩ* | |imag | | |imag | *10* | | e5746| |
+——–+- ——-+——–+—+——–+——+ |
||||||||||||
+——+– —–+——-+——+——-+——-+ | Sens | 5
|
| image | | | Hz* |
|
| 5752| | | | |
+======+== =====+=======+======+=======+=======+ | τ | * 3 | * | AC | Gr | *N | | | m s | Input | | ound* | ormal | | |
|
| | | | erve* |
+——+– —–+——-+——+——-+——-+ |
|||||||||||||
Pre Amplifier (SR560) |
|
||||||||||||
Signal Analyzer (SR785) |
|
||||||||||||
Period of measurement (min) |
214 min |
||||||||||||
He (l) level consumption |
|||||||||||||
Data files |
<<m326_MFN_Crosses_sweep_2T to 1T_4.7mTmin_SR785___.dat>> |
||||||||||||
Plot |
https://mems-news.mems-exchange.narkive.com/yWEVvHnN/damaging-of-boats-during-nickel-evaporation
Filling He(l)
- Date
Mittwoch, 19. Juni 2019
08:30
Filling date |
19.06.2019 |
|---|---|
Before (in) |
25.23 |
After (in) |
36.22 |
consumption |
180-136=44 L |
Person |
MAM |
Notes:
‘To do:
m327: MFN_sweep_0.5T to -0.5T_9.4mT.min_Crosses_1.56 Hz
- Date
Mittwoch, 19. Juni 2019
09:21
Angle of sensor θ |
+90 |
||||||||||||
|---|---|---|---|---|---|---|---|---|---|---|---|---|---|
Temp |
30 K |
||||||||||||
Crosses (2-12) |
|||||||||||||
|
|||||||||||||
|
|||||||||||||
Resistance Box |
+——–+- ——-+——–+—+——–+——+ | |imag | *1 MΩ* | |imag | | |imag | | | e5816| |
+========+= =======+========+===+========+======+ | |imag | *1 MΩ* | |imag | | |imag | *10* | | e5819| |
+——–+- ——-+——–+—+——–+——+ |
||||||||||||
+——+– —–+——-+——+——-+——-+ | Sens | 5
|
| image | | | Hz* |
|
| 5825| | | | |
+======+== =====+=======+======+=======+=======+ | τ | * 3 | * | AC | Gr | *N | | | m s | Input | | ound* | ormal | | |
|
| | | | erve* |
+——+– —–+——-+——+——-+——-+ |
|||||||||||||
Pre Amplifier (SR560) |
|
||||||||||||
Signal Analyzer (SR785) |
|
||||||||||||
Period of measurement (min) |
106 min |
||||||||||||
He (l) level consumption |
|||||||||||||
Data files |
<<m327_MFN_Crosses_sweep_0.5T to -0.5T_9.4mTmin_SR785___.dat>> <<m327_MFN_Crosses_sweep_0.5T to -0.5T_9.4mTmin_SR785___.dat>> |
||||||||||||
Plot |
m328: MFN_sweep_0.5T to -0.5T_4.7mT.min_Crosses_0.78125 Hz
- Date
Mittwoch, 19. Juni 2019
11:20
Angle of sensor θ |
+90 |
||||||||||||
|---|---|---|---|---|---|---|---|---|---|---|---|---|---|
Temp |
30 K |
||||||||||||
Crosses (2-12) |
|||||||||||||
|
|||||||||||||
|
|||||||||||||
Resistance Box |
+——–+- ——-+——–+—+——–+——+ | |imag | *1 MΩ* | |imag | | |imag | | | e5889| |
+========+= =======+========+===+========+======+ | |imag | *1 MΩ* | |imag | | |imag | *10* | | e5892| |
+——–+- ——-+——–+—+——–+——+ |
||||||||||||
+——+– —–+——-+——+——-+——-+ | Sens | 5
|
| image | | | Hz* |
|
| 5898| | | | |
+======+== =====+=======+======+=======+=======+ | τ | * 3 | * | AC | Gr | *N | | | m s | Input | | ound* | ormal | | |
|
| | | | erve* |
+——+– —–+——-+——+——-+——-+ |
|||||||||||||
Pre Amplifier (SR560) |
|
||||||||||||
Signal Analyzer (SR785) |
|
||||||||||||
Period of measurement (min) |
213 min |
||||||||||||
He (l) level consumption |
|||||||||||||
Data files |
<<m328_MFN_Crosses_sweep_0.5T to -0.5T_4.7mTmin_SR785___.dat>> |
||||||||||||
Plot |
Filling He(l)
- Date
Freitag, 21. Juni 2019
17:02
Filling date |
21.06.2019 |
|---|---|
Before (in) |
30.2 |
After (in) |
36.22 |
consumption |
180-136=44 L |
Person |
MAM |
Notes:
‘To do:
Filling He(l)
- Date
Dienstag, 25. Juni 2019
17:29
Filling date |
25.06.2019 |
|---|---|
Before (in) |
24 |
After (in) |
36.22 |
consumption |
180-136=44 L |
Person |
MAM |
Notes:
‘To do:
Filling He(l)
- Date
Freitag, 28. Juni 2019
16:23
Filling date |
28.06.2019 |
|---|---|
Before (in) |
29 |
After (in) |
|
consumption |
180-136=44 L |
Person |
MAM |
Notes:
‘To do:
m329: MFN_sweep_1T to -1T_9.4mT.min_Crosses_0.78 Hz
- Date
Samstag, 29. Juni 2019
11:45
Angle of sensor θ |
+90 |
||||||||||||
|---|---|---|---|---|---|---|---|---|---|---|---|---|---|
Temp |
30 K |
||||||||||||
Crosses (2-12) |
|||||||||||||
|
|||||||||||||
|
|||||||||||||
Resistance Box |
+——–+- ——-+——–+—+——–+——+ | |imag | *1 MΩ* | |imag | | |imag | | | e5962| |
+========+= =======+========+===+========+======+ | |imag | *1 MΩ* | |imag | | |imag | *10* | | e5965| |
+——–+- ——-+——–+—+——–+——+ |
||||||||||||
+——+– —–+——-+——+——-+——-+ | Sens | 2
|
| image | | | Hz* |
|
| 5971| | | | |
+======+== =====+=======+======+=======+=======+ | τ | * 3 | * | AC | Gr | *N | | | m s | Input | | ound* | ormal | | |
|
| | | | erve* |
+——+– —–+——-+——+——-+——-+ |
|||||||||||||
Pre Amplifier (SR560) |
|
||||||||||||
Signal Analyzer (SR785) |
|
||||||||||||
Period of measurement (min) |
213min |
||||||||||||
He (l) level consumption |
|||||||||||||
Data files |
<<m329_MFN_Crosses_sweep_1T to -1T_9.4mTmin_SR785_0.79Hz___after fixing EVE.dat>> |
||||||||||||
Plot |
Introducing the decoupler
- Date
Thursday, 4. July 2019
19:34
Changing Cables
- Date
28 June 2019
14:00
Signal Analyzer has changed the GPIB Cable.
m330: MFN_sweep_1T to -1T_4.9mT.min_Crosses_0.39 Hz
- Date
Sonntag, 30. Juni 2019
01:30
Angle of sensor θ |
+90 |
||||||||||||
|---|---|---|---|---|---|---|---|---|---|---|---|---|---|
Temp |
30 K |
||||||||||||
Crosses (2-12) |
|||||||||||||
|
|||||||||||||
|
|||||||||||||
Resistance Box |
+——–+- ——-+——–+—+——–+——+ | |imag | *1 MΩ* | |imag | | |imag | | | e6036| |
+========+= =======+========+===+========+======+ | |imag | *1 MΩ* | |imag | | |imag | *10* | | e6039| |
+——–+- ——-+——–+—+——–+——+ |
||||||||||||
+——+– —–+——-+——+——-+——-+ | Sens | 2
|
| image | | | Hz* |
|
| 6045| | | | |
+======+== =====+=======+======+=======+=======+ | τ | * 3 | * | AC | Gr | *N | | | m s | Input | | ound* | ormal | | |
|
| | | | erve* |
+——+– —–+——-+——+——-+——-+ |
|||||||||||||
Pre Amplifier (SR560) |
|
||||||||||||
Signal Analyzer (SR785) |
|
||||||||||||
Period of measurement (min) |
213min |
||||||||||||
He (l) level consumption |
|||||||||||||
Data files |
<<m330_MFN_Crosses_sweep_1T to -1T_4.9mTmin_SR785_0.39Hz__.dat>> |
||||||||||||
Plot |
m331: MFN_sweep_0.5T to -0.5T_9.4mT.min_Crosses_1.5Hz_repeated to compare
Sonntag, 30. Juni 2019
09:35
Angle of sensor θ |
+90 |
||||||||||||
|---|---|---|---|---|---|---|---|---|---|---|---|---|---|
Temp |
30 K |
||||||||||||
Crosses (2-12) |
|||||||||||||
|
|||||||||||||
|
|||||||||||||
Resistance Box |
+——–+- ——-+——–+—+——–+——+ | |imag | *1 MΩ* | |imag | | |imag | | | e6109| |
+========+= =======+========+===+========+======+ | |imag | *1 MΩ* | |imag | | |imag | *10* | | e6112| |
+——–+- ——-+——–+—+——–+——+ |
||||||||||||
+——+– —–+——-+——+——-+——-+ | Sens | 2
|
| image | | | Hz* |
|
| 6118| | | | |
+======+== =====+=======+======+=======+=======+ | τ | * 3 | * | AC | Gr | *N | | | m s | Input | | ound* | ormal | | |
|
| | | | erve* |
+——+– —–+——-+——+——-+——-+ |
|||||||||||||
Pre Amplifier (SR560) |
|
||||||||||||
Signal Analyzer (SR785) |
|
||||||||||||
Period of measurement (min) |
106min |
||||||||||||
He (l) level consumption |
|||||||||||||
Data files |
<<m331_MFN_Crosses_sweep_0.5T to -0.5T_9.4mTmin_SR785_1.5Hz__.dat>> |
||||||||||||
Plot |
m332: MFN_sweep_0.3T to -0.3T_2.8mT.min_Crosses_0.78Hz
- Date
Sonntag, 30. Juni 2019
12:34
Angle of sensor θ |
+90 |
||||||||||||
|---|---|---|---|---|---|---|---|---|---|---|---|---|---|
Temp |
30 K |
||||||||||||
Crosses (2-12) |
|||||||||||||
|
|||||||||||||
|
|||||||||||||
Resistance Box |
+——–+- ——-+——–+—+——–+——+ | |imag | *1 MΩ* | |imag | | |imag | | | e6182| |
+========+= =======+========+===+========+======+ | |imag | *1 MΩ* | |imag | | |imag | *10* | | e6185| |
+——–+- ——-+——–+—+——–+——+ |
||||||||||||
+——+– —–+——-+——+——-+——-+ | Sens | 2
|
| image | | | Hz* |
|
| 6191| | | | |
+======+== =====+=======+======+=======+=======+ | τ | * 3 | * | AC | Gr | *N | | | m s | Input | | ound* | ormal | | |
|
| | | | erve* |
+——+– —–+——-+——+——-+——-+ |
|||||||||||||
Pre Amplifier (SR560) |
|
||||||||||||
Signal Analyzer (SR785) |
|
||||||||||||
Period of measurement (min) |
106min |
||||||||||||
He (l) level consumption |
|||||||||||||
Data files |
<<m332_MFN_Crosses_sweep_0.3T to -0.3T_2.8mTmin_SR785_0.78Hz____.dat>> |
||||||||||||
Plot |
m333: MFN_sweep_0.75T to -0.75T_2.8mT.min_Crosses_0.78Hz
- Date
Sonntag, 30. Juni 2019
16:21
Angle of sensor θ |
+90 |
||||||||||||
|---|---|---|---|---|---|---|---|---|---|---|---|---|---|
Temp |
30 K |
||||||||||||
Crosses (2-12) |
|||||||||||||
|
|||||||||||||
|
|||||||||||||
Resistance Box |
+——–+- ——-+——–+—+——–+——+ | |imag | *1 MΩ* | |imag | | |imag | | | e6255| |
+========+= =======+========+===+========+======+ | |imag | *1 MΩ* | |imag | | |imag | *10* | | e6258| |
+——–+- ——-+——–+—+——–+——+ |
||||||||||||
+——+– —–+——-+——+——-+——-+ | Sens | 2
|
| image | | | Hz* |
|
| 6264| | | | |
+======+== =====+=======+======+=======+=======+ | τ | * 3 | * | AC | Gr | *N | | | m s | Input | | ound* | ormal | | |
|
| | | | erve* |
+——+– —–+——-+——+——-+——-+ |
|||||||||||||
Pre Amplifier (SR560) |
|
||||||||||||
Signal Analyzer (SR785) |
|
||||||||||||
Period of measurement (min) |
214min |
||||||||||||
He (l) level consumption |
|||||||||||||
Data files |
<<m333_MFN_Crosses_sweep_0.75T to -0.75T_7mTmin_SR785_0.78Hz____.dat>> |
||||||||||||
Plot |
m334: MFN_sweep_0.1T to -0.1T_0.093mT.min_Crosses_0.78Hz
- Date
Sonntag, 30. Juni 2019
19:57
Angle of sensor θ |
+90 |
||||||||||||
|---|---|---|---|---|---|---|---|---|---|---|---|---|---|
Temp |
30 K |
||||||||||||
Crosses (2-12) |
|||||||||||||
|
|||||||||||||
|
|||||||||||||
Resistance Box |
+——–+- ——-+——–+—+——–+——+ | |imag | *1 MΩ* | |imag | | |imag | | | e6328| |
+========+= =======+========+===+========+======+ | |imag | *1 MΩ* | |imag | | |imag | *10* | | e6331| |
+——–+- ——-+——–+—+——–+——+ |
||||||||||||
+——+– —–+——-+——+——-+——-+ | Sens | 2
|
| image | | | Hz* |
|
| 6337| | | | |
+======+== =====+=======+======+=======+=======+ | τ | * 3 | * | AC | Gr | *N | | | m s | Input | | ound* | ormal | | |
|
| | | | erve* |
+——+– —–+——-+——+——-+——-+ |
|||||||||||||
Pre Amplifier (SR560) |
|
||||||||||||
Signal Analyzer (SR785) |
|
||||||||||||
Period of measurement (min) |
214min |
||||||||||||
He (l) level consumption |
|||||||||||||
Data files |
<<m334_MFN_Crosses_sweep_0.1T to -0 .1T_0.093mTmin_SR785_0.78Hz____.dat>> |
||||||||||||
Plot |
m335: MFN_sweep_0.5T to -0.5T_9.4mT.min_Empty_1.5Hz_
- Date
Montag, 1. Juli 2019
06:30
Angle of sensor θ |
+90 |
||||||||||||
|---|---|---|---|---|---|---|---|---|---|---|---|---|---|
Temp |
30 K |
||||||||||||
empty(6-8) |
|||||||||||||
|
|||||||||||||
|
|||||||||||||
Resistance Box |
+——–+- ——-+——–+—+——–+——+ | |imag | *1 MΩ* | |imag | | |imag | | | e6401| |
+========+= =======+========+===+========+======+ | |imag | *1 MΩ* | |imag | | |imag | *10* | | e6404| |
+——–+- ——-+——–+—+——–+——+ |
||||||||||||
+——+– —–+——-+——+——-+——-+ | Sens | 5
|
| image | | | Hz* |
|
| 6410| | | | |
+======+== =====+=======+======+=======+=======+ | τ | * 3 | * | AC | Gr | *N | | | m s | Input | | ound* | ormal | | |
|
| | | | erve* |
+——+– —–+——-+——+——-+——-+ |
|||||||||||||
Pre Amplifier (SR560) |
|
||||||||||||
Signal Analyzer (SR785) |
|
||||||||||||
Period of measurement (min) |
106min |
||||||||||||
He (l) level consumption |
|||||||||||||
Data files |
<<m335_MFN_Empty_sweep_0.5T to -0.5T_9.4mTmin_SR785_1.5Hz__.dat>> |
||||||||||||
Plot |
m336: MFN_sweep_0.5T to -0.5T_9.4mT.min_Plusses_1.5Hz_
- Date
01 July 2019
08:30
Angle of sensor θ |
+90 |
||||||||||||
|---|---|---|---|---|---|---|---|---|---|---|---|---|---|
Temp |
30 K |
||||||||||||
Plusses(1-13) |
|||||||||||||
|
|||||||||||||
|
|||||||||||||
Resistance Box |
+——–+- ——-+——–+—+——–+——+ | |imag | *1 MΩ* | |imag | | |imag | | | e6474| |
+========+= =======+========+===+========+======+ | |imag | *1 MΩ* | |imag | | |imag | *10* | | e6477| |
+——–+- ——-+——–+—+——–+——+ |
||||||||||||
+——+– —–+——-+——+——-+——-+ | Sens | 5
|
| image | | | Hz* |
|
| 6483| | | | |
+======+== =====+=======+======+=======+=======+ | τ | * 3 | * | AC | Gr | *N | | | m s | Input | | ound* | ormal | | |
|
| | | | erve* |
+——+– —–+——-+——+——-+——-+ |
|||||||||||||
Pre Amplifier (SR560) |
|
||||||||||||
Signal Analyzer (SR785) |
|
||||||||||||
Period of measurement (min) |
106min |
||||||||||||
He (l) level consumption |
|||||||||||||
Data files |
<<m336_MFN_Plusses_sweep_0.5T to -0.5T_9.4mTmin_SR785_1.5Hz__.dat>> |
||||||||||||
Plot |
m337: MFN_sweep_0.05T to -0.05T_0.934mT.min_Plusses_1.5Hz_
- Date
Montag, 1. Juli 2019
10:46
Angle of sensor θ |
+90 |
||||||||||||
|---|---|---|---|---|---|---|---|---|---|---|---|---|---|
Temp |
30 K |
||||||||||||
Plusses(1-13) |
|||||||||||||
|
|||||||||||||
|
|||||||||||||
Resistance Box |
+——–+- ——-+——–+—+——–+——+ | |imag | *1 MΩ* | |imag | | |imag | | | e6547| |
+========+= =======+========+===+========+======+ | |imag | *1 MΩ* | |imag | | |imag | *10* | | e6550| |
+——–+- ——-+——–+—+——–+——+ |
||||||||||||
+——+– —–+——-+——+——-+——-+ | Sens | 5
|
| image | | | Hz* |
|
| 6556| | | | |
+======+== =====+=======+======+=======+=======+ | τ | * 3 | * | AC | Gr | *N | | | m s | Input | | ound* | ormal | | |
|
| | | | erve* |
+——+– —–+——-+——+——-+——-+ |
|||||||||||||
Pre Amplifier (SR560) |
|
||||||||||||
Signal Analyzer (SR785) |
|
||||||||||||
Period of measurement (min) |
106min |
||||||||||||
He (l) level consumption |
|||||||||||||
Data files |
|||||||||||||
Plot |
<<m337_MFN_Plusses_sweep_0.05T to -0.05T_0.934mTmin_SR785_1.5Hz__.dat>>
m338: MFN_sweep_0.025T to -0.025T_0.934mT.min_Plusses_1.5Hz_
- Date
Montag, 1. Juli 2019
13:09
Angle of sensor θ |
+90 |
||||||||||||
|---|---|---|---|---|---|---|---|---|---|---|---|---|---|
Temp |
30 K |
||||||||||||
Plusses(1-13) |
|||||||||||||
|
|||||||||||||
|
|||||||||||||
Resistance Box |
+——–+- ——-+——–+—+——–+——+ | |imag | *1 MΩ* | |imag | | |imag | | | e6620| |
+========+= =======+========+===+========+======+ | |imag | *1 MΩ* | |imag | | |imag | *10* | | e6623| |
+——–+- ——-+——–+—+——–+——+ |
||||||||||||
+——+– —–+——-+——+——-+——-+ | Sens | 5
|
| image | | | Hz* |
|
| 6629| | | | |
+======+== =====+=======+======+=======+=======+ | τ | * 3 | * | AC | Gr | *N | | | m s | Input | | ound* | ormal | | |
|
| | | | erve* |
+——+– —–+——-+——+——-+——-+ |
|||||||||||||
Pre Amplifier (SR560) |
|
||||||||||||
Signal Analyzer (SR785) |
|
||||||||||||
Period of measurement (min) |
106min |
||||||||||||
He (l) level consumption |
|||||||||||||
Data files |
<<m338_MFN_Plusses_sweep_0.025T to -0.025T_0.46mTmin_SR785_1.5Hz__.dat>> |
||||||||||||
Plot |
m339: MFN_sweep_0T to -0.5T_4.6mT.min_Plusses_1.5Hz_
- Date
Montag, 1. Juli 2019
15:02
Angle of sensor θ |
+90 |
||||||||||||
|---|---|---|---|---|---|---|---|---|---|---|---|---|---|
Temp |
30 K |
||||||||||||
Plusses(1-13) |
|||||||||||||
|
|||||||||||||
|
|||||||||||||
Resistance Box |
+——–+- ——-+——–+—+——–+——+ | |imag | *1 MΩ* | |imag | | |imag | | | e6693| |
+========+= =======+========+===+========+======+ | |imag | *1 MΩ* | |imag | | |imag | *10* | | e6696| |
+——–+- ——-+——–+—+——–+——+ |
||||||||||||
+——+– —–+——-+——+——-+——-+ | Sens | 5
|
| image | | | Hz* |
|
| 6702| | | | |
+======+== =====+=======+======+=======+=======+ | τ | * 3 | * | AC | Gr | *N | | | m s | Input | | ound* | ormal | | |
|
| | | | erve* |
+——+– —–+——-+——+——-+——-+ |
|||||||||||||
Pre Amplifier (SR560) |
|
||||||||||||
Signal Analyzer (SR785) |
|
||||||||||||
Period of measurement (min) |
106min |
||||||||||||
He (l) level consumption |
|||||||||||||
Data files |
<<m339_MFN_Plusses_sweep_0.5T to 0T_4.6mTmin_SR785_1.5Hz__.dat>> |
||||||||||||
Plot |
m340: MFN_sweep_0.025T to -0.025T_mT.min_Empty_1.5Hz_
- Date
01 July 2019
16:56
Angle of sensor θ |
+90 |
||||||||||||
|---|---|---|---|---|---|---|---|---|---|---|---|---|---|
Temp |
30 K |
||||||||||||
empty(6-8) |
|||||||||||||
|
|||||||||||||
|
|||||||||||||
Resistance Box |
+——–+- ——-+——–+—+——–+——+ | |imag | *1 MΩ* | |imag | | |imag | | | e6766| |
+========+= =======+========+===+========+======+ | |imag | *1 MΩ* | |imag | | |imag | *10* | | e6769| |
+——–+- ——-+——–+—+——–+——+ |
||||||||||||
+——+– —–+——-+——+——-+——-+ | Sens | 5
|
| image | | | Hz* |
|
| 6775| | | | |
+======+== =====+=======+======+=======+=======+ | τ | * 3 | * | AC | Gr | *N | | | m s | Input | | ound* | ormal | | |
|
| | | | erve* |
+——+– —–+——-+——+——-+——-+ |
|||||||||||||
Pre Amplifier (SR560) |
|
||||||||||||
Signal Analyzer (SR785) |
|
||||||||||||
Period of measurement (min) |
106min |
||||||||||||
He (l) level consumption |
|||||||||||||
Data files |
<<m340_MFN_Empty_sweep_0.025T to -0.025T_0.46mTmin_SR785_1.5Hz__.dat>> |
||||||||||||
Plot |
m341: MFN_sweep_0.005T to -0.005T_mT.min_Plusses_1.5Hz_
- Date
Dienstag, 2. Juli 2019
16:27
Angle of sensor θ |
+90 |
||||||||||||
|---|---|---|---|---|---|---|---|---|---|---|---|---|---|
Temp |
30 K |
||||||||||||
Plusses (1-13) |
|||||||||||||
|
|||||||||||||
|
|||||||||||||
Resistance Box |
+——–+- ——-+——–+—+——–+——+ | |imag | *1 MΩ* | |imag | | |imag | | | e6839| |
+========+= =======+========+===+========+======+ | |imag | *1 MΩ* | |imag | | |imag | *10* | | e6842| |
+——–+- ——-+——–+—+——–+——+ |
||||||||||||
+——+– —–+——-+——+——-+——-+ | Sens | 5
|
| image | | | Hz* |
|
| 6848| | | | |
+======+== =====+=======+======+=======+=======+ | τ | * 3 | * | AC | Gr | *N | | | m s | Input | | ound* | ormal | | |
|
| | | | erve* |
+——+– —–+——-+——+——-+——-+ |
|||||||||||||
Pre Amplifier (SR560) |
|
||||||||||||
Signal Analyzer (SR785) |
|
||||||||||||
Period of measurement (min) |
106min |
||||||||||||
He (l) level consumption |
|||||||||||||
Data files |
<<m341_MFN_Plusses_sweep_5mT to -5mT_0.093mTmin_SR785_1.5Hz_.dat>> |
||||||||||||
Plot |
Filling He(l)
- Date
Dienstag, 2. Juli 2019
16:17
Filling date |
02.07.2019 |
|---|---|
Before (in) |
20 |
After (in) |
|
consumption |
149-123=26 L |
Person |
MAM_JP |
Notes:
‘To do:
Meeting Notes
- Date
Thursday, 4. July 2019
19:32
<<Lab-Book-3.pdf>>
Measurement Plan #3_magnetic field effect
- Date
02 June 2019
17:30
Field Sweeps (ΔB = T)
Nr |
St ruct |
Field From* |
Field To* |
Hlo op_br anch |
SR [mT/ min] |
F- Span |
V in(V) /sens (mV)/ gain |
Avg |
Time [min, Hr] |
Date* |
|---|---|---|---|---|---|---|---|---|---|---|
` m342:
note: #m342 %20MF N_Plu sses_ sweep %20af ter%2 0+%20 satur ation %20at %201T _0.00 5T%20 to%20 -0.00 5T_mT .min_ 1.5,% 200.7 8Hz_5 V&sec tion- id={5 FAD05 18-E3 49-4A 07-93 E8-5D 105BD 4AEB4 }&pag e-id= {0664 508E- 5C60- 4D50- 9F2A- 99136 D158C E7}&e nd&ba se-pa th=ht tps:/ /goet heuni versi taet. share point .com/ sites /Proj ect4/ SiteA ssets /Proj ect%2 04%20 Noteb ook/M agnet ic%20 Flux% 20Noi se.on e>`__ |
Pl usses |
25 mT |
-25 mT |
+Satu rated |
0.11 |
1. 5/0.7 |
5 /5/20 |
35 |
44 8_7.4 |
02.07 .2019 |
` m343:
note: #m343 %20MF N_Plu sses_ sweep %20af ter%2 0-%20 satur ation %20at %201T _0.00 5T%20 to%20 -0.00 5T_mT .min_ 1.5,% 200.7 8Hz_5 V&sec tion- id={5 FAD05 18-E3 49-4A 07-93 E8-5D 105BD 4AEB4 }&pag e-id= {9D1A 8DBE- 486A- 444C- 9890- 8A4FB 60E50 D2}&e nd&ba se-pa th=ht tps:/ /goet heuni versi taet. share point .com/ sites /Proj ect4/ SiteA ssets /Proj ect%2 04%20 Noteb ook/M agnet ic%20 Flux% 20Noi se.on e>`__ |
Pl usses |
-25 mT |
25 mT |
-Satu rated |
0.11 |
1. 5/0.7 |
5 /5/20 |
35 |
44 8_7.4 |
03.07 .2019 |
Pl usses |
-443 mT |
-611 mT |
+Satu rated |
2.352 |
1. 5/0.7 |
5 /5/20 |
35 |
44 8_7.4 |
03.07 .2019 |
|
Pl usses |
-291 mT* |
-443 mT |
+Satu rated |
0.5 |
1. 5/0.7 |
5 /5/20 |
24 |
303_5 |
03.07 .2019 |
|
Pl usses |
36 .56mT |
-2 91.13 mT |
+Satu rated |
0.5 |
1. 5/0.7 |
5 /5/20 |
51 |
655 _10.9 |
04.07 .2019 |
|
` m347:
note: #m347 %20MF N_Plu sses_ sweep %20af ter_s atura tion% 20at% 20-1T _%20- 0.036 56%20 T%20t o%200 .2913 %20T_ 0.5mT .min_ 1.5%2 0Hz_5 V_ave rages %2015 3&sec tion- id={5 FAD05 18-E3 49-4A 07-93 E8-5D 105BD 4AEB4 }&pag e-id= {16C4 D18A- 3947- 458C- ADD2- F4CBD 33558 63}&e nd&ba se-pa th=ht tps:/ /goet heuni versi taet. share point .com/ sites /Proj ect4/ SiteA ssets /Proj ect%2 04%20 Noteb ook/M agnet ic%20 Flux% 20Noi se.on e>`__ |
Pl usses |
-36 .56mT |
-2 91.13 mT |
-Satu rated |
0.5 |
1.5 |
5 /5/20 |
153 |
652 _10.9 |
04.0 7.201 9_Thu rsday night |
Empty |
36 .56mT |
-2 91.13 mT |
-Satu rated |
0.5 |
1.5 |
5 /5/20 |
153 |
652 _10.9 |
05 .07.2 019_F riday |
|
Empty |
-25 mT |
+25 mT |
-Satu rated |
0.5 |
1.5 |
5 /5/20 |
24 |
100 |
06. 07.20 19_mi dnigh t_Sat urday |
|
Pl usses |
-25 mT |
+25 mT |
-Satu rated |
0.5 |
1.5 |
5 /5/20 |
24 |
100 |
06.0 7.201 9_Sat urday _afte rnoon |
|
Pl usses |
-25 mT |
25 mT |
-Satu rated |
1 |
1.5 |
5 /5/20 |
12 |
50 |
06 .07.2 019_S aturd ay_ev ening |
|
Pl usses |
-25 mT |
25 mT |
-Satu rated |
0.1 |
1.5 |
5 /5/20 |
117 |
500 |
06.07 .2019 _Satu rday_ night |
|
Pl usses |
-25 mT |
25 mT |
-Satu rated |
0.25 |
1.5 |
5 /5/20 |
47 |
200 |
07.07 .2019 _Sund ay_mo rning |
|
` m354:
note: #m354 %20MF N_Plu sses_ sweep %20af ter_s atura tion% 20at% 20-1T _%20- 0.025 T%20t o%200 .025% 20T_2 mT.mi n_1.5 %20Hz _5V_a verag es%20 6&sec tion- id={5 FAD05 18-E3 49-4A 07-93 E8-5D 105BD 4AEB4 }&pag e-id= {962B DDFC- 8A50- 4AB8- A318- 69979 09CE9 D1}&e nd&ba se-pa th=ht tps:/ /goet heuni versi taet. share point .com/ sites /Proj ect4/ SiteA ssets /Proj ect%2 04%20 Noteb ook/M agnet ic%20 Flux% 20Noi se.on e>`__ |
Pl usses |
-25 mT |
25 mT |
-Satu rated |
2 |
1.5 |
5 /5/20 |
6 |
25 |
07. 07.20 19_Su nday_ lunch time |
Plan 3 summary
Saturday, 7. December 2019
21:26
HLoop
- Date
Montag, 8. Juli 2019
18:21
Evaluate Measurement Plan #3
- Date
Montag, 8. Juli 2019
18:21
25 mT Sweeps
- Date
Montag, 8. Juli 2019
18:18
|(900) Field Sweeps (B = ±25mT) Strayfield 10-2 i —10 10-3 10-4 10-5
10-6 10-7 10-2 0.6 0.4 0.2 0.0 —0.2 -30 Up Down —20 10 20 • -Ms 25 -25
mT Empty (0.5!!!— m349. m340: 25 -25 mT Empty 25 -25 mT Plusses (0.46
m338: \_å_Ms \_+ 25 \_+ 8.3 \_+ \_ 25 mT Plusses (0.11 m m 342: m 343 :
—Ms —+ —25 —8.3 —Y 25 m T Plusses (0.11 l/f 1/f2 30 100|
m342: MFN_Plusses_sweep after_saturation at+ 1T_0.025T to -0.025T_0.111 mT.min_1.5, 0.78Hz_5V
Dienstag, 2. Juli 2019
22:41
Angle of sensor θ |
+90 |
||||||||||||
|---|---|---|---|---|---|---|---|---|---|---|---|---|---|
Temp |
30 K |
||||||||||||
Plusses(1-13) |
|||||||||||||
|
|||||||||||||
|
|||||||||||||
Resistance Box |
+——–+- ——-+——–+—+——–+——+ | |imag | *1 MΩ* | |imag | | |imag | | | e6960| |
+========+= =======+========+===+========+======+ | |imag | *1 MΩ* | |imag | | |imag | *10* | | e6963| |
+——–+- ——-+——–+—+——–+——+ |
||||||||||||
+——+– —–+——-+——+——-+——-+ | Sens | 5
|
| image | | | Hz* |
|
| 6969| | | | |
+======+== =====+=======+======+=======+=======+ | τ | * 3 | * | AC | Gr | *N | | | m s | Input | | ound* | ormal | | |
|
| | | | erve* |
+——+– —–+——-+——+——-+——-+ |
|||||||||||||
Pre Amplifier (SR560) |
|
||||||||||||
Signal Analyzer (SR785) |
|
||||||||||||
Period of measurement (min) |
448min over night started 22:40 finshed around 6:00 am next day |
||||||||||||
He (l) level consumption |
|||||||||||||
Data files |
<<m342_MFN_Plusses_sweep_25mT to -25mT_at +1T saturation_Rate 0.111mTmin_SR785_1.5_0.78Hz_Vin 5V_sens 5mV .dat>> |
||||||||||||
Plot |
m343: MFN_Plusses_sweep after_saturation at -1T_0.025T to -0.025T_0.111mT.min_1.5, 0.78Hz_5V
Mittwoch, 3. Juli 2019
06:23
Angle of sensor θ |
+90 |
||||||||||||
|---|---|---|---|---|---|---|---|---|---|---|---|---|---|
Temp |
30 K |
||||||||||||
Plusses(1-13) |
|||||||||||||
|
|||||||||||||
|
|||||||||||||
Resistance Box |
+——–+- ——-+——–+—+——–+——+ | |imag | *1 MΩ* | |imag | | |imag | | | e7034| |
+========+= =======+========+===+========+======+ | |imag | *1 MΩ* | |imag | | |imag | *10* | | e7037| |
+——–+- ——-+——–+—+——–+——+ |
||||||||||||
+——+– —–+——-+——+——-+——-+ | Sens | 5
|
| image | | | Hz* |
|
| 7043| | | | |
+======+== =====+=======+======+=======+=======+ | τ | * 3 | * | AC | Gr | *N | | | m s | Input | | ound* | ormal | | |
|
| | | | erve* |
+——+– —–+——-+——+——-+——-+ |
|||||||||||||
Pre Amplifier (SR560) |
|
||||||||||||
Signal Analyzer (SR785) |
|
||||||||||||
Period of measurement (min) |
448min over daylight started 6:23 finshed around 14:00 |
||||||||||||
He (l) level consumption |
|||||||||||||
Data files |
<<m343_MFN_Plusses_sweep_-25mT to 25mT_at -1T saturation_Rate 0.111mTmin_SR785_1.5_0.78Hz_Vin 5V_sens 5mV .dat>> |
||||||||||||
Plot |
m344: MFN_Plusses_sweep after_saturation at +1T_-0.443T to -0.611T_2.352mT.min_1.5, 0.78Hz_5V_field sweeping finished before MFN at 109min_might need to be repeated
03 July 2019
14:50
Angle of sensor θ |
+90 |
||||||||||||
|---|---|---|---|---|---|---|---|---|---|---|---|---|---|
Temp |
30 K |
||||||||||||
Plusses(1-13) |
|||||||||||||
|
|||||||||||||
|
|||||||||||||
Resistance Box |
+——–+- ——-+——–+—+——–+——+ | |imag | *1 MΩ* | |imag | | |imag | | | e7110| |
+========+= =======+========+===+========+======+ | |imag | *1 MΩ* | |imag | | |imag | *10* | | e7113| |
+——–+- ——-+——–+—+——–+——+ |
||||||||||||
+——+– —–+——-+——+——-+——-+ | Sens | 5
|
| image | | | Hz* |
|
| 7119| | | | |
+======+== =====+=======+======+=======+=======+ | τ | * 3 | * | AC | Gr | *N | | | m s | Input | | ound* | ormal | | |
|
| | | | erve* |
+——+– —–+——-+——+——-+——-+ |
|||||||||||||
Pre Amplifier (SR560) |
|
||||||||||||
Signal Analyzer (SR785) |
|
||||||||||||
Period of measurement (min) |
448min over daylight started 14:50 Finished 22:18 |
||||||||||||
He (l) level consumption |
|||||||||||||
Data files |
<<m344_MFN_Plusses_sweep_-443mT to -611 mT_at +1T saturation_Rate 2.352mTmin_SR785_1.5_0.78Hz_Vin 5V_sens 5mV .dat>> |
||||||||||||
Plot |
Important note: I found the magnetic field sweeping finished at 109 min of MFN measurement due to wrong calculattion of field range :(
m344.1: MFN_Plusses_sweep after_saturation at +1T_-0.443T to -0.611T_0.5mT.min_1.5, 0.78Hz_5V_field_to be decided
03 July 2019
14:50
Angle of sensor θ |
+90 |
||||||||||||
|---|---|---|---|---|---|---|---|---|---|---|---|---|---|
Temp |
30 K |
||||||||||||
Plusses(1-13) |
|||||||||||||
|
|||||||||||||
|
|||||||||||||
Resistance Box |
+——–+- ——-+——–+—+——–+——+ | |imag | *1 MΩ* | |imag | | |imag | | | e7186| |
+========+= =======+========+===+========+======+ | |imag | *1 MΩ* | |imag | | |imag | *10* | | e7189| |
+——–+- ——-+——–+—+——–+——+ |
||||||||||||
+——+– —–+——-+——+——-+——-+ | Sens | 5
|
| image | | | Hz* |
|
| 7195| | | | |
+======+== =====+=======+======+=======+=======+ | τ | * 3 | * | AC | Gr | *N | | | m s | Input | | ound* | ormal | | |
|
| | | | erve* |
+——+– —–+——-+——+——-+——-+ |
|||||||||||||
Pre Amplifier (SR560) |
|
||||||||||||
Signal Analyzer (SR785) |
|
||||||||||||
Period of measurement (min) |
448min over daylight started 14:50 Finished 22:18 |
||||||||||||
He (l) level consumption |
|||||||||||||
Data files |
|||||||||||||
Plot |
m345: MFN_Plusses_sweep after_saturation at +1T_ -0.2913 T to -0.443 T_0.5mT.min_1.5, 0.78Hz_5V_averages 24
Mittwoch, 3. Juli 2019
22:53
Angle of sensor θ |
+90 |
||||||||||||
|---|---|---|---|---|---|---|---|---|---|---|---|---|---|
Temp |
30 K |
||||||||||||
Plusses(1-13) |
|||||||||||||
|
|||||||||||||
|
|||||||||||||
Resistance Box |
+——–+- ——-+——–+—+——–+——+ | |imag | *1 MΩ* | |imag | | |imag | | | e7263| |
+========+= =======+========+===+========+======+ | |imag | *1 MΩ* | |imag | | |imag | *10* | | e7266| |
+——–+- ——-+——–+—+——–+——+ |
||||||||||||
+——+– —–+——-+——+——-+——-+ | Sens | 5
|
| image | | | Hz* |
|
| 7272| | | | |
+======+== =====+=======+======+=======+=======+ | τ | * 3 | * | AC | Gr | *N | | | m s | Input | | ound* | ormal | | |
|
| | | | erve* |
+——+– —–+——-+——+——-+——-+ |
|||||||||||||
Pre Amplifier (SR560) |
|
||||||||||||
Signal Analyzer (SR785) |
|
||||||||||||
Period of measurement (min) |
303.4 min over over night started 22:53 Finished 04:00 |
||||||||||||
He (l) level consumption |
|||||||||||||
Data files |
<<m345_MFN_Plusses_sweep_-291mT to -443 mT_at +1T saturation_Rate 0.5mTmin_SR785_1.5_0.78Hz__aver 24_Vin 5V_sens 5mV .dat>> |
||||||||||||
Plot |
Important note: I tried here to adjust constant sweeping rate for magnetic field range by keeping the f-spans constant and changing only the averages.
m346: MFN_Plusses_sweep after_saturation at +1T_ 0.03656 T to -0.2913 T_0.5mT.min_1.5, 0.78Hz_5V_averages 51
04 July 2019
07:09
Angle of sensor θ |
+90 |
||||||||||||
|---|---|---|---|---|---|---|---|---|---|---|---|---|---|
Temp |
30 K |
||||||||||||
Plusses(1-13) |
|||||||||||||
|
|||||||||||||
|
|||||||||||||
Resistance Box |
+——–+- ——-+——–+—+——–+——+ | |imag | *1 MΩ* | |imag | | |imag | | | e7340| |
+========+= =======+========+===+========+======+ | |imag | *1 MΩ* | |imag | | |imag | *10* | | e7343| |
+——–+- ——-+——–+—+——–+——+ |
||||||||||||
+——+– —–+——-+——+——-+——-+ | Sens | 5
|
| image | | | Hz* |
|
| 7349| | | | |
+======+== =====+=======+======+=======+=======+ | τ | * 3 | * | AC | Gr | *N | | | m s | Input | | ound* | ormal | | |
|
| | | | erve* |
+——+– —–+——-+——+——-+——-+ |
|||||||||||||
Pre Amplifier (SR560) |
|
||||||||||||
Signal Analyzer (SR785) |
|
||||||||||||
Period of measurement (min) |
655 min over over daylight started 07:00 Finished 17:53 |
||||||||||||
He (l) level consumption |
|||||||||||||
Data files |
<<m346_MFN_Plusses_sweep_36.56mT to -291 mT_at +1T saturation_Rate 0.5mTmin_SR785_1.5_0.78Hz__aver 51_Vin 5V_sens 5mV .dat>> |
||||||||||||
Plot |
m347: MFN_Plusses_sweep after_saturation at -1T_ -0.03656 T to 0.2913 T_0.5mT.min_1.5 Hz_5V_averages 153
Donnerstag, 4. Juli 2019
23:36
Angle of sensor θ |
+90 |
||||||||||||
|---|---|---|---|---|---|---|---|---|---|---|---|---|---|
Temp |
30 K |
||||||||||||
Plusses(1-13) |
|||||||||||||
|
|||||||||||||
|
|||||||||||||
Resistance Box |
+——–+- ——-+——–+—+——–+——+ | |imag | *1 MΩ* | |imag | | |imag | | | e7417| |
+========+= =======+========+===+========+======+ | |imag | *1 MΩ* | |imag | | |imag | *10* | | e7420| |
+——–+- ——-+——–+—+——–+——+ |
||||||||||||
+——+– —–+——-+——+——-+——-+ | Sens | 5
|
| image | | | Hz* |
|
| 7426| | | | |
+======+== =====+=======+======+=======+=======+ | τ | * 3 | * | AC | Gr | *N | | | m s | Input | | ound* | ormal | | |
|
| | | | erve* |
+——+– —–+——-+——+——-+——-+ |
|||||||||||||
Pre Amplifier (SR560) |
|
||||||||||||
Signal Analyzer (SR785) |
|
||||||||||||
Period of measurement (min) |
|||||||||||||
He (l) level consumption |
|||||||||||||
Data files |
<<m347_MFN_Plusses_sweep_-36.56mT to +291 mT_at -1T saturation_Rate 0.5mTmin_SR785_1.5Hz__aver 153_Vin 5V_sens 5mV .dat>> |
||||||||||||
Plot |
Filling He(l)
- Date
Freitag, 5. Juli 2019
12:24
Filling date |
05.07.2019 |
|---|---|
Before (in) |
27 |
After (in) |
36.22 |
consumption |
214-123=26 L |
Person |
MAM |
Notes:
‘To do:
m348: MFN_Empty_sweep after_saturation at -1T_ -0.03656 T to 0.2913 T_0.5mT.min_1.5 Hz_5V_averages 153
Freitag, 5. Juli 2019
13:00
Angle of sensor θ |
+90 |
||||||||||||
|---|---|---|---|---|---|---|---|---|---|---|---|---|---|
Temp |
30 K |
||||||||||||
Empty(6-8) |
|||||||||||||
|
|||||||||||||
|
|||||||||||||
Resistance Box |
+——–+- ——-+——–+—+——–+——+ | |imag | *1 MΩ* | |imag | | |imag | | | e7494| |
+========+= =======+========+===+========+======+ | |imag | *1 MΩ* | |imag | | |imag | *10* | | e7497| |
+——–+- ——-+——–+—+——–+——+ |
||||||||||||
+——+– —–+——-+——+——-+——-+ | Sens | 1 0 mV | | | 5 V | f | *113 | | |
|
| 7503| | | | |
+======+== =====+=======+======+=======+=======+ | τ | * 3 | * | AC | Gr | *N | | | m s | Input | | ound* | ormal | | |
|
| | | | erve* |
+——+– —–+——-+——+——-+——-+ |
|||||||||||||
Pre Amplifier (SR560) |
|
||||||||||||
Signal Analyzer (SR785) |
|
||||||||||||
Period of measurement (min) |
652 min started at 13:00 Friday Finsihed at 23:52 |
||||||||||||
He (l) level consumption |
|||||||||||||
Data files |
<<m348_MFN_Empty_sweep_-36.56mT to +291 mT_at -1T saturation_Rate 0.5mTmin_SR785_1.5Hz__aver 153_Vin 5V_sens 5mV .dat>> |
||||||||||||
Plot |
m349: MFN_Empty_sweep after_saturation at -1T_ -0.025T to 0.025 T_0.5mT.min_1.5 Hz_5V_averages 24
Samstag, 6. Juli 2019
00:15
Angle of sensor θ |
+90 |
||||||||||||
|---|---|---|---|---|---|---|---|---|---|---|---|---|---|
Temp |
30 K |
||||||||||||
Empty(6-8) |
|||||||||||||
|
|||||||||||||
|
|||||||||||||
Resistance Box |
+——–+- ——-+——–+—+——–+——+ | |imag | *1 MΩ* | |imag | | |imag | | | e7570| |
+========+= =======+========+===+========+======+ | |imag | *1 MΩ* | |imag | | |imag | *10* | | e7573| |
+——–+- ——-+——–+—+——–+——+ |
||||||||||||
+——+– —–+——-+——+——-+——-+ | Sens | 1 0 mV | | | 5 V | f | *113 | | |
|
| 7579| | | | |
+======+== =====+=======+======+=======+=======+ | τ | * 3 | * | AC | Gr | *N | | | m s | Input | | ound* | ormal | | |
|
| | | | erve* |
+——+– —–+——-+——+——-+——-+ |
|||||||||||||
Pre Amplifier (SR560) |
|
||||||||||||
Signal Analyzer (SR785) |
|
||||||||||||
Period of measurement (min) |
100 min started at 00:07 Saturday Finsihed at |
||||||||||||
He (l) level consumption |
|||||||||||||
Data files |
<<m349_MFN_Empty_sweep_-25mT to +25 mT_at -1T saturation_Rate 0.5mTmin_SR785_1.5Hz__aver 24_Vin 5V_sens 5mV .dat>> |
||||||||||||
Plot |
m350: MFN_Plusses_sweep after_saturation at -1T_ -0.025T to 0.025 T_0.5mT.min_1.5 Hz_5V_averages 24
06 July 2019
15:46
Angle of sensor θ |
+90 |
||||||||||||
|---|---|---|---|---|---|---|---|---|---|---|---|---|---|
Temp |
30 K |
||||||||||||
Plusses(1-13) |
|||||||||||||
|
|||||||||||||
|
|||||||||||||
Resistance Box |
+——–+- ——-+——–+—+——–+——+ | |imag | *1 MΩ* | |imag | | |imag | | | e7645| |
+========+= =======+========+===+========+======+ | |imag | *1 MΩ* | |imag | | |imag | *10* | | e7648| |
+——–+- ——-+——–+—+——–+——+ |
||||||||||||
+——+– —–+——-+——+——-+——-+ | Sens | 1 0 mV | | | 5 V | f | *113 | | |
|
| 7654| | | | |
+======+== =====+=======+======+=======+=======+ | τ | * 3 | * | AC | Gr | *N | | | m s | Input | | ound* | ormal | | |
|
| | | | erve* |
+——+– —–+——-+——+——-+——-+ |
|||||||||||||
Pre Amplifier (SR560) |
|
||||||||||||
Signal Analyzer (SR785) |
|
||||||||||||
Period of measurement (min) |
100 min started at 15:46 Saturday finished at 17:35 |
||||||||||||
He (l) level consumption |
|||||||||||||
Data files |
<<m350_MFN_Plusses_sweep_-25mT to +25 mT_at -1T saturation_Rate 0.5mTmin_SR785_1.5Hz__aver 24_Vin 5V_sens 5mV .dat>> |
||||||||||||
Plot |
m351: MFN_Plusses_sweep after_saturation at -1T_ -0.025T to 0.025 T_1mT.min_1.5 Hz_5V_averages 12
Samstag, 6. Juli 2019
21:37
Angle of sensor θ |
+90 |
||||||||||||
|---|---|---|---|---|---|---|---|---|---|---|---|---|---|
Temp |
30 K |
||||||||||||
Plusses(1-13) |
|||||||||||||
|
|||||||||||||
|
|||||||||||||
Resistance Box |
+——–+- ——-+——–+—+——–+——+ | |imag | *1 MΩ* | |imag | | |imag | | | e7721| |
+========+= =======+========+===+========+======+ | |imag | *1 MΩ* | |imag | | |imag | *10* | | e7724| |
+——–+- ——-+——–+—+——–+——+ |
||||||||||||
+——+– —–+——-+——+——-+——-+ | Sens | 1 0 mV | | | 5 V | f | *113 | | |
|
| 7730| | | | |
+======+== =====+=======+======+=======+=======+ | τ | * 3 | * | AC | Gr | *N | | | m s | Input | | ound* | ormal | | |
|
| | | | erve* |
+——+– —–+——-+——+——-+——-+ |
|||||||||||||
Pre Amplifier (SR560) |
|
||||||||||||
Signal Analyzer (SR785) |
|
||||||||||||
Period of measurement (min) |
50 min |
||||||||||||
He (l) level consumption |
|||||||||||||
Data files |
<<m351_MFN_Plusses_sweep_-25mT to +25 mT_at -1T saturation_Rate 1mTmin_SR785_1.5Hz__aver 12_Vin 5V_sens 5mV .dat>> |
||||||||||||
Plot |
m352: MFN_Plusses_sweep after_saturation at -1T_ -0.025T to 0.025 T_0.1mT.min_1.5 Hz_5V_averages 117
Samstag, 6. Juli 2019
22:39
Angle of sensor θ |
+90 |
||||||||||||
|---|---|---|---|---|---|---|---|---|---|---|---|---|---|
Temp |
30 K |
||||||||||||
Plusses(1-13) |
|||||||||||||
|
|||||||||||||
|
|||||||||||||
Resistance Box |
+——–+- ——-+——–+—+——–+——+ | |imag | *1 MΩ* | |imag | | |imag | | | e7797| |
+========+= =======+========+===+========+======+ | |imag | *1 MΩ* | |imag | | |imag | *10* | | e7800| |
+——–+- ——-+——–+—+——–+——+ |
||||||||||||
+——+– —–+——-+——+——-+——-+ | Sens | 1 0 mV | | | 5 V | f | *113 | | |
|
| 7806| | | | |
+======+== =====+=======+======+=======+=======+ | τ | * 3 | * | AC | Gr | *N | | | m s | Input | | ound* | ormal | | |
|
| | | | erve* |
+——+– —–+——-+——+——-+——-+ |
|||||||||||||
Pre Amplifier (SR560) |
|
||||||||||||
Signal Analyzer (SR785) |
|
||||||||||||
Period of measurement (min) |
500 min |
||||||||||||
He (l) level consumption |
|||||||||||||
Data files |
<<m352_MFN_Plusses_sweep_-25mT to +25 mT_at -1T saturation_Rate 0.1mTmin_SR785_1.5Hz__aver 117_Vin 5V_sens 5mV .dat>> |
||||||||||||
Plot |
m353: MFN_Plusses_sweep after_saturation at -1T_ -0.025T to 0.025 T_0.25mT.min_1.5 Hz_5V_averages 47
Sonntag, 7. Juli 2019
08:50
Angle of sensor θ |
+90 |
||||||||||||
|---|---|---|---|---|---|---|---|---|---|---|---|---|---|
Temp |
30 K |
||||||||||||
Plusses(1-13) |
|||||||||||||
|
|||||||||||||
|
|||||||||||||
Resistance Box |
+——–+- ——-+——–+—+——–+——+ | |imag | *1 MΩ* | |imag | | |imag | | | e7873| |
+========+= =======+========+===+========+======+ | |imag | *1 MΩ* | |imag | | |imag | *10* | | e7876| |
+——–+- ——-+——–+—+——–+——+ |
||||||||||||
+——+– —–+——-+——+——-+——-+ | Sens | 1 0 mV | | | 5 V | f | *113 | | |
|
| 7882| | | | |
+======+== =====+=======+======+=======+=======+ | τ | * 3 | * | AC | Gr | *N | | | m s | Input | | ound* | ormal | | |
|
| | | | erve* |
+——+– —–+——-+——+——-+——-+ |
|||||||||||||
Pre Amplifier (SR560) |
|
||||||||||||
Signal Analyzer (SR785) |
|
||||||||||||
Period of measurement (min) |
200 min |
||||||||||||
He (l) level consumption |
|||||||||||||
Data files |
<<m353_MFN_Plusses_sweep_-25mT to +25 mT_at -1T saturation_Rate 0.25mTmin_SR785_1.5Hz__aver 47_Vin 5V_sens 5mV .dat>> |
||||||||||||
Plot |
m354: MFN_Plusses_sweep after_saturation at -1T_ -0.025T to 0.025 T_2mT.min_1.5 Hz_5V_averages 6
Sonntag, 7. Juli 2019
12:28
Angle of sensor θ |
+90 |
||||||||||||
|---|---|---|---|---|---|---|---|---|---|---|---|---|---|
Temp |
30 K |
||||||||||||
Plusses(1-13) |
|||||||||||||
|
|||||||||||||
|
|||||||||||||
Resistance Box |
+——–+- ——-+——–+—+——–+——+ | |imag | *1 MΩ* | |imag | | |imag | | | e7949| |
+========+= =======+========+===+========+======+ | |imag | *1 MΩ* | |imag | | |imag | *10* | | e7952| |
+——–+- ——-+——–+—+——–+——+ |
||||||||||||
+——+– —–+——-+——+——-+——-+ | Sens | 1 0 mV | | | 5 V | f | *113 | | |
|
| 7958| | | | |
+======+== =====+=======+======+=======+=======+ | τ | * 3 | * | AC | Gr | *N | | | m s | Input | | ound* | ormal | | |
|
| | | | erve* |
+——+– —–+——-+——+——-+——-+ |
|||||||||||||
Pre Amplifier (SR560) |
|
||||||||||||
Signal Analyzer (SR785) |
|
||||||||||||
Period of measurement (min) |
25min |
||||||||||||
He (l) level consumption |
|||||||||||||
Data files |
<<m354_MFN_Plusses_sweep_-25mT to +25 mT_at -1T saturation_Rate 2mTmin_SR785_1.5Hz__aver 6_Vin 5V_sens 5mV .dat>> |
||||||||||||
Plot |
Measurement Plan #4_Temp effect
- Date
07 July 2019
12:37
Field Sweeps and Tamperature effect (ΔB = T)
Nr |
St ruct |
Field From* |
Field To* |
Hlo op_br anch |
T (K) |
SR [mT/ min] |
F- Span |
V in(V) /sens (mV)/ gain |
Avg |
Time [min, Hr] |
Date* |
|---|---|---|---|---|---|---|---|---|---|---|---|
note: #m355 %20MF N_Plu sses_ sweep %20af ter_s atura tion% 20at% 20-1T _%20- 0.025 T%20t o%200 .025% 20T_0 .5mT. min_1 .5%20 Hz_5V _aver ages% 2024_ T=25K § ion-i d={5F AD051 8-E34 9-4A0 7-93E 8-5D1 05BD4 AEB4} &page -id={ 0BD37 287-7 24C-4 0D7-B 71A-6 5A418 99F1A 8}&en d&bas e-pat h=htt ps:// goeth euniv ersit aet.s harep oint. com/s ites/ Proje ct4/S iteAs sets/ Proje ct%20 4%20N otebo ok/Ma gneti c%20F lux%2 0Nois e.one >`__: |
Pl usses |
-25 mT |
25 mT |
-Satu rated |
25 |
0.5 |
1.5 |
5 /5/20 |
24 |
100 |
07.0 7.201 9_Sun day_ |
Pl usses |
-25 mT |
25 mT |
-Satu rated |
20 |
0.5 |
1.5 |
5 /5/20 |
24 |
100 |
07.0 7.201 9_Sun day_ |
|
Pl usses |
-25 mT |
25 mT |
-Satu rated |
15 |
0.5 |
1.5 |
5 /5/20 |
24 |
100 |
0 7.07. 2019_ Sunda y_mid night |
|
Pl usses |
-25 mT |
25 mT |
-Satu rated |
10 |
0.5 |
1.5 |
5 /5/20 |
24 |
100 |
08. 07.20 19_Mo nday_ early mo rning |
|
Pl usses |
-25 mT |
25 mT |
-Satu rated |
5 |
0.5 |
1.5 |
5 /5/20 |
24 |
100 |
08. 07.20 19_Mo nday_ early mo rning |
m355: MFN_Plusses_sweep after_saturation at -1T_ -0.025T to 0.025 T_0.5mT.min_1.5 Hz_5V_averages 24_T=25K
Sonntag, 7. Juli 2019
16:43
Angle of sensor θ |
+90 |
||||||||||||
|---|---|---|---|---|---|---|---|---|---|---|---|---|---|
Temp |
25 K |
||||||||||||
Plusses(1-13) |
|||||||||||||
|
|||||||||||||
|
|||||||||||||
Resistance Box |
+——–+- ——-+——–+—+——–+——+ | |imag | *1 MΩ* | |imag | | |imag | | | e8046| |
+========+= =======+========+===+========+======+ | |imag | *1 MΩ* | |imag | | |imag | *10* | | e8049| |
+——–+- ——-+——–+—+——–+——+ |
||||||||||||
+——+– —–+——-+——+——-+——-+ | Sens | 1 0 mV | | | 5 V | f | *113 | | |
|
| 8055| | | | |
+======+== =====+=======+======+=======+=======+ | τ | * 3 | * | AC | Gr | *N | | | m s | Input | | ound* | ormal | | |
|
| | | | erve* |
+——+– —–+——-+——+——-+——-+ |
|||||||||||||
Pre Amplifier (SR560) |
|
||||||||||||
Signal Analyzer (SR785) |
|
||||||||||||
Period of measurement (min) |
100min |
||||||||||||
He (l) level consumption |
|||||||||||||
Data files |
<<m355_MFN_Plusses_T25K_sweep_-25mT to +25 mT_at -1T saturation_Rate 0.5mTmin_SR785_1.5Hz__aver 24_Vin 5V_sens 5mV .dat>> |
||||||||||||
Plot |
m356: MFN_Plusses_sweep after_saturation at -1T_ -0.025T to 0.025 T_0.5mT.min_1.5 Hz_5V_averages 24_T=20K
Sonntag, 7. Juli 2019
22:24
Angle of sensor θ |
+90 |
||||||||||||
|---|---|---|---|---|---|---|---|---|---|---|---|---|---|
Temp |
20 K |
||||||||||||
Plusses(1-13) |
|||||||||||||
|
|||||||||||||
|
|||||||||||||
Resistance Box |
+——–+- ——-+——–+—+——–+——+ | |imag | *1 MΩ* | |imag | | |imag | | | e8122| |
+========+= =======+========+===+========+======+ | |imag | *1 MΩ* | |imag | | |imag | *10* | | e8125| |
+——–+- ——-+——–+—+——–+——+ |
||||||||||||
+——+– —–+——-+——+——-+——-+ | Sens | 5
|
| image | | | Hz* |
|
| 8131| | | | |
+======+== =====+=======+======+=======+=======+ | τ | * 3 | * | AC | Gr | *N | | | m s | Input | | ound* | ormal | | |
|
| | | | erve* |
+——+– —–+——-+——+——-+——-+ |
|||||||||||||
Pre Amplifier (SR560) |
|
||||||||||||
Signal Analyzer (SR785) |
|
||||||||||||
Period of measurement (min) |
100min |
||||||||||||
He (l) level consumption |
|||||||||||||
Data files |
<<m356_MFN_Plusses_T20K_sweep_-25mT to +25 mT_at -1T saturation_Rate 0.5mTmin_SR785_1.5Hz__aver 24_Vin 5V_sens 5mV .dat>> |
||||||||||||
Plot |
m357: MFN_Plusses_sweep after_saturation at -1T_ -0.025T to 0.025 T_0.5mT.min_1.5 Hz_5V_averages 24_T=15K
Sonntag, 7. Juli 2019
23:26
Angle of sensor θ |
+90 |
||||||||||||
|---|---|---|---|---|---|---|---|---|---|---|---|---|---|
Temp |
15 K |
||||||||||||
Plusses(1-13) |
|||||||||||||
|
|||||||||||||
|
|||||||||||||
Resistance Box |
+——–+- ——-+——–+—+——–+——+ | |imag | *1 MΩ* | |imag | | |imag | | | e8197| |
+========+= =======+========+===+========+======+ | |imag | *1 MΩ* | |imag | | |imag | *10* | | e8200| |
+——–+- ——-+——–+—+——–+——+ |
||||||||||||
+——+– —–+——-+——+——-+——-+ | Sens | 1 0 mV | | | 5 V | f | *113 | | |
|
| 8206| | | | |
+======+== =====+=======+======+=======+=======+ | τ | * 3 | * | AC | Gr | *N | | | m s | Input | | ound* | ormal | | |
|
| | | | erve* |
+——+– —–+——-+——+——-+——-+ |
|||||||||||||
Pre Amplifier (SR560) |
|
||||||||||||
Signal Analyzer (SR785) |
|
||||||||||||
Period of measurement (min) |
100min |
||||||||||||
He (l) level consumption |
|||||||||||||
Data files |
<<m357_MFN_Plusses_T15K_sweep_-25mT to +25 mT_at -1T saturation_Rate 0.5mTmin_SR785_1.5Hz__aver 24_Vin 5V_sens 5mV .dat>> |
||||||||||||
Plot |
m358: MFN_Plusses_sweep after_saturation at -1T_ -0.025T to 0.025 T_0.5mT.min_1.5 Hz_5V_averages 24_T=10K
Montag, 8. Juli 2019
05:02
Angle of sensor θ |
+90 |
||||||||||||
|---|---|---|---|---|---|---|---|---|---|---|---|---|---|
Temp |
10 K |
||||||||||||
Plusses(1-13) |
|||||||||||||
|
|||||||||||||
|
|||||||||||||
Resistance Box |
+——–+- ——-+——–+—+——–+——+ | |imag | *1 MΩ* | |imag | | |imag | | | e8273| |
+========+= =======+========+===+========+======+ | |imag | *1 MΩ* | |imag | | |imag | *10* | | e8276| |
+——–+- ——-+——–+—+——–+——+ |
||||||||||||
+——+– —–+——-+——+——-+——-+ | Sens | 5
|
| image | | | Hz* |
|
| 8282| | | | |
+======+== =====+=======+======+=======+=======+ | τ | * 3 | * | AC | Gr | *N | | | m s | Input | | ound* | ormal | | |
|
| | | | erve* |
+——+– —–+——-+——+——-+——-+ |
|||||||||||||
Pre Amplifier (SR560) |
|
||||||||||||
Signal Analyzer (SR785) |
|
||||||||||||
Period of measurement (min) |
100min |
||||||||||||
He (l) level consumption |
|||||||||||||
Data files |
<<m358_MFN_Plusses_T10K_sweep_-25mT to +25 mT_at -1T saturation_Rate 0.5mTmin_SR785_1.5Hz__aver 24_Vin 5V_sens 5mV .dat>> |
||||||||||||
Plot |
m359: MFN_Plusses_sweep after_saturation at -1T_ -0.025T to 0.025 T_0.5mT.min_1.5 Hz_5V_averages 24_T=5K
Montag, 8. Juli 2019
07:11
Angle of sensor θ |
+90 |
||||||||||||
|---|---|---|---|---|---|---|---|---|---|---|---|---|---|
Temp |
5 K |
||||||||||||
Plusses(1-13) |
|||||||||||||
|
|||||||||||||
|
|||||||||||||
Resistance Box |
+——–+- ——-+——–+—+——–+——+ | |imag | *1 MΩ* | |imag | | |imag | | | e8349| |
+========+= =======+========+===+========+======+ | |imag | *1 MΩ* | |imag | | |imag | *10* | | e8352| |
+——–+- ——-+——–+—+——–+——+ |
||||||||||||
+——+– —–+——-+——+——-+——-+ | Sens | 1 0 mV | | | 5 V | f | *113 | | |
|
| 8358| | | | |
+======+== =====+=======+======+=======+=======+ | τ | * 3 | * | AC | Gr | *N | | | m s | Input | | ound* | ormal | | |
|
| | | | erve* |
+——+– —–+——-+——+——-+——-+ |
|||||||||||||
Pre Amplifier (SR560) |
|
||||||||||||
Signal Analyzer (SR785) |
|
||||||||||||
Period of measurement (min) |
100min |
||||||||||||
He (l) level consumption |
|||||||||||||
Data files |
<<m359_MFN_Plusses_T5K_sweep_-25mT to +25 mT_at -1T saturation_Rate 0.5mTmin_SR785_1.5Hz__aver 24_Vin 5V_sens 5mV .dat>> |
||||||||||||
Plot |
.. _Measurement Plan 5: Measurement Plan #5_Static field effect ********************************
08 July 2019
12:37
Static field effect
Nr |
St ruct |
Field s tatic at* |
Hlo op_br anch |
T (K) |
F- Span |
V in(V) /sens (mV)/ gain |
Avg |
Time [min, Hr] |
Date* |
|---|---|---|---|---|---|---|---|---|---|
Pl usses |
25 mT |
-Satu rated |
5 |
1.5 |
5 /5/20 |
24 |
100 |
08.0 7.201 9_Mon day_ |
|
` m361:
note: #m361 %20MF N_Plu sses_ sweep %20af ter_s atura tion% 20at% 20+1T _stat ic%20 at%20 -0.02 5%20T _0.5m T.min _1.5% 20Hz_ 5V_av erage s%202 4_T=5 K&sec tion- id={5 FAD05 18-E3 49-4A 07-93 E8-5D 105BD 4AEB4 }&pag e-id= {603A 009E- 7A04- 4FFF- A631- 14BAA 91EB4 5F}&e nd&ba se-pa th=ht tps:/ /goet heuni versi taet. share point .com/ sites /Proj ect4/ SiteA ssets /Proj ect%2 04%20 Noteb ook/M agnet ic%20 Flux% 20Noi se.on e>`__ |
Pl usses |
-25 mT |
+Satu rated |
5 |
1.5 |
5 /5/20 |
24 |
100 |
08.0 7.201 9_Mon day_ |
|Static Field after Saturation Plusses ie\d Strayf UP ( -Ms Down \_ 0.2
-30 26 m36V -26 xlf 30 20 -20|
m360: MFN_Plusses_sweep after_saturation at -1T_static at 0.025 T_0.5mT.min_1.5 Hz_5V_averages 24_T=5K
Montag, 8. Juli 2019
10:08
Angle of sensor θ |
+90 |
||||||||||||
|---|---|---|---|---|---|---|---|---|---|---|---|---|---|
Temp |
5 K |
||||||||||||
Plusses(1-13) |
|||||||||||||
|
|||||||||||||
|
|||||||||||||
Resistance Box |
+——–+- ——-+——–+—+——–+——+ | |imag | *1 MΩ* | |imag | | |imag | | | e8455| |
+========+= =======+========+===+========+======+ | |imag | *1 MΩ* | |imag | | |imag | *10* | | e8458| |
+——–+- ——-+——–+—+——–+——+ |
||||||||||||
+——+– —–+——-+——+——-+——-+ | Sens | 1 0 mV | | | 5 V | f | *113 | | |
|
| 8464| | | | |
+======+== =====+=======+======+=======+=======+ | τ | * 3 | * | AC | Gr | *N | | | m s | Input | | ound* | ormal | | |
|
| | | | erve* |
+——+– —–+——-+——+——-+——-+ |
|||||||||||||
Pre Amplifier (SR560) |
|
||||||||||||
Signal Analyzer (SR785) |
|
||||||||||||
Period of measurement (min) |
100min |
||||||||||||
He (l) level consumption |
|||||||||||||
Data files |
<<m360_MFN_Plusses_T5K_static at +25 mT_at -1T saturation_SR785_1.5Hz__aver 24_Vin 5V_sens 5mV .dat>> |
||||||||||||
Plot |
m361: MFN_Plusses_sweep after_saturation at +1T_static at -0.025 T_0.5mT.min_1.5 Hz_5V_averages 24_T=5K
Montag, 8. Juli 2019
12:06
Angle of sensor θ |
+90 |
||||||||||||
|---|---|---|---|---|---|---|---|---|---|---|---|---|---|
Temp |
5 K |
||||||||||||
Plusses(1-13) |
|||||||||||||
|
|||||||||||||
|
|||||||||||||
Resistance Box |
+——–+- ——-+——–+—+——–+——+ | |imag | *1 MΩ* | |imag | | |imag | | | e8531| |
+========+= =======+========+===+========+======+ | |imag | *1 MΩ* | |imag | | |imag | *10* | | e8534| |
+——–+- ——-+——–+—+——–+——+ |
||||||||||||
+——+– —–+——-+——+——-+——-+ | Sens | 1 0 mV | | | 5 V | f | *113 | | |
|
| 8540| | | | |
+======+== =====+=======+======+=======+=======+ | τ | * 3 | * | AC | Gr | *N | | | m s | Input | | ound* | ormal | | |
|
| | | | erve* |
+——+– —–+——-+——+——-+——-+ |
|||||||||||||
Pre Amplifier (SR560) |
|
||||||||||||
Signal Analyzer (SR785) |
|
||||||||||||
Period of measurement (min) |
100min |
||||||||||||
He (l) level consumption |
|||||||||||||
Data files |
<<m361_MFN_Plusses_T5K_static at -25 mT_at +1T saturation_SR785_1.5Hz__aver 24_Vin 5V_sens 5mV .dat>> |
||||||||||||
Plot |
Measurement Plan #6_dynamic field interval effect
08 July 2019
12:37
Dynamic field interval effect
Nr |
St ruct |
Field From* |
Field To* |
Hlo op_br anch |
SR [mT/ min] |
F- Span |
V in(V) /sens (mV)/ gain |
Avg |
Time [min, Hr] |
Date* |
|---|---|---|---|---|---|---|---|---|---|---|
Pl usses |
-50mT |
50mT |
-Satu rated |
2 |
1.5 |
5 /5/20 |
12 |
50 |
08.0 7.201 9_Mon day_ |
|
Pl usses |
-75 mT |
75mT |
-Satu rated |
2 |
1.5 |
5 /5/20 |
18 |
75 |
08.0 7.201 9_Mon day_ |
|
Pl usses |
-100 mT |
100mT |
-Satu rated |
2 |
1.5 |
5 /5/20 |
35 |
100 |
08.0 7.201 9_Mon day_ |
|
Pl usses |
125mT |
125mT |
-Satu rated |
2 |
1.5 |
5 /5/20 |
35 |
75 |
09. 07.20 19_Tu esday after midni ght_ |
|
Pl usses |
-150 mT |
150mT |
-Satu rated |
2 |
1.5 |
5 /5/20 |
35 |
150 |
0 9.07. 2019_ Early morn ing_ |
m362: MFN_Plusses_sweep after_saturation at -1T_ -0.05T to 0.05 T_2mT.min_1.5 Hz_5V_averages 12_T=5K
08 July 2019
14:41
Angle of sensor θ |
+90 |
||||||||||||
|---|---|---|---|---|---|---|---|---|---|---|---|---|---|
Temp |
5 K |
||||||||||||
Plusses(1-13) |
|||||||||||||
|
|||||||||||||
|
|||||||||||||
Resistance Box |
+——–+- ——-+——–+—+——–+——+ | |imag | *1 MΩ* | |imag | | |imag | | | e8725| |
+========+= =======+========+===+========+======+ | |imag | *1 MΩ* | |imag | | |imag | *10* | | e8728| |
+——–+- ——-+——–+—+——–+——+ |
||||||||||||
+——+– —–+——-+——+——-+——-+ | Sens | 5 mV | | | 5 V | f | *113 | | |
|
| 8734| | | | |
+======+== =====+=======+======+=======+=======+ | τ | * 3 | * | AC | Gr | *N | | | m s | Input | | ound* | ormal | | |
|
| | | | erve* |
+——+– —–+——-+——+——-+——-+ |
|||||||||||||
Pre Amplifier (SR560) |
|
||||||||||||
Signal Analyzer (SR785) |
|
||||||||||||
Period of measurement (min) |
50min |
||||||||||||
He (l) level consumption |
|||||||||||||
Data files |
<<m362_MFN_Plusses_T5K_sweep_-50mT to +50 mT_at -1T saturation_Rate 2mTmin_SR785_1.5Hz__aver 12_Vin 5V_sens 5mV .dat>> |
||||||||||||
Plot |
Filling He(l)
- Date
Montag, 8. Juli 2019
16:12
Filling date |
08.07.2019 |
|---|---|
Before (in) |
27 |
After (in) |
36.22 |
consumption |
214-123=26 L |
Person |
MAM |
Notes:
‘To do:
m363: MFN_Plusses_sweep after_saturation at -1T_ -0.075T to 0.075 T_2mT.min_1.5 Hz_5V_averages 18_T=5K
Montag, 8. Juli 2019
16:25
Angle of sensor θ |
+90 |
||||||||||||
|---|---|---|---|---|---|---|---|---|---|---|---|---|---|
Temp |
5 K |
||||||||||||
Plusses(1-13) |
|||||||||||||
|
|||||||||||||
|
|||||||||||||
Resistance Box |
+——–+- ——-+——–+—+——–+——+ | |imag | *1 MΩ* | |imag | | |imag | | | e8801| |
+========+= =======+========+===+========+======+ | |imag | *1 MΩ* | |imag | | |imag | *10* | | e8804| |
+——–+- ——-+——–+—+——–+——+ |
||||||||||||
+——+– —–+——-+——+——-+——-+ | Sens | 5 mV | | | 5 V | f | *113 | | |
|
| 8810| | | | |
+======+== =====+=======+======+=======+=======+ | τ | * 3 | * | AC | Gr | *N | | | m s | Input | | ound* | ormal | | |
|
| | | | erve* |
+——+– —–+——-+——+——-+——-+ |
|||||||||||||
Pre Amplifier (SR560) |
|
||||||||||||
Signal Analyzer (SR785) |
|
||||||||||||
Period of measurement (min) |
75min |
||||||||||||
He (l) level consumption |
|||||||||||||
Data files |
<<m363_MFN_Plusses_T5K_sweep_-75mT to +75 mT_at -1T saturation_Rate 2mTmin_SR785_1.5Hz__aver 18_Vin 5V_sens 5mV .dat>> |
||||||||||||
Plot |
m364: MFN_Plusses_sweep after_saturation at -1T_ -0.01T to 0.01 T_2mT.min_1.5 Hz_5V_averages 24_T=5K
Montag, 8. Juli 2019
20:15
Angle of sensor θ |
+90 |
||||||||||||
|---|---|---|---|---|---|---|---|---|---|---|---|---|---|
Temp |
5 K |
||||||||||||
Plusses(1-13) |
|||||||||||||
|
|||||||||||||
|
|||||||||||||
Resistance Box |
+——–+- ——-+——–+—+——–+——+ | |imag | *1 MΩ* | |imag | | |imag | | | e8876| |
+========+= =======+========+===+========+======+ | |imag | *1 MΩ* | |imag | | |imag | *10* | | e8879| |
+——–+- ——-+——–+—+——–+——+ |
||||||||||||
+——+– —–+——-+——+——-+——-+ | Sens | 5 mV | | | 5 V | f | *113 | | |
|
| 8885| | | | |
+======+== =====+=======+======+=======+=======+ | τ | * 3 | * | AC | Gr | *N | | | m s | Input | | ound* | ormal | | |
|
| | | | erve* |
+——+– —–+——-+——+——-+——-+ |
|||||||||||||
Pre Amplifier (SR560) |
|
||||||||||||
Signal Analyzer (SR785) |
|
||||||||||||
Period of measurement (min) |
100min |
||||||||||||
He (l) level consumption |
|||||||||||||
Data files |
<<m364.1_MFN_Plusses_T5K_sweep_-100mT to +100 mT_at -1T saturation_Rate 2mTmin_SR785_1.5Hz__aver 24_Vin 5V_sens 5mV .dat>> |
||||||||||||
Plot |
m365: MFN_Plusses_sweep after_saturation at -1T_ -0.15T to 0.15T_2mT.min_1.5 Hz_5V_averages 35_T=5K
Dienstag, 9. Juli 2019
02:46
Angle of sensor θ |
+90 |
||||||||||||
|---|---|---|---|---|---|---|---|---|---|---|---|---|---|
Temp |
5 K |
||||||||||||
Plusses(1-13) |
|||||||||||||
|
|||||||||||||
|
|||||||||||||
Resistance Box |
+——–+- ——-+——–+—+——–+——+ | |imag | *1 MΩ* | |imag | | |imag | | | e8951| |
+========+= =======+========+===+========+======+ | |imag | *1 MΩ* | |imag | | |imag | *10* | | e8954| |
+——–+- ——-+——–+—+——–+——+ |
||||||||||||
+——+– —–+——-+——+——-+——-+ | Sens | 5 mV | | | 5 V | f | *113 | | |
|
| 8960| | | | |
+======+== =====+=======+======+=======+=======+ | τ | * 3 | * | AC | Gr | *N | | | m s | Input | | ound* | ormal | | |
|
| | | | erve* |
+——+– —–+——-+——+——-+——-+ |
|||||||||||||
Pre Amplifier (SR560) |
|
||||||||||||
Signal Analyzer (SR785) |
|
||||||||||||
Period of measurement (min) |
100min |
||||||||||||
He (l) level consumption |
|||||||||||||
Data files |
<<m365_MFN_Plusses_T5K_sweep_-150mT to +150 mT_at -1T saturation_Rate 2mTmin_SR785_1.5Hz__aver 35_Vin 5V_sens 5mV .dat>> |
||||||||||||
Plot |
m366: MFN_Plusses_sweep after_saturation at -1T_ -0.125T to 0.125 T_2mT.min_1.5 Hz_5V_averages 29_T=5K
Dienstag, 9. Juli 2019
05:19
Angle of sensor θ |
+90 |
||||||||||||
|---|---|---|---|---|---|---|---|---|---|---|---|---|---|
Temp |
5 K |
||||||||||||
Plusses(1-13) |
|||||||||||||
|
|||||||||||||
|
|||||||||||||
Resistance Box |
+——–+- ——-+——–+—+——–+——+ | |imag | *1 MΩ* | |imag | | |imag | | | e9026| |
+========+= =======+========+===+========+======+ | |imag | *1 MΩ* | |imag | | |imag | *10* | | e9029| |
+——–+- ——-+——–+—+——–+——+ |
||||||||||||
+——+– —–+——-+——+——-+——-+ | Sens | 5 mV | | | 5 V | f | *113 | | |
|
| 9035| | | | |
+======+== =====+=======+======+=======+=======+ | τ | * 3 | * | AC | Gr | *N | | | m s | Input | | ound* | ormal | | |
|
| | | | erve* |
+——+– —–+——-+——+——-+——-+ |
|||||||||||||
Pre Amplifier (SR560) |
|
||||||||||||
Signal Analyzer (SR785) |
|
||||||||||||
Period of measurement (min) |
100min |
||||||||||||
He (l) level consumption |
|||||||||||||
Data files |
<<m366_MFN_Plusses_T5K_sweep_-125mT to +125 mT_at -1T saturation_Rate 2mTmin_SR785_1.5Hz__aver 29_Vin 5V_sens 5mV .dat>> |
||||||||||||
Plot |
Eval Meas Plan 234
- Date
Tuesday, 9. July 2019
09:23
<<Measurement Plan 234.pdf>>
Measurement Plan #7_dynamic field fast and slow sweep rate_waiting at 0T
08 July 2019
12:37
Fast and slow sweep rate
Nr |
St ruct |
Field From* |
SR [mT/ min] |
Field To* |
SR [mT/ min] |
Field To* |
SR [mT/ min] |
Field To* |
F- Span |
V in(V) /sens (mV)/ gain |
Avg |
Time [min, Hr] |
Date* |
|---|---|---|---|---|---|---|---|---|---|---|---|---|---|
Pl usses |
1 000mT |
50 |
25 mT |
2 |
-25 mT |
50 |
-1 000mT |
1.5 |
5 /5/20 |
15 |
64 |
09.07 .2019 _Tues day_ |
|
Pl usses |
1 000mT |
50 |
50 |
-1 000mT |
1.5 |
5 /5/20 |
9 |
64 |
09.07 .2019 _Tues day_ |
||||
` M369 <onen ote:# M369_ MFN_P lusse s_T5K _%20F ast%2 0swee p%20+ 1T%20 to%20 0mT_3 0mTmi n_wai t%202 0min% 20at% 200%2 0and% 20swe ep%20 fast% 20to% 20-1T _30mT min_S R785_ 1.5Hz __ave r%209 _Vin% 205V_ sens% 205mV %20_u suing %20ro utine %20fo r%20t he%20 magne t&sec tion- id={5 FAD05 18-E3 49-4A 07-93 E8-5D 105BD 4AEB4 }&pag e-id= {4684 022F- 8EAD- 47CB- 917E- 118A0 156C5 08}&e nd&ba se-pa th=ht tps:/ /goet heuni versi taet. share point .com/ sites /Proj ect4/ SiteA ssets /Proj ect%2 04%20 Noteb ook/M agnet ic%20 Flux% 20Noi se.on e>`__ |
Pl usses |
1 000mT |
30 |
0 wait here 20 min |
30 |
-1 000mT |
1.5 |
5 /5/20 |
20 |
86 |
09.07 .2019 _Tues day_ |
||
Pl usses |
1 000mT |
30 |
0 wait here 10 min |
30 |
-1 000mT |
1.5 |
5 /5/20 |
18 |
76 |
09.07 .2019 _Tues day_ |
|||
Pl usses |
1 000mT |
30 |
0 wait here 30 min |
30 |
-1 000mT |
1.5 |
5 /5/20 |
23 |
96 |
09.07 .2019 _Tues day_ |
m367_MFN_Plusses_T5K_ Fast sweep +1T to +0.025mT_50mTmin_ slow sweep_to -0.025mT_2mTmin_to -1T_50mTmin_SR785_1.5Hz__aver 15_Vin 5V_sens 5mV _usuing routine for the magnet
Dienstag, 9. Juli 2019
12:30
Angle of sensor θ |
+90 |
||||||||||||
|---|---|---|---|---|---|---|---|---|---|---|---|---|---|
Temp |
5 K |
||||||||||||
Plusses(1-13) |
|||||||||||||
|
|||||||||||||
Fast sweep +1T to +0.025mT_50mTmin_ to -0.025mT_2mTmin_to -1T_50mTmin |
|||||||||||||
Resistance Box |
+——–+- ——-+——–+—+——–+——+ | |imag | *1 MΩ* | |imag | | |imag | | | e9097| |
+========+= =======+========+===+========+======+ | |imag | *1 MΩ* | |imag | | |imag | *10* | | e9100| |
+——–+- ——-+——–+—+——–+——+ |
||||||||||||
+——+– —–+——-+——+——-+——-+ | Sens | 5 mV | | | 5 V | f | *113 | | |
|
| 9106| | | | |
+======+== =====+=======+======+=======+=======+ | τ | * 3 | * | AC | Gr | *N | | | m s | Input | | ound* | ormal | | |
|
| | | | erve* |
+——+– —–+——-+——+——-+——-+ |
|||||||||||||
Pre Amplifier (SR560) |
|
||||||||||||
Signal Analyzer (SR785) |
|
||||||||||||
Period of measurement (min) |
100min |
||||||||||||
He (l) level consumption |
|||||||||||||
Data files |
Saving data from SR830, SR785 <<m367_MFN_Plusses_T5K_ Fast sweep +1T to +0.025mT_50mTmin_ slow sweep_to -0.025mT_2mTmin_fast sweep to -1T_50mTmin_SR785_1.5Hz__aver 15_Vin 5V_sens 5mV .dat>>
|
||||||||||||
Plot |
m368_MFN_Plusses_T5K_ Fast sweep +1T _to -1T_50mTmin_SR785_1.5Hz__aver 9_Vin 5V_sens 5mV _
Dienstag, 9. Juli 2019
13:56
Angle of sensor θ |
+90 |
||||||||||||
|---|---|---|---|---|---|---|---|---|---|---|---|---|---|
Temp |
5 K |
||||||||||||
Plusses(1-13) |
|||||||||||||
|
|||||||||||||
Fast sweep +1T _to -1T_50mTmin |
|||||||||||||
Resistance Box |
+——–+- ——-+——–+—+——–+——+ | |imag | *1 MΩ* | |imag | | |imag | | | e9167| |
+========+= =======+========+===+========+======+ | |imag | *1 MΩ* | |imag | | |imag | *10* | | e9170| |
+——–+- ——-+——–+—+——–+——+ |
||||||||||||
+——+– —–+——-+——+——-+——-+ | Sens | 5 mV | | | 5 V | f | *113 | | |
|
| 9176| | | | |
+======+== =====+=======+======+=======+=======+ | τ | * 3 | * | AC | Gr | *N | | | m s | Input | | ound* | ormal | | |
|
| | | | erve* |
+——+– —–+——-+——+——-+——-+ |
|||||||||||||
Pre Amplifier (SR560) |
|
||||||||||||
Signal Analyzer (SR785) |
|
||||||||||||
Period of measurement (min) |
100min |
||||||||||||
He (l) level consumption |
|||||||||||||
Data files |
Saving data from SR830, SR785 <<m368_MFN_Plusses_T5K_ Fast sweep +1T to -1T_50mTmin_SR785_1.5Hz__aver 9_Vin 5V_sens 5mV .dat>> <<m368.1_SR830.dat>> |
||||||||||||
Plot |
m369_MFN_Plusses_T5K_ Fast sweep +1T to 0 wait 20 min and sweep to -1T_30mTmin_SR785_1.5Hz__aver 20_Vin 5V_sens 5mV
Dienstag, 9. Juli 2019
15:00
Angle of sensor θ |
+90 |
||||||||||||
|---|---|---|---|---|---|---|---|---|---|---|---|---|---|
Temp |
5 K |
||||||||||||
Plusses(1-13) |
|||||||||||||
|
|||||||||||||
Fast sweep +1T to 0 wait 20 min and sweep to -1T_30mTmin |
|||||||||||||
Resistance Box |
+——–+- ——-+——–+—+——–+——+ | |imag | *1 MΩ* | |imag | | |imag | | | e9237| |
+========+= =======+========+===+========+======+ | |imag | *1 MΩ* | |imag | | |imag | *10* | | e9240| |
+——–+- ——-+——–+—+——–+——+ |
||||||||||||
+——+– —–+——-+——+——-+——-+ | Sens | 5 mV | | | 5 V | f | *113 | | |
|
| 9246| | | | |
+======+== =====+=======+======+=======+=======+ | τ | * 3 | * | AC | Gr | *N | | | m s | Input | | ound* | ormal | | |
|
| | | | erve* |
+——+– —–+——-+——+——-+——-+ |
|||||||||||||
Pre Amplifier (SR560) |
|
||||||||||||
Signal Analyzer (SR785) |
|
||||||||||||
Period of measurement (min) |
100min |
||||||||||||
He (l) level consumption |
|||||||||||||
Data files |
Saving data from SR830, SR785
<<m369.1_SR830.dat>> |
||||||||||||
Plot |
m370_MFN_Plusses_T5K_ Fast sweep +1T to 0 wait 10 min and sweep to -1T_30mTmin_SR785_1.5Hz__aver 18_Vin 5V_sens 5mV
Dienstag, 9. Juli 2019
15:00
Angle of sensor θ |
+90 |
||||||||||||
|---|---|---|---|---|---|---|---|---|---|---|---|---|---|
Temp |
5 K |
||||||||||||
Plusses(1-13) |
|||||||||||||
|
|||||||||||||
Fast sweep +1T to 0 wait 20 min and sweep to -1T_30mTmin |
|||||||||||||
Resistance Box |
+——–+- ——-+——–+—+——–+——+ | |imag | *1 MΩ* | |imag | | |imag | | | e9307| |
+========+= =======+========+===+========+======+ | |imag | *1 MΩ* | |imag | | |imag | *10* | | e9310| |
+——–+- ——-+——–+—+——–+——+ |
||||||||||||
+——+– —–+——-+——+——-+——-+ | Sens | 5 mV | | | 5 V | f | *113 | | |
|
| 9316| | | | |
+======+== =====+=======+======+=======+=======+ | τ | * 3 | * | AC | Gr | *N | | | m s | Input | | ound* | ormal | | |
|
| | | | erve* |
+——+– —–+——-+——+——-+——-+ |
|||||||||||||
Pre Amplifier (SR560) |
|
||||||||||||
Signal Analyzer (SR785) |
|
||||||||||||
Period of measurement (min) |
100min |
||||||||||||
He (l) level consumption |
|||||||||||||
Data files |
Saving data from SR830, SR785 <<m370_MFN_Plusses_T5K_ Fast sweep +1T to 0 wait 10 min and sweep to -1T_30mTmin_SR785_1.5Hz__aver 18_Vin 5V_sens 5mV .dat>> <<m370.1_SR830.dat>> |
||||||||||||
Plot |
m371_MFN_Plusses_T5K_ Fast sweep +1T to 0 wait 30 min and sweep to -1T_30mTmin_SR785_1.5Hz__aver 23_Vin 5V_sens 5mV
Dienstag, 9. Juli 2019
15:00
Angle of sensor θ |
+90 |
||||||||||||
|---|---|---|---|---|---|---|---|---|---|---|---|---|---|
Temp |
5 K |
||||||||||||
Plusses(1-13) |
|||||||||||||
|
|||||||||||||
Fast sweep +1T to 0 wait 30 min and sweep to -1T_30mTmin |
|||||||||||||
Resistance Box |
+——–+- ——-+——–+—+——–+——+ | |imag | *1 MΩ* | |imag | | |imag | | | e9377| |
+========+= =======+========+===+========+======+ | |imag | *1 MΩ* | |imag | | |imag | *10* | | e9380| |
+——–+- ——-+——–+—+——–+——+ |
||||||||||||
+——+– —–+——-+——+——-+——-+ | Sens | 5 mV | | | 5 V | f | *113 | | |
|
| 9386| | | | |
+======+== =====+=======+======+=======+=======+ | τ | * 3 | * | AC | Gr | *N | | | m s | Input | | ound* | ormal | | |
|
| | | | erve* |
+——+– —–+——-+——+——-+——-+ |
|||||||||||||
Pre Amplifier (SR560) |
|
||||||||||||
Signal Analyzer (SR785) |
|
||||||||||||
Period of measurement (min) |
100min |
||||||||||||
He (l) level consumption |
|||||||||||||
Data files |
Saving data from SR830, SR785 <<m371_MFN_Plusses_T5K_ Fast sweep +1T to 0 wait 30 min and sweep to -1T_30mTmin_SR785_1.5Hz__aver 23_Vin 5V_sens 5mV .dat>> <<m371.1_SR830.dat>> |
||||||||||||
Plot |
Measurement Plan #8_winde-ranging field with slow sweeping_comparison magnetic crosses and empty
08 July 2019
12:37
winde-ranging field with slow sweeping from positive saturation
Nr |
St ruct |
Field From* |
Field To* |
SR [mT/ min] |
F- Span |
V in(V) /sens (mV)/ gain |
Avg |
Time [min, Hr] |
Date* |
|---|---|---|---|---|---|---|---|---|---|
Pl usses |
+1T |
-1T |
5 |
1.5 |
5 /5/20 |
94 |
4 00min |
09.07 .2019 _Tues day_ |
|
` m373:
note: #m373 %20MF N_Cro sses_ sweep %20af ter_s atura tion% 20at% 20+1T _%20+ 1T%20 to%20 -1%20 T_5mT .min_ 1.5%2 0Hz_5 V_ave rages %2094 _T=5K _sens %202m V&sec tion- id={5 FAD05 18-E3 49-4A 07-93 E8-5D 105BD 4AEB4 }&pag e-id= {F41B 0352- E6FC- 4BDF- A6ED- 6807B 9F63B 65}&e nd&ba se-pa th=ht tps:/ /goet heuni versi taet. share point .com/ sites /Proj ect4/ SiteA ssets /Proj ect%2 04%20 Noteb ook/M agnet ic%20 Flux% 20Noi se.on e>`__ |
Cr osses |
+1T |
-1T |
5 |
1.5 |
5 /2/20 |
94 |
4 00min |
10 .07.2 019_W ednes day_ |
Empty |
+1T |
-1T |
5 |
1.5 |
5 /5/20 |
94 |
4 00min |
10 .07.2 019_W ednes day_ |
m372: MFN_Plusses_sweep after_saturation at +1T_ +1T to -1 T_5mT.min_1.5 Hz_5V_averages 94_T=5K_over night
Dienstag, 9. Juli 2019
22:49
Angle of sensor θ |
+90 |
||||||||||||
|---|---|---|---|---|---|---|---|---|---|---|---|---|---|
Temp |
5 K |
||||||||||||
Plusses(1-13) |
|||||||||||||
|
|||||||||||||
sweep after_saturation at +1T_ 1T to -1 T_5mT.min |
|||||||||||||
Resistance Box |
+——–+- ——-+——–+—+——–+——+ | |imag | *1 MΩ* | |imag | | |imag | | | e9577| |
+========+= =======+========+===+========+======+ | |imag | *1 MΩ* | |imag | | |imag | *10* | | e9580| |
+——–+- ——-+——–+—+——–+——+ |
||||||||||||
+——+– —–+——-+——+——-+——-+ | Sens | 5 mV | | | 5 V | f | *113 | | |
|
| 9586| | | | |
+======+== =====+=======+======+=======+=======+ | τ | * 3 | * | AC | Gr | *N | | | m s | Input | | ound* | ormal | | |
|
| | | | erve* |
+——+– —–+——-+——+——-+——-+ |
|||||||||||||
Pre Amplifier (SR560) |
|
||||||||||||
Signal Analyzer (SR785) |
|
||||||||||||
Period of measurement (min) |
400min 0ver night |
||||||||||||
He (l) level consumption |
|||||||||||||
Data files |
<<m372_MFN_Plusses_T5K_sweep_1000mT to -1000 mT_at +1T saturation_Rate 5mTmin_SR785_1.5Hz__aver 94_Vin 5V_sens 5mV .dat>> |
||||||||||||
Plot |
m373: MFN_Crosses_sweep after_saturation at +1T_ +1T to -1 T_5mT.min_1.5 Hz_5V_averages 94_T=5K_sens 2mV
Mittwoch, 10. Juli 2019
07:15
Angle of sensor θ |
+90 |
||||||||||||
|---|---|---|---|---|---|---|---|---|---|---|---|---|---|
Temp |
5 K |
||||||||||||
Crosses (2-12) |
|||||||||||||
|
|||||||||||||
sweep after_saturation at +1T_ 1T to -1 T_5mT.min |
|||||||||||||
Resistance Box |
+——–+- ——-+——–+—+——–+——+ | |imag | *1 MΩ* | |imag | | |imag | | | e9647| |
+========+= =======+========+===+========+======+ | |imag | *1 MΩ* | |imag | | |imag | *10* | | e9650| |
+——–+- ——-+——–+—+——–+——+ |
||||||||||||
+——+– —–+——-+——+——-+——-+ | Sens | 2 mV | | | 5 V | f | *113 | | |
|
| 9656| | | | |
+======+== =====+=======+======+=======+=======+ | τ | * 3 | * | AC | Gr | *N | | | m s | Input | | ound* | ormal | | |
|
| | | | erve* |
+——+– —–+——-+——+——-+——-+ |
|||||||||||||
Pre Amplifier (SR560) |
|
||||||||||||
Signal Analyzer (SR785) |
|
||||||||||||
Period of measurement (min) |
400min |
||||||||||||
He (l) level consumption |
|||||||||||||
Data files |
<<m373_MFN_Crosses_T5K_sweep_1000mT to -1000 mT_at +1T saturation_Rate 5mTmin_SR785_1.5Hz__aver 94_Vin 5V_sens 2mV .dat>> |
||||||||||||
Plot |
m374: MFN_Empty_sweep after_saturation at +1T_ +1T to -1 T_5mT.min_1.5 Hz_5V_averages 94_T=5K_sens 5mV
Mittwoch, 10. Juli 2019
14:42
Angle of sensor θ |
+90 |
||||||||||||
|---|---|---|---|---|---|---|---|---|---|---|---|---|---|
Temp |
5 K |
||||||||||||
Empty (6-8) |
|||||||||||||
|
|||||||||||||
sweep after_saturation at +1T_ 1T to -1 T_5mT.min |
|||||||||||||
Resistance Box |
+——–+- ——-+——–+—+——–+——+ | |imag | *1 MΩ* | |imag | | |imag | | | e9717| |
+========+= =======+========+===+========+======+ | |imag | *1 MΩ* | |imag | | |imag | *10* | | e9720| |
+——–+- ——-+——–+—+——–+——+ |
||||||||||||
+——+– —–+——-+——+——-+——-+ | Sens | 5
|
| image | | | Hz* |
|
| 9726| | | | |
+======+== =====+=======+======+=======+=======+ | τ | * 3 | * | AC | Gr | *N | | | m s | Input | | ound* | ormal | | |
|
| | | | erve* |
+——+– —–+——-+——+——-+——-+ |
|||||||||||||
Pre Amplifier (SR560) |
|
||||||||||||
Signal Analyzer (SR785) |
|
||||||||||||
Period of measurement (min) |
400min |
||||||||||||
He (l) level consumption |
|||||||||||||
Data files |
<<m374_MFNEmpty_T5K_sweep_1000mT to -1000 mT_at +1T saturation_Rate 5mTmin_SR785_1.5Hz__aver 94_Vin 5V_sens 5mV .dat>> |
||||||||||||
Plot |
Filling He(l)
- Date
Freitag, 12. Juli 2019
08:36
Filling date |
12.07.2019 |
|---|---|
Before (in) |
26 |
After (in) |
36.22 |
consumption |
214-123=26 L |
Person |
MAM |
Notes:
‘To do:
Schematic for Janis He (L) level
- Date
12 July 2019
13:17
<<Schematic for Janis He level.pdf>>
Measurement Plan #9_winde-ranging field with slow sweeping_comparison
Freitag, 12. Juli 2019
08:42
- Structure
Crosses and Empty
winde-ranging field with slow sweeping_from negative saturation
Nr |
St ruct |
Field From* |
Field To* |
SR [mT/ min] |
F- Span |
V in(V) /sens (mV)/ gain |
Avg |
Time [min, Hr] |
Date* |
|---|---|---|---|---|---|---|---|---|---|
Pl usses |
-1T |
+1T |
5 |
1.5 |
5 /5/20 |
94 |
4 00min |
12.0 7.201 9_Fri day_ |
|
Cr osses |
-1T |
+1T |
5 |
1.5 |
5 /2/20 |
94 |
4 00min |
||
Empty |
-1T |
+1T |
5 |
1.5 |
5 /5/20 |
94 |
4 00min |
Important to note: after filling He, the temperature was not stable. I took 5 hours to be stable . choosing the sensitivity extremly depend on the temperature. It was on overload when choosing 5mV. After stabalizing the temp, 5mV was OK.
No need to do the rest since the results similar in the positive and negative saturation for plusses
m375: MFN_Plusses_sweep after_saturation at -1T_-1T to +1 T_5mT.min_1.5 Hz_5V_averages 94_T=5K
Freitag, 12. Juli 2019
12:56
Angle of sensor θ |
+90 |
||||||||||||
|---|---|---|---|---|---|---|---|---|---|---|---|---|---|
Temp |
5 K |
||||||||||||
Plusses(1-13) |
|||||||||||||
|
|||||||||||||
sweep after_saturation at -1T_ -1T to +1 T_5mT.min |
|||||||||||||
Resistance Box |
+——–+- ——-+——–+—+——–+——+ | |imag | *1 MΩ* | |imag | | |imag | | | e9829| |
+========+= =======+========+===+========+======+ | |imag | *1 MΩ* | |imag | | |imag | *10* | | e9832| |
+——–+- ——-+——–+—+——–+——+ |
||||||||||||
+——+– —–+——-+——+——-+——-+ | Sens | 5 mV | | | 5 V | f | *113 | | |
|
| 9838| | | | |
+======+== =====+=======+======+=======+=======+ | τ | * 3 | * | AC | Gr | *N | | | m s | Input | | ound* | ormal | | |
|
| | | | erve* |
+——+– —–+——-+——+——-+——-+ |
|||||||||||||
Pre Amplifier (SR560) |
|
||||||||||||
Signal Analyzer (SR785) |
|
||||||||||||
Period of measurement (min) |
400min |
||||||||||||
He (l) level consumption |
|||||||||||||
Data files |
<<m375_MFN Plusses_T5K_sweep_-1000mT to 1000 mT_at -1T saturation_Rate 5mTmin_SR785_1.5Hz__aver 94_Vin 5V_sens 5mV .dat>> |
||||||||||||
Plot |
Important to note: after filling He, the temperature was not stable. I took 5 hours to be stable . choosing the sensitivity extremly depend on the temperature. It was on overload when choosing 5mV. After stabalizing the temp, 5mV was OK.
Measurement Plan #10_winde-ranging field with different sweep rate__for plusses
Freitag, 12. Juli 2019
21:36
winde-ranging field with different sweep rates _from positive saturation
Nr |
St ruct |
Field From* |
Field To* |
SR [mT/ min] |
F- Span |
V in(V) /sens (mV)/ gain |
Avg |
Time [min, Hr] |
Date* |
|---|---|---|---|---|---|---|---|---|---|
Pl usses |
+1T |
-1T |
50 |
1.5 |
5 /5/20 |
10 |
40 |
12.0 7.201 9_Fri day_ |
|
Pl usses |
+1T |
-1T |
25 |
1.5 |
5 /5/20 |
19 |
80 |
12.0 7.201 9_Fri day_ |
m376: MFN_Plusses_sweep after_saturation at +1T_+1T to -1 T_50mT.min_1.5 Hz_5V_averages 10_T=5K
Freitag, 12. Juli 2019
20:30
Angle of sensor θ |
+90 |
||||||||||||
|---|---|---|---|---|---|---|---|---|---|---|---|---|---|
Temp |
5 K |
||||||||||||
Plusses(1-13) |
|||||||||||||
|
|||||||||||||
sweep after_saturation at +1T_ -1T to +1 T_50mT.min |
|||||||||||||
Resistance Box |
+——–+- ——-+——–+—+——–+——+ | |imag | *1 MΩ* | |imag | | |imag | | | e9899| |
+========+= =======+========+===+========+======+ | |imag | *1 MΩ* | |imag | | |imag | *10* | | e9902| |
+——–+- ——-+——–+—+——–+——+ |
||||||||||||
+——+– —–+——-+——+——-+——-+ | Sens | 5 mV | | | 5 V | f | *113 | | |
|
| 9908| | | | |
+======+== =====+=======+======+=======+=======+ | τ | * 3 | * | AC | Gr | *N | | | m s | Input | | ound* | ormal | | |
|
| | | | erve* |
+——+– —–+——-+——+——-+——-+ |
|||||||||||||
Pre Amplifier (SR560) |
|
||||||||||||
Signal Analyzer (SR785) |
|
||||||||||||
Period of measurement (min) |
40min |
||||||||||||
He (l) level consumption |
|||||||||||||
Data files |
<<m376_MFN Plusses_T5K_sweep_1000mT to -1000 mT_at +1T saturation_Rate 50mTmin_SR785_1.5Hz__aver10_Vin 5V_sens 5mV .dat>> |
||||||||||||
Plot |
m377: MFN_Plusses_sweep after_saturation at +1T_+1T to -1 T_25mT.min_1.5 Hz_5V_averages 19_T=5K
Freitag, 12. Juli 2019
21:49
Angle of sensor θ |
+90 |
||||||||||||
|---|---|---|---|---|---|---|---|---|---|---|---|---|---|
Temp |
5 K |
||||||||||||
Plusses(1-13) |
|||||||||||||
|
|||||||||||||
sweep after_saturation at +1T_ -1T to +1 T_25mT.min |
|||||||||||||
Resistance Box |
+——–+- ——-+——–+—+——–+——+ | |imag | *1 MΩ* | |imag | | |imag | | | e9969| |
+========+= =======+========+===+========+======+ | |imag | *1 MΩ* | |imag | | |imag | *10* | | e9972| |
+——–+- ——-+——–+—+——–+——+ |
||||||||||||
+——+– —–+——-+——+——-+——-+ | Sens | 5 mV | | | 5 V | f | *113 | | |
|
| 9978| | | | |
+======+== =====+=======+======+=======+=======+ | τ | * 3 | * | AC | Gr | *N | | | m s | Input | | ound* | ormal | | |
|
| | | | erve* |
+——+– —–+——-+——+——-+——-+ |
|||||||||||||
Pre Amplifier (SR560) |
|
||||||||||||
Signal Analyzer (SR785) |
|
||||||||||||
Period of measurement (min) |
80min |
||||||||||||
He (l) level consumption |
|||||||||||||
Data files |
<<m377_MFN Plusses_T5K_sweep_1000mT to -1000 mT_at +1T saturation_Rate 25mTmin_SR785_1.5Hz__aver19_Vin 5V_sens 5mV .dat>> |
||||||||||||
Plot |
Measurement Plan #11_different applied current__for plusses
- Date
Samstag, 13. Juli 2019
21:36
Different applying current _from positive saturation
Nr |
St ruct |
Field From* |
Field To* |
Satur ation at* |
SR [mT/ min] |
F- Span |
V in(V) /sens (mV)/ gain |
Avg |
Time [min, Hr] |
Date* |
|---|---|---|---|---|---|---|---|---|---|---|
Pl usses |
100mT |
100mT |
-1T |
5 |
1.5 |
1 /5/20 |
10 |
40 |
1 3.07. 2019_ Satur day_ |
|
Pl usses |
100mT |
100mT |
-1T |
5 |
1.5 |
1 /5/20 |
10 |
40 |
1 3.07. 2019_ Satur day_ |
m378: MFN_Plusses_sweep after_saturation at -1T_-0.1T to +0.1 T_5mT.min_1.5 Hz_1V_averages 19_T=5K
Samstag, 13. Juli 2019
08:22
Angle of sensor θ |
+90 |
||||||||||||
|---|---|---|---|---|---|---|---|---|---|---|---|---|---|
Temp |
5 K |
||||||||||||
Plusses(1-13) |
|||||||||||||
|
|||||||||||||
saturation at -1T_-0.1T to +0.1 T_5mT.min |
|||||||||||||
Resistance Box |
+——–+- ——-+——–+—+——–+——+ | |image | *1 MΩ* | |image | | |image | | | 10052| |
+========+= =======+========+===+========+======+ | |image | *1 MΩ* | |image | | |image | *10* | | 10055| |
+——–+- ——-+——–+—+——–+——+ |
||||||||||||
+——+– —–+——-+——+——-+——-+ | Sens | 1 mV | |i | 1 V | f | *113 | | |
|
| 0061| | | | |
+======+== =====+=======+======+=======+=======+ | τ | * 3 | * | AC | Gr | *N | | | m s | Input | | ound* | ormal | | |
|
| | | | erve* |
+——+– —–+——-+——+——-+——-+ |
|||||||||||||
Pre Amplifier (SR560) |
|
||||||||||||
Signal Analyzer (SR785) |
|
||||||||||||
Period of measurement (min) |
40min |
||||||||||||
He (l) level consumption |
|||||||||||||
Data files |
<<m378_MFN Plusses_T5K_sweep_100 mT to -100 mT_at -1T saturation_Rate 5mTmin_SR785_1.5Hz__aver10_Vin 1V_sens 1mV .dat>> <<Reviewer 1 Review Attachment 1_Round 2.pdf>> |
||||||||||||
Plot |
m379: MFN_Plusses_sweep after_saturation at -1T_-0.1T to +0.1 T_5mT.min_1.5 Hz_2V_averages 19_T=5K
Samstag, 13. Juli 2019
10:30
Angle of sensor θ |
+90 |
||||||||||||
|---|---|---|---|---|---|---|---|---|---|---|---|---|---|
Temp |
5 K |
||||||||||||
Plusses(1-13) |
|||||||||||||
|
|||||||||||||
saturation at -1T_-0.1T to +0.1 T_5mT.min |
|||||||||||||
Resistance Box |
+——–+- ——-+——–+—+——–+——+ | |image | *1 MΩ* | |image | | |image | | | 10122| |
+========+= =======+========+===+========+======+ | |image | *1 MΩ* | |image | | |image | *10* | | 10125| |
+——–+- ——-+——–+—+——–+——+ |
||||||||||||
+——+– —–+——-+——+——-+——-+ | Sens | 2 mV | |i | 2V | f | *113 | | |
|
| 0131| | | | |
+======+== =====+=======+======+=======+=======+ | τ | * 3 | * | AC | Gr | *N | | | m s | Input | | ound* | ormal | | |
|
| | | | erve* |
+——+– —–+——-+——+——-+——-+ |
|||||||||||||
Pre Amplifier (SR560) |
|
||||||||||||
Signal Analyzer (SR785) |
|
||||||||||||
Period of measurement (min) |
40min |
||||||||||||
He (l) level consumption |
|||||||||||||
Data files |
<<m379_MFN Plusses_T5K_sweep_100 mT to -100 mT_at -1T saturation_Rate 5mTmin_SR785_1.5Hz__aver10_Vin 2V_sens 2mV .dat>> |
||||||||||||
Plot |
m380: MFN_Plusses_sweep after_saturation at -1T_-0.1T to +0.1 T_5mT.min_1.5 Hz_3V_averages 19_T=5K
Samstag, 13. Juli 2019
12:26
Angle of sensor θ |
+90 |
||||||||||||
|---|---|---|---|---|---|---|---|---|---|---|---|---|---|
Temp |
5 K |
||||||||||||
Plusses(1-13) |
|||||||||||||
|
|||||||||||||
saturation at -1T_-0.1T to +0.1 T_5mT.min |
|||||||||||||
Resistance Box |
+——–+- ——-+——–+—+——–+——+ | |image | *1 MΩ* | |image | | |image | | | 10192| |
+========+= =======+========+===+========+======+ | |image | *1 MΩ* | |image | | |image | *10* | | 10195| |
+——–+- ——-+——–+—+——–+——+ |
||||||||||||
+——+– —–+——-+——+——-+——-+ | Sens | 2 mV | |i | 3V | f | *113 | | |
|
| 0201| | | | |
+======+== =====+=======+======+=======+=======+ | τ | * 3 | * | AC | Gr | *N | | | m s | Input | | ound* | ormal | | |
|
| | | | erve* |
+——+– —–+——-+——+——-+——-+ |
|||||||||||||
Pre Amplifier (SR560) |
|
||||||||||||
Signal Analyzer (SR785) |
|
||||||||||||
Period of measurement (min) |
40min |
||||||||||||
He (l) level consumption |
|||||||||||||
Data files |
<<m380_MFN Plusses_T5K_sweep_100 mT to -100 mT_at -1T saturation_Rate 5mTmin_SR785_1.5Hz__aver10_Vin 3V_sens 2mV .dat>> |
||||||||||||
Plot |
m381: MFN_Plusses_sweep after_saturation at -1T_-0.1T to +0.1 T_5mT.min_1.5 Hz_4V_averages 19_T=5K
Samstag, 13. Juli 2019
13:30
Angle of sensor θ |
+90 |
||||||||||||
|---|---|---|---|---|---|---|---|---|---|---|---|---|---|
Temp |
5 K |
||||||||||||
Plusses(1-13) |
|||||||||||||
|
|||||||||||||
saturation at -1T_-0.1T to +0.1 T_5mT.min |
|||||||||||||
Resistance Box |
+——–+- ——-+——–+—+——–+——+ | |image | *1 MΩ* | |image | | |image | | | 10262| |
+========+= =======+========+===+========+======+ | |image | *1 MΩ* | |image | | |image | *10* | | 10265| |
+——–+- ——-+——–+—+——–+——+ |
||||||||||||
+——+– —–+——-+——+——-+——-+ | Sens | 5 mV | |i | 4V | f | *113 | | |
|
| 0271| | | | |
+======+== =====+=======+======+=======+=======+ | τ | * 3 | * | AC | Gr | *N | | | m s | Input | | ound* | ormal | | |
|
| | | | erve* |
+——+– —–+——-+——+——-+——-+ |
|||||||||||||
Pre Amplifier (SR560) |
|
||||||||||||
Signal Analyzer (SR785) |
|
||||||||||||
Period of measurement (min) |
40min |
||||||||||||
He (l) level consumption |
|||||||||||||
Data files |
<<m381_MFN Plusses_T5K_sweep_100 mT to -100 mT_at -1T saturation_Rate 5mTmin_SR785_1.5Hz__aver10_Vin 4V_sens 5mV .dat>> |
||||||||||||
Plot |
m382: MFN_Plusses_sweep after_saturation at -1T_-0.1T to +0.1 T_5mT.min_1.5 Hz_4V_averages 19_T=5K
Samstag, 13. Juli 2019
15:43
Angle of sensor θ |
+90 |
||||||||||||
|---|---|---|---|---|---|---|---|---|---|---|---|---|---|
Temp |
5 K |
||||||||||||
Plusses(1-13) |
|||||||||||||
|
|||||||||||||
saturation at -1T_-0.1T to +0.1 T_5mT.min |
|||||||||||||
Resistance Box |
+——–+- ——-+——–+—+——–+——+ | |image | *1 MΩ* | |image | | |image | | | 10332| |
+========+= =======+========+===+========+======+ | |image | *1 MΩ* | |image | | |image | *10* | | 10335| |
+——–+- ——-+——–+—+——–+——+ |
||||||||||||
+——+– —–+——-+——+——-+——-+ | Sens | 5 mV | |i | 5V | f | *113 | | |
|
| 0341| | | | |
+======+== =====+=======+======+=======+=======+ | τ | * 3 | * | AC | Gr | *N | | | m s | Input | | ound* | ormal | | |
|
| | | | erve* |
+——+– —–+——-+——+——-+——-+ |
|||||||||||||
Pre Amplifier (SR560) |
|
||||||||||||
Signal Analyzer (SR785) |
|
||||||||||||
Period of measurement (min) |
40min |
||||||||||||
He (l) level consumption |
|||||||||||||
Data files |
<<m382_MFN Plusses_T5K_sweep_100 mT to -100 mT_at -1T saturation_Rate 5mTmin_SR785_1.5Hz__aver10_Vin 5V_sens 5mV .dat>> |
||||||||||||
Plot |
Filling He(l)
- Date
Dienstag, 16. Juli 2019
17:06
Filling date |
16.07.2019 |
|---|---|
Before (in) |
17 |
After (in) |
36.22 |
consumption |
110-35=75 L |
Person |
MAM |
Notes:
‘To do:
Measurement Plan #12_plusses_different regimes (DB = 50mT)
- Date
Donnerstag, 18. Juli 2019
16:10
different regimes (DB = 50mT)
- Date
+=======+=====+=======+=======+=======+=======+=======+=======+=======+=======+=======+=======+ | `m3 | 1 | Pl | 25mT | -25mT | +1T | .5 | 1.5 | 5 | 24 | 100 | 1 | | 83: < | | usses | | | | | | /5/20 | | | 8.07. | | oneno | | | | | | | | | | | 2019_ | | te:#m | | | | | | | | | | | Thurs | | 383%2 | | | | | | | | | | | day\_ | | 0MFN_ | | | | | | | | | | | | | sweep | | | | | | | | | | | | | (sat) | | | | | | | | | | | | | _25mT | | | | | | | | | | | | | %20to | | | | | | | | | | | | | %20-2 | | | | | | | | | | | | | 5mT_P | | | | | | | | | | | | | lusse | | | | | | | | | | | | | s&sec | | | | | | | | | | | | | tion- | | | | | | | | | | | | | id={5 | | | | | | | | | | | | | FAD05 | | | | | | | | | | | | | 18-E3 | | | | | | | | | | | | | 49-4A | | | | | | | | | | | | | 07-93 | | | | | | | | | | | | | E8-5D | | | | | | | | | | | | | 105BD | | | | | | | | | | | | | 4AEB4 | | | | | | | | | | | | | }&pag | | | | | | | | | | | | | e-id= | | | | | | | | | | | | | {B8D2 | | | | | | | | | | | | | D915- | | | | | | | | | | | | | FF82- | | | | | | | | | | | | | 46DA- | | | | | | | | | | | | | BEBC- | | | | | | | | | | | | | FD952 | | | | | | | | | | | | | BFB6B | | | | | | | | | | | | | 0B}&e | | | | | | | | | | | | | nd&ba | | | | | | | | | | | | | se-pa | | | | | | | | | | | | | th=ht | | | | | | | | | | | | | tps:/ | | | | | | | | | | | | | /goet | | | | | | | | | | | | | heuni | | | | | | | | | | | | | versi | | | | | | | | | | | | | taet. | | | | | | | | | | | | | share | | | | | | | | | | | | | point | | | | | | | | | | | | | .com/ | | | | | | | | | | | | | sites | | | | | | | | | | | | | /Proj | | | | | | | | | | | | | ect4/ | | | | | | | | | | | | | SiteA | | | | | | | | | | | | | ssets | | | | | | | | | | | | | /Proj | | | | | | | | | | | | | ect%2 | | | | | | | | | | | | | 04%20 | | | | | | | | | | | | | Noteb | | | | | | | | | | | | | ook/M | | | | | | | | | | | | | agnet | | | | | | | | | | | | | ic%20 | | | | | | | | | | | | | Flux% | | | | | | | | | | | | | 20Noi | | | | | | | | | | | | | se.on | | | | | | | | | | | | | e>`__ | | | | | | | | | | | | +——-+—–+——-+——-+——-+——-+——-+——-+——-+——-+——-+——-+ | `m3 | | Pl | -25mT | -75mT | no | .5 | 1.5 | 5 | 24 | 100 | 19.0 | | 84: < | | usses | | | pre- | | | /5/20 | | | 7.201 | | oneno | | | | | satur | | | | | | 9_Fri | | te:#m | | | | | ation | | | | | | day\_ | | 384%2 | | | | | | | | | | | | | 0MFN_ | | | | | | | | | | | | | sweep | | | | | | | | | | | | | (sat) | | | | | | | | | | | | | _-25m | | | | | | | | | | | | | T-%20 | | | | | | | | | | | | | to%20 | | | | | | | | | | | | | -75mT | | | | | | | | | | | | | _Plus | | | | | | | | | | | | | ses%2 | | | | | | | | | | | | | 0with | | | | | | | | | | | | | out%2 | | | | | | | | | | | | | 0satu | | | | | | | | | | | | | ratio | | | | | | | | | | | | | n&sec | | | | | | | | | | | | | tion- | | | | | | | | | | | | | id={5 | | | | | | | | | | | | | FAD05 | | | | | | | | | | | | | 18-E3 | | | | | | | | | | | | | 49-4A | | | | | | | | | | | | | 07-93 | | | | | | | | | | | | | E8-5D | | | | | | | | | | | | | 105BD | | | | | | | | | | | | | 4AEB4 | | | | | | | | | | | | | }&pag | | | | | | | | | | | | | e-id= | | | | | | | | | | | | | {2889 | | | | | | | | | | | | | CF00- | | | | | | | | | | | | | 04CE- | | | | | | | | | | | | | 4407- | | | | | | | | | | | | | 9277- | | | | | | | | | | | | | F5197 | | | | | | | | | | | | | E8CC2 | | | | | | | | | | | | | CC}&e | | | | | | | | | | | | | nd&ba | | | | | | | | | | | | | se-pa | | | | | | | | | | | | | th=ht | | | | | | | | | | | | | tps:/ | | | | | | | | | | | | | /goet | | | | | | | | | | | | | heuni | | | | | | | | | | | | | versi | | | | | | | | | | | | | taet. | | | | | | | | | | | | | share | | | | | | | | | | | | | point | | | | | | | | | | | | | .com/ | | | | | | | | | | | | | sites | | | | | | | | | | | | | /Proj | | | | | | | | | | | | | ect4/ | | | | | | | | | | | | | SiteA | | | | | | | | | | | | | ssets | | | | | | | | | | | | | /Proj | | | | | | | | | | | | | ect%2 | | | | | | | | | | | | | 04%20 | | | | | | | | | | | | | Noteb | | | | | | | | | | | | | ook/M | | | | | | | | | | | | | agnet | | | | | | | | | | | | | ic%20 | | | | | | | | | | | | | Flux% | | | | | | | | | | | | | 20Noi | | | | | | | | | | | | | se.on | | | | | | | | | | | | | e>`__ | | | | | | | | | | | | +——-+—–+——-+——-+——-+——-+——-+——-+——-+——-+——-+——-+ | `m3 | 2 | Pl | -25mT | -75mT | +1T | .5 | 1.5 | 5 | 24 | 100 | 19.0 | | 85: < | | usses | | | | | | /5/20 | | | 7.201 | | oneno | | | | | | | | | | | 9_Fri | | te:#m | | | | | | | | | | | day\_ | | 385%2 | | | | | | | | | | | | | 0MFN_ | | | | | | | | | | | | | sweep | | | | | | | | | | | | | (sat) | | | | | | | | | | | | | _-25m | | | | | | | | | | | | | T-%20 | | | | | | | | | | | | | to%20 | | | | | | | | | | | | | -75mT | | | | | | | | | | | | | _Plus | | | | | | | | | | | | | ses%2 | | | | | | | | | | | | | 0with | | | | | | | | | | | | | %20+1 | | | | | | | | | | | | | Tsatu | | | | | | | | | | | | | ratio | | | | | | | | | | | | | n&sec | | | | | | | | | | | | | tion- | | | | | | | | | | | | | id={5 | | | | | | | | | | | | | FAD05 | | | | | | | | | | | | | 18-E3 | | | | | | | | | | | | | 49-4A | | | | | | | | | | | | | 07-93 | | | | | | | | | | | | | E8-5D | | | | | | | | | | | | | 105BD | | | | | | | | | | | | | 4AEB4 | | | | | | | | | | | | | }&pag | | | | | | | | | | | | | e-id= | | | | | | | | | | | | | {C524 | | | | | | | | | | | | | 477E- | | | | | | | | | | | | | 5C24- | | | | | | | | | | | | | 44D2- | | | | | | | | | | | | | 8FF6- | | | | | | | | | | | | | 7B6FF | | | | | | | | | | | | | 79C66 | | | | | | | | | | | | | 18}&e | | | | | | | | | | | | | nd&ba | | | | | | | | | | | | | se-pa | | | | | | | | | | | | | th=ht | | | | | | | | | | | | | tps:/ | | | | | | | | | | | | | /goet | | | | | | | | | | | | | heuni | | | | | | | | | | | | | versi | | | | | | | | | | | | | taet. | | | | | | | | | | | | | share | | | | | | | | | | | | | point | | | | | | | | | | | | | .com/ | | | | | | | | | | | | | sites | | | | | | | | | | | | | /Proj | | | | | | | | | | | | | ect4/ | | | | | | | | | | | | | SiteA | | | | | | | | | | | | | ssets | | | | | | | | | | | | | /Proj | | | | | | | | | | | | | ect%2 | | | | | | | | | | | | | 04%20 | | | | | | | | | | | | | Noteb | | | | | | | | | | | | | ook/M | | | | | | | | | | | | | agnet | | | | | | | | | | | | | ic%20 | | | | | | | | | | | | | Flux% | | | | | | | | | | | | | 20Noi | | | | | | | | | | | | | se.on | | | | | | | | | | | | | e>`__ | | | | | | | | | | | | +——-+—–+——-+——-+——-+——-+——-+——-+——-+——-+——-+——-+ | m38 | 3 | Pl | -75mT | - | +1T | .5 | 1.5 | 5 | 24 | 100 | 19.0 | | 6: | | | | | | | | | | | | +——-+—–+——-+——-+——-+——-+——-+——-+——-+——-+——-+——-+ | m3 | 4 | | -125 | -175 | | | | | | | | | 87 | | | | | | | | | | | | +——-+—–+——-+——-+——-+——-+——-+——-+——-+——-+——-+——-+ | m3 | 5 | | -175 | -225 | | | | | | | | | 88 | | | | | | | | | | | | +——-+—–+——-+——-+——-+——-+——-+——-+——-+——-+——-+——-+ | m3 | 6 | | -225 | -275 | | | | | | | | | 89 | | | | | | | | | | | | +——-+—–+——-+——-+——-+——-+——-+——-+——-+——-+——-+——-+ | m3 | 7 | | -275 | -325 | | | | | | | | | 90 | | | | | | | | | | | | +——-+—–+——-+——-+——-+——-+——-+——-+——-+——-+——-+——-+ | m3 | 8 | | -300 | -350 | | | | | | | | | 91 | | | | | | | | | | | | +——-+—–+——-+——-+——-+——-+——-+——-+——-+——-+——-+——-+ | m3 | 9 | | -350 | -400 | | | | | | | | | 92 | | | | | | | | | | | | +——-+—–+——-+——-+——-+——-+——-+——-+——-+——-+——-+——-+ | m3 | 10 | | -400 | -450 | | | | | | | | | 93 | | | | | | | | | | | | +——-+—–+——-+——-+——-+——-+——-+——-+——-+——-+——-+——-+ | m3 | 11 | | -450 | -500 | | | | | | | | | 94 | | | | | | | | | | | | +——-+—–+——-+——-+——-+——-+——-+——-+——-+——-+——-+——-+ | m3 | 12 | | -500 | -550 | | | | | | | | | 95 | | | | | | | | | | | | +——-+—–+——-+——-+——-+——-+——-+——-+——-+——-+——-+——-+ | m3 | 13 | | -575 | -625 | | | | | | | Fi | | 96 | | | | | | | | | | | | +——-+—–+——-+——-+——-+——-+——-+——-+——-+——-+——-+——-+ | m397 | 14 | | -625 | -575 | -1T | | | | | | | | : | | | | | | | | | | | | +——-+—–+——-+——-+——-+——-+——-+——-+——-+——-+——-+——-+ | ` | 15 | | -50 | 0 | | | | | | | | | m398: | | | | | | | | | | | | | <one | | | | | | | | | | | | | note: | | | | | | | | | | | | | #m398 | | | | | | | | | | | | | %20MF | | | | | | | | | | | | | N_swe | | | | | | | | | | | | | ep(sa | | | | | | | | | | | | | t)_-5 | | | | | | | | | | | | | 0mT-% | | | | | | | | | | | | | 20to% | | | | | | | | | | | | | 200mT | | | | | | | | | | | | | _Plus | | | | | | | | | | | | | ses%2 | | | | | | | | | | | | | 0with | | | | | | | | | | | | | %20-1 | | | | | | | | | | | | | Tsatu | | | | | | | | | | | | | ratio | | | | | | | | | | | | | n&sec | | | | | | | | | | | | | tion- | | | | | | | | | | | | | id={5 | | | | | | | | | | | | | FAD05 | | | | | | | | | | | | | 18-E3 | | | | | | | | | | | | | 49-4A | | | | | | | | | | | | | 07-93 | | | | | | | | | | | | | E8-5D | | | | | | | | | | | | | 105BD | | | | | | | | | | | | | 4AEB4 | | | | | | | | | | | | | }&pag | | | | | | | | | | | | | e-id= | | | | | | | | | | | | | {F393 | | | | | | | | | | | | | F24F- | | | | | | | | | | | | | 8D6B- | | | | | | | | | | | | | 4F2B- | | | | | | | | | | | | | 9953- | | | | | | | | | | | | | DE7F7 | | | | | | | | | | | | | AE124 | | | | | | | | | | | | | 44}&e | | | | | | | | | | | | | nd&ba | | | | | | | | | | | | | se-pa | | | | | | | | | | | | | th=ht | | | | | | | | | | | | | tps:/ | | | | | | | | | | | | | /goet | | | | | | | | | | | | | heuni | | | | | | | | | | | | | versi | | | | | | | | | | | | | taet. | | | | | | | | | | | | | share | | | | | | | | | | | | | point | | | | | | | | | | | | | .com/ | | | | | | | | | | | | | sites | | | | | | | | | | | | | /Proj | | | | | | | | | | | | | ect4/ | | | | | | | | | | | | | SiteA | | | | | | | | | | | | | ssets | | | | | | | | | | | | | /Proj | | | | | | | | | | | | | ect%2 | | | | | | | | | | | | | 04%20 | | | | | | | | | | | | | Noteb | | | | | | | | | | | | | ook/M | | | | | | | | | | | | | agnet | | | | | | | | | | | | | ic%20 | | | | | | | | | | | | | Flux% | | | | | | | | | | | | | 20Noi | | | | | | | | | | | | | se.on | | | | | | | | | | | | | e>`__ | | | | | | | | | | | | +——-+—–+——-+——-+——-+——-+——-+——-+——-+——-+——-+——-+ | m399 | 16 | | -575 | -625 | +1T | | | | | | R | | : | | | | | | | | | | | | +——-+—–+——-+——-+——-+——-+——-+——-+——-+——-+——-+——-+ | m400 | 17 | | 0 | 50 | -1T | | | | | | | | : | | | | | | | | | | | | +——-+—–+——-+——-+——-+——-+——-+——-+——-+——-+——-+——-+ | m401 | 18 | | 50 | 0 | +1T | | | | | | | | : | | | | | | | | | | | | +——-+—–+——-+——-+——-+——-+——-+——-+——-+——-+——-+——-+ | ` | 19 | | 0 | -50 | | | | | | | | | m402: | | | | | | | | | | | | | <one | | | | | | | | | | | | | note: | | | | | | | | | | | | | #m402 | | | | | | | | | | | | | %20MF | | | | | | | | | | | | | N_swe | | | | | | | | | | | | | ep(sa | | | | | | | | | | | | | t)_0m | | | | | | | | | | | | | T-%20 | | | | | | | | | | | | | to%20 | | | | | | | | | | | | | -50mT | | | | | | | | | | | | | _Plus | | | | | | | | | | | | | ses%2 | | | | | | | | | | | | | 0with | | | | | | | | | | | | | %20+1 | | | | | | | | | | | | | Tsatu | | | | | | | | | | | | | ratio | | | | | | | | | | | | | n&sec | | | | | | | | | | | | | tion- | | | | | | | | | | | | | id={5 | | | | | | | | | | | | | FAD05 | | | | | | | | | | | | | 18-E3 | | | | | | | | | | | | | 49-4A | | | | | | | | | | | | | 07-93 | | | | | | | | | | | | | E8-5D | | | | | | | | | | | | | 105BD | | | | | | | | | | | | | 4AEB4 | | | | | | | | | | | | | }&pag | | | | | | | | | | | | | e-id= | | | | | | | | | | | | | {660E | | | | | | | | | | | | | 811D- | | | | | | | | | | | | | C6B0- | | | | | | | | | | | | | 457D- | | | | | | | | | | | | | 8DE9- | | | | | | | | | | | | | 5809A | | | | | | | | | | | | | 90B19 | | | | | | | | | | | | | D4}&e | | | | | | | | | | | | | nd&ba | | | | | | | | | | | | | se-pa | | | | | | | | | | | | | th=ht | | | | | | | | | | | | | tps:/ | | | | | | | | | | | | | /goet | | | | | | | | | | | | | heuni | | | | | | | | | | | | | versi | | | | | | | | | | | | | taet. | | | | | | | | | | | | | share | | | | | | | | | | | | | point | | | | | | | | | | | | | .com/ | | | | | | | | | | | | | sites | | | | | | | | | | | | | /Proj | | | | | | | | | | | | | ect4/ | | | | | | | | | | | | | SiteA | | | | | | | | | | | | | ssets | | | | | | | | | | | | | /Proj | | | | | | | | | | | | | ect%2 | | | | | | | | | | | | | 04%20 | | | | | | | | | | | | | Noteb | | | | | | | | | | | | | ook/M | | | | | | | | | | | | | agnet | | | | | | | | | | | | | ic%20 | | | | | | | | | | | | | Flux% | | | | | | | | | | | | | 20Noi | | | | | | | | | | | | | se.on | | | | | | | | | | | | | e>`__ | | | | | | | | | | | | +——-+—–+——-+——-+——-+——-+——-+——-+——-+——-+——-+——-+ | M403 | 20 | | 25 | -25 | | | | | | | | | : | | | | | | | | | | | | +——-+—–+——-+——-+——-+——-+——-+——-+——-+——-+——-+——-+ | M404 | 21 | | -25 | -75 | | | | | | | | | : | | | | | | | | | | | | +——-+—–+——-+——-+——-+——-+——-+——-+——-+——-+——-+——-+ | M405 | 22 | | -25 | -75 | No | | | | | | | | : | | | | | | | | | | | | +——-+—–+——-+——-+——-+——-+——-+——-+——-+——-+——-+——-+ | M406 | 23 | | 619 | 569 | | | | | | | | | : | | | | | | | | | | | | +——-+—–+——-+——-+——-+——-+——-+——-+——-+——-+——-+——-+ | M407 | 24 | | 0 | -50 | | | | | | | | | : | | | | | | | | | | | | +——-+—–+——-+——-+——-+——-+——-+——-+——-+——-+——-+——-+
Plot
- Date
Donnerstag, 15. August 2019
15:09
All 0 to -650
<<sweep_measplan12.pdf>>
<<sweep_measplan12.png>>
0 to -300
<<sweep_measplan12_0-300.pdf>>
-300 to -650
<<sweep_measplan12-300-650.pdf>>
<<sweep_measplan12-300-650.png>>
<<sweep_measplan12_0-300.png>>
Data
- Date
Donnerstag, 15. August 2019
14:32
<<m401_MFN Plusses_T5K_sweep_50 mT to 0 mT_+1T saturation_Rate 0.5mTmin_SR785_1.5Hz__aver24_Vin 5V_sens 5mV_field_interval_effect.dat>>
<<m383_MFN Plusses_T5K_sweep_25 mT to -25 mT_at 1T saturation_Rate 5mTmin_SR785_1.5Hz__aver10_Vin 5V_sens 5mV .dat>>
<<m383_MFN Plusses_T5K_sweep_25 mT to -25 mT_at 1T saturation_Rate 0.5mTmin_SR785_1.5Hz__aver24_Vin 5V_sens 5mV_field_interval_effect.dat>>
<<m384_MFN Plusses_T5K_sweep_-25 mT to -75 mT_without saturation_Rate 0.5mTmin_SR785_1.5Hz__aver24_Vin 5V_sens 5mV_field_interval_effect.dat>>
<<_m385_MFN Plusses_T5K_sweep_-25 mT to -75 mT_+1T saturation_Rate 0.5mTmin_SR785_1.5Hz__aver24_Vin 5V_sens 5mV_field_interval_effect.dat>>
<<_m386_MFN Plusses_T5K_sweep_-25 mT to -75 mT_+1T saturation_Rate 0.5mTmin_SR785_1.5Hz__aver24_Vin 5V_sens 5mV_field_interval_effect.dat>>
<<m386_MFN Plusses_T5K_sweep_-75 mT to -125 mT_+1T saturation_Rate 0.5mTmin_SR785_1.5Hz__aver24_Vin 5V_sens 5mV_field_interval_effect.dat>>
<<m386_Temp.dat>>
<<m387_MFN Plusses_T5K_sweep_-125 mT to -175 mT_+1T saturation_Rate 0.5mTmin_SR785_1.5Hz__aver24_Vin 5V_sens 5mV_field_interval_effect.dat>>
<<m388_MFN Plusses_T5K_sweep_-175 mT to -225 mT_+1T saturation_Rate 0.5mTmin_SR785_1.5Hz__aver24_Vin 5V_sens 5mV_field_interval_effect.dat>>
<<m389_MFN Plusses_T5K_sweep_-225 mT to -275 mT_+1T saturation_Rate 0.5mTmin_SR785_1.5Hz__aver24_Vin 5V_sens 5mV_field_interval_effect.dat>>
<<m390_MFN Plusses_T5K_sweep_-275 mT to -325 mT_+1T saturation_Rate 0.5mTmin_SR785_1.5Hz__aver24_Vin 5V_sens 5mV_field_interval_effect.dat>>
<<m391_MFN Plusses_T5K_sweep_-300 mT to -350 mT_+1T saturation_Rate 0.5mTmin_SR785_1.5Hz__aver24_Vin 5V_sens 5mV_field_interval_effect.dat>>
<<m392_MFN Plusses_T5K_sweep_-350 mT to -400 mT_+1T saturation_Rate 0.5mTmin_SR785_1.5Hz__aver24_Vin 5V_sens 5mV_field_interval_effect.dat>>
<<m388_Temp.dat>>
<<m393_MFN Plusses_T5K_sweep_-400 mT to -450 mT_+1T saturation_Rate 0.5mTmin_SR785_1.5Hz__aver24_Vin 5V_sens 5mV_field_interval_effect.dat>>
<<m394_MFN Plusses_T5K_sweep_-450 mT to -500 mT_+1T saturation_Rate 0.5mTmin_SR785_1.5Hz__aver24_Vin 5V_sens 5mV_field_interval_effect.dat>>
<<m402_MFN Plusses_T5K_sweep_0 mT to -50 mT_+1T saturation_Rate 0.5mTmin_SR785_1.5Hz__aver24_Vin 5V_sens 5mV_field_interval_effect.dat>><<m403_MFN Plusses_T5K_sweep_25 mT to 0 mT_+1T saturation_Rate 0.5mTmin_SR785_1.5Hz__aver24_Vin 5V_sens 5mV_field_interval_effect.dat>><<m403_MFN Plusses_T5K_sweep_25 mT to -25 mT_+1T saturation_Rate 0.5mTmin_SR785_1.5Hz__aver24_Vin 5V_sens 5mV_field_interval_effect.dat>><<m404_MFN Plusses_T5K_sweep_-25 mT to -75 mT_NO saturation_Rate 0.5mTmin_SR785_1.5Hz__aver24_Vin 5V_sens 5mV_field_interval_effect.dat>><<m405_MFN Plusses_T5K_sweep_-25 mT to -75 mT_+1T saturation_Rate 0.5mTmin_SR785_1.5Hz__aver24_Vin 5V_sens 5mV_field_interval_effect.dat>><<m396_MFN Plusses_T5K_sweep_-575 mT to -625 mT_+1T saturation_Rate 0.5mTmin_SR785_1.5Hz__aver24_Vin 5V_sens 5mV_field_interval_effect.dat>><<m400_MFN Plusses_T5K_sweep_0 mT to 50 mT_-1T saturation_Rate 0.5mTmin_SR785_1.5Hz__aver24_Vin 5V_sens 5mV_field_interval_effect.dat>><<m392_Temp.dat>><<m399_MFN Plusses_T5K_sweep_-575 mT to 625 mT_+1T saturation_Rate 0.5mTmin_SR785_1.5Hz__aver24_Vin 5V_sens 5mV_field_interval_effect.dat>><<m397_MFN Plusses_T5K_sweep_-625 mT to -575 mT_-1T saturation_Rate 0.5mTmin_SR785_1.5Hz__aver24_Vin 5V_sens 5mV_field_interval_effect.dat>><<m397_Temp.dat>><<m395_MFN Plusses_T5K_sweep_-500 mT to -550 mT_+1T saturation_Rate 0.5mTmin_SR785_1.5Hz__aver24_Vin 5V_sens 5mV_field_interval_effect.dat>><<m398_MFN Plusses_T5K_sweep_-50 mT to 0 mT_-1T saturation_Rate 0.5mTmin_SR785_1.5Hz__aver24_Vin 5V_sens 5mV_field_interval_effect.dat>>
m383: MFN_sweep(sat)_25mT to -25mT_Plusses
- Date
Donnerstag, 18. Juli 2019
16:18
Angle of sensor θ |
+90 |
||||||||||||
|---|---|---|---|---|---|---|---|---|---|---|---|---|---|
Temp |
5 K |
||||||||||||
Plusses |
|||||||||||||
|
|||||||||||||
saturation at +1T_25mT to -25mT_0.5mT.min |
|||||||||||||
Resistance Box |
+——–+- ——-+——–+—+——–+——+ | |image | *1 MΩ* | |image | | |image | | | 10404| |
+========+= =======+========+===+========+======+ | |image | *1 MΩ* | |image | | |image | *10* | | 10407| |
+——–+- ——-+——–+—+——–+——+ |
||||||||||||
+——+– —–+——-+——+——-+——-+ | Sens | 5 |
| mage1 | | | Hz* |
|
| 0413| | | | |
+======+== =====+=======+======+=======+=======+ | τ | * 3 | * | AC | Gr | *N | | | m s | Input | | ound* | ormal | | |
|
| | | | erve* |
+——+– —–+——-+——+——-+——-+ |
|||||||||||||
Pre Amplifier (SR560) |
|
||||||||||||
Signal Analyzer (SR785) |
|
||||||||||||
Period of measurement (min) |
100 min |
||||||||||||
He (l) level consumption |
|||||||||||||
Data files |
<<m383_MFN Plusses_T5K_sweep_25 mT to -25 mT_at 1T saturation_Rate 0.5mTmin_SR785_1.5Hz__aver24_Vin 5V_sens 5mV_field_interval_effect.dat>> |
||||||||||||
Plot |
m384: MFN_sweep(sat)_-25mT- to -75mT_Plusses without saturation
- Date
Freitag, 19. Juli 2019
11:04
Angle of sensor θ |
+90 |
||||||||||||
|---|---|---|---|---|---|---|---|---|---|---|---|---|---|
Temp |
5 K |
||||||||||||
Plusses |
|||||||||||||
|
|||||||||||||
without saturation -25mT to -75mT_0.5mT.min |
|||||||||||||
Resistance Box |
+——–+- ——-+——–+—+——–+——+ | |image | *1 MΩ* | |image | | |image | | | 10474| |
+========+= =======+========+===+========+======+ | |image | *1 MΩ* | |image | | |image | *10* | | 10477| |
+——–+- ——-+——–+—+——–+——+ |
||||||||||||
+——+– —–+——-+——+——-+——-+ | Sens | 5 |
| mage1 | | | Hz* |
|
| 0483| | | | |
+======+== =====+=======+======+=======+=======+ | τ | * 3 | * | AC | Gr | *N | | | m s | Input | | ound* | ormal | | |
|
| | | | erve* |
+——+– —–+——-+——+——-+——-+ |
|||||||||||||
Pre Amplifier (SR560) |
|
||||||||||||
Signal Analyzer (SR785) |
|
||||||||||||
Period of measurement (min) |
100 min |
||||||||||||
He (l) level consumption |
|||||||||||||
Data files |
<<m384_MFN Plusses_T5K_sweep_-25 mT to -75 mT_without saturation_Rate 0.5mTmin_SR785_1.5Hz__aver24_Vin 5V_sens 5mV_field_interval_effect.dat>> |
||||||||||||
Plot |
m385: MFN_sweep(sat)_-25mT- to -75mT_Plusses with +1Tsaturation
- Date
Freitag, 19. Juli 2019
11:04
Angle of sensor θ |
+90 |
||||||||||||
|---|---|---|---|---|---|---|---|---|---|---|---|---|---|
Temp |
5 K |
||||||||||||
Plusses |
|||||||||||||
|
|||||||||||||
with saturation +1T saturation -25mT to -75mT_0.5mT.min |
|||||||||||||
Resistance Box |
+——–+- ——-+——–+—+——–+——+ | |image | *1 MΩ* | |image | | |image | | | 10544| |
+========+= =======+========+===+========+======+ | |image | *1 MΩ* | |image | | |image | *10* | | 10547| |
+——–+- ——-+——–+—+——–+——+ |
||||||||||||
+——+– —–+——-+——+——-+——-+ | Sens | 5 |
| mage1 | | | Hz* |
|
| 0553| | | | |
+======+== =====+=======+======+=======+=======+ | τ | * 3 | * | AC | Gr | *N | | | m s | Input | | ound* | ormal | | |
|
| | | | erve* |
+——+– —–+——-+——+——-+——-+ |
|||||||||||||
Pre Amplifier (SR560) |
|
||||||||||||
Signal Analyzer (SR785) |
|
||||||||||||
Period of measurement (min) |
100 min |
||||||||||||
He (l) level consumption |
|||||||||||||
Data files |
<<_m385_MFN Plusses_T5K_sweep_-25 mT to -75 mT_+1T saturation_Rate 0.5mTmin_SR785_1.5Hz__aver24_Vin 5V_sens 5mV_field_interval_effect.dat>> |
||||||||||||
Plot |
Filling He(l)
- Date
Freitag, 19. Juli 2019
17:01
Filling date |
19.07.2019 |
|---|---|
Before (in) |
28 |
After (in) |
36.22 |
consumption |
110-35=75 L |
Person |
MAM |
Notes:
‘To do:
Filling He(l)
- Date
Dienstag, 23. Juli 2019
09:02
Filling date |
23.07.2019 |
|---|---|
Before (in) |
26 |
After (in) |
36.22 |
consumption |
|
Person |
MAM |
Notes:
‘To do:
Filling He(l)
- Date
Freitag, 26. Juli 2019
12:10
Filling date |
26.07.2019 |
|---|---|
Before (in) |
28 |
After (in) |
36.22 |
consumption |
|
Person |
MAM |
Notes:
‘To do:
Filling He(l)
- Date
Dienstag, 30. Juli 2019
12:10
Filling date |
30.07.2019 |
|---|---|
Before (in) |
26 |
After (in) |
36.22 |
consumption |
|
Person |
MAM |
Notes:
‘To do:
Filling He(l)
- Date
Freitag, 2. August 2019
12:10
Filling date |
02.08.2019 |
|---|---|
Before (in) |
26 |
After (in) |
36.22 |
consumption |
|
Person |
MAM |
Notes:
‘To do:
Filling He(l)_5 in left
- Date
Donnerstag, 8. August 2019
14:11
Filling date |
08.08.2019 |
|---|---|
Before (in) |
2 |
After (in) |
32.22 |
consumption |
|
Person |
MAM |
Notes:
‘To do:
Filling He(l)_8 in left
- Date
Montag, 12. August 2019
16:17
Filling date |
12.08.2019 |
|---|---|
Before (in) |
8 |
After (in) |
36 |
consumption |
|
Person |
MAM |
Notes:
‘To do:
m386: MFN_sweep(sat)_-75mT- to -125mT_Plusses with +1Tsaturation
- Date
Freitag, 19. Juli 2019
11:04
Angle of sensor θ |
+90 |
||||||||||||
|---|---|---|---|---|---|---|---|---|---|---|---|---|---|
Temp |
5 K |
||||||||||||
Plusses |
|||||||||||||
|
|||||||||||||
with saturation +1T saturation -75mT to -125mT_0.5mT.min |
|||||||||||||
Resistance Box |
+——–+- ——-+——–+—+——–+——+ | |image | *1 MΩ* | |image | | |image | | | 10614| |
+========+= =======+========+===+========+======+ | |image | *1 MΩ* | |image | | |image | *10* | | 10617| |
+——–+- ——-+——–+—+——–+——+ |
||||||||||||
+——+– —–+——-+——+——-+——-+ | Sens | 5 |
| mage1 | | | Hz* |
|
| 0623| | | | |
+======+== =====+=======+======+=======+=======+ | τ | * 3 | * | AC | Gr | *N | | | m s | Input | | ound* | ormal | | |
|
| | | | erve* |
+——+– —–+——-+——+——-+——-+ |
|||||||||||||
Pre Amplifier (SR560) |
|
||||||||||||
Signal Analyzer (SR785) |
|
||||||||||||
Period of measurement (min) |
100 min |
||||||||||||
He (l) level consumption |
|||||||||||||
Data files |
|||||||||||||
Plot |
m387: MFN_sweep(sat)_-125mT- to -175mT_Plusses with +1Tsaturation
- Date
Freitag, 19. Juli 2019
11:04
Angle of sensor θ |
+90 |
||||||||||||
|---|---|---|---|---|---|---|---|---|---|---|---|---|---|
Temp |
5 K |
||||||||||||
Plusses |
|||||||||||||
|
|||||||||||||
with saturation +1T saturation -125mT to -175mT_0.5mT.min |
|||||||||||||
Resistance Box |
+——–+- ——-+——–+—+——–+——+ | |image | *1 MΩ* | |image | | |image | | | 10684| |
+========+= =======+========+===+========+======+ | |image | *1 MΩ* | |image | | |image | *10* | | 10687| |
+——–+- ——-+——–+—+——–+——+ |
||||||||||||
+——+– —–+——-+——+——-+——-+ | Sens | 5 |
| mage1 | | | Hz* |
|
| 0693| | | | |
+======+== =====+=======+======+=======+=======+ | τ | * 3 | * | AC | Gr | *N | | | m s | Input | | ound* | ormal | | |
|
| | | | erve* |
+——+– —–+——-+——+——-+——-+ |
|||||||||||||
Pre Amplifier (SR560) |
|
||||||||||||
Signal Analyzer (SR785) |
|
||||||||||||
Period of measurement (min) |
100 min |
||||||||||||
He (l) level consumption |
|||||||||||||
Data files |
|||||||||||||
Plot |
m388: MFN_sweep(sat)_-175mT- to -225mT_Plusses with +1Tsaturation
- Date
Dienstag, 13. August 2019
20:57
Angle of sensor θ |
+90 |
||||||||||||
|---|---|---|---|---|---|---|---|---|---|---|---|---|---|
Temp |
5 K |
||||||||||||
Plusses |
|||||||||||||
|
|||||||||||||
with saturation +1T saturation -175mT to -225mT_0.5mT.min |
|||||||||||||
Resistance Box |
+——–+- ——-+——–+—+——–+——+ | |image | *1 MΩ* | |image | | |image | | | 10755| |
+========+= =======+========+===+========+======+ | |image | *1 MΩ* | |image | | |image | *10* | | 10758| |
+——–+- ——-+——–+—+——–+——+ |
||||||||||||
+——+– —–+——-+——+——-+——-+ | Sens | 5 |
| mage1 | | | Hz* |
|
| 0764| | | | |
+======+== =====+=======+======+=======+=======+ | τ | * 3 | * | AC | Gr | *N | | | m s | Input | | ound* | ormal | | |
|
| | | | erve* |
+——+– —–+——-+——+——-+——-+ |
|||||||||||||
Pre Amplifier (SR560) |
|
||||||||||||
Signal Analyzer (SR785) |
|
||||||||||||
Period of measurement (min) |
100 min |
||||||||||||
He (l) level consumption |
|||||||||||||
Data files |
|||||||||||||
Plot |
m389: MFN_sweep(sat)_-225mT- to -275mT_Plusses with +1Tsaturation
- Date
Mittwoch, 14. August 2019
10:19
Angle of sensor θ |
+90 |
||||||||||||
|---|---|---|---|---|---|---|---|---|---|---|---|---|---|
Temp |
5 K |
||||||||||||
Plusses |
|||||||||||||
|
|||||||||||||
with saturation +1T saturation -225mT to -275mT_0.5mT.min |
|||||||||||||
Resistance Box |
+——–+- ——-+——–+—+——–+——+ | |image | *1 MΩ* | |image | | |image | | | 10826| |
+========+= =======+========+===+========+======+ | |image | *1 MΩ* | |image | | |image | *10* | | 10829| |
+——–+- ——-+——–+—+——–+——+ |
||||||||||||
+——+– —–+——-+——+——-+——-+ | Sens | 5 |
| mage1 | | | Hz* |
|
| 0835| | | | |
+======+== =====+=======+======+=======+=======+ | τ | * 3 | * | AC | Gr | *N | | | m s | Input | | ound* | ormal | | |
|
| | | | erve* |
+——+– —–+——-+——+——-+——-+ |
|||||||||||||
Pre Amplifier (SR560) |
|
||||||||||||
Signal Analyzer (SR785) |
|
||||||||||||
Period of measurement (min) |
100 min |
||||||||||||
He (l) level consumption |
|||||||||||||
Data files |
|||||||||||||
Plot |
m390: MFN_sweep(sat)_-275mT- to -325mT_Plusses with +1Tsaturation
- Date
Donnerstag, 15. August 2019
12:57
Angle of sensor θ |
+90 |
||||||||||||
|---|---|---|---|---|---|---|---|---|---|---|---|---|---|
Temp |
5 K |
||||||||||||
Plusses |
|||||||||||||
|
|||||||||||||
with saturation +1T saturation -275mT to -325mT_0.5mT.min |
|||||||||||||
Resistance Box |
+——–+- ——-+——–+—+——–+——+ | |image | *1 MΩ* | |image | | |image | | | 10896| |
+========+= =======+========+===+========+======+ | |image | *1 MΩ* | |image | | |image | *10* | | 10899| |
+——–+- ——-+——–+—+——–+——+ |
||||||||||||
+——+– —–+——-+——+——-+——-+ | Sens | 5 |
| mage1 | | | Hz* |
|
| 0905| | | | |
+======+== =====+=======+======+=======+=======+ | τ | * 3 | * | AC | Gr | *N | | | m s | Input | | ound* | ormal | | |
|
| | | | erve* |
+——+– —–+——-+——+——-+——-+ |
|||||||||||||
Pre Amplifier (SR560) |
|
||||||||||||
Signal Analyzer (SR785) |
|
||||||||||||
Period of measurement (min) |
100 min |
||||||||||||
He (l) level consumption |
|||||||||||||
Data files |
|||||||||||||
Plot |
m391: MFN_sweep(sat)_-300mT- to -350mT_Plusses with +1Tsaturation
- Date
Donnerstag, 15. August 2019
12:58
Angle of sensor θ |
+90 |
||||||||||||
|---|---|---|---|---|---|---|---|---|---|---|---|---|---|
Temp |
5 K |
||||||||||||
Plusses |
|||||||||||||
|
|||||||||||||
with saturation +1T saturation -300mT to -350mT_0.5mT.min |
|||||||||||||
Resistance Box |
+——–+- ——-+——–+—+——–+——+ | |image | *1 MΩ* | |image | | |image | | | 10967| |
+========+= =======+========+===+========+======+ | |image | *1 MΩ* | |image | | |image | *10* | | 10970| |
+——–+- ——-+——–+—+——–+——+ |
||||||||||||
+——+– —–+——-+——+——-+——-+ | Sens | 5 |
| mage1 | | | Hz* |
|
| 0976| | | | |
+======+== =====+=======+======+=======+=======+ | τ | * 3 | * | AC | Gr | *N | | | m s | Input | | ound* | ormal | | |
|
| | | | erve* |
+——+– —–+——-+——+——-+——-+ |
|||||||||||||
Pre Amplifier (SR560) |
|
||||||||||||
Signal Analyzer (SR785) |
|
||||||||||||
Period of measurement (min) |
100 min |
||||||||||||
He (l) level consumption |
|||||||||||||
Data files |
<<m391_info.dat>> |
||||||||||||
Plot |
<<m391_MFN Plusses_T5K_sweep_-300 mT to -350 mT_+1T saturation_Rate 0.5mTmin_SR785_1.5Hz__aver24_Vin 5V_sens 5mV_field_interval_effect.dat>>
m392: MFN_sweep(sat)_-350mT- to -400mT_Plusses with +1Tsaturation
- Date
Donnerstag, 15. August 2019
12:58
Angle of sensor θ |
+90 |
||||||||||||
|---|---|---|---|---|---|---|---|---|---|---|---|---|---|
Temp |
5 K |
||||||||||||
Plusses |
|||||||||||||
|
|||||||||||||
with saturation +1T saturation -350mT to -400mT_0.5mT.min |
|||||||||||||
Resistance Box |
+——–+- ——-+——–+—+——–+——+ | |image | *1 MΩ* | |image | | |image | | | 11038| |
+========+= =======+========+===+========+======+ | |image | *1 MΩ* | |image | | |image | *10* | | 11041| |
+——–+- ——-+——–+—+——–+——+ |
||||||||||||
+——+– —–+——-+——+——-+——-+ | Sens | 5 |
| mage1 | | | Hz* |
|
| 1047| | | | |
+======+== =====+=======+======+=======+=======+ | τ | * 3 | * | AC | Gr | *N | | | m s | Input | | ound* | ormal | | |
|
| | | | erve* |
+——+– —–+——-+——+——-+——-+ |
|||||||||||||
Pre Amplifier (SR560) |
|
||||||||||||
Signal Analyzer (SR785) |
|
||||||||||||
Period of measurement (min) |
100 min |
||||||||||||
He (l) level consumption |
|||||||||||||
Data files |
|||||||||||||
Plot |
m393: MFN_sweep(sat)_-400mT- to -450mT_Plusses with +1Tsaturation
- Date
Donnerstag, 15. August 2019
12:59
Angle of sensor θ |
+90 |
||||||||||||
|---|---|---|---|---|---|---|---|---|---|---|---|---|---|
Temp |
5 K |
||||||||||||
Plusses |
|||||||||||||
|
|||||||||||||
with saturation +1T saturation -400mT to -450mT_0.5mT.min |
|||||||||||||
Resistance Box |
+——–+- ——-+——–+—+——–+——+ | |image | *1 MΩ* | |image | | |image | | | 11108| |
+========+= =======+========+===+========+======+ | |image | *1 MΩ* | |image | | |image | *10* | | 11111| |
+——–+- ——-+——–+—+——–+——+ |
||||||||||||
+——+– —–+——-+——+——-+——-+ | Sens | 5 |
| mage1 | | | Hz* |
|
| 1117| | | | |
+======+== =====+=======+======+=======+=======+ | τ | * 3 | * | AC | Gr | *N | | | m s | Input | | ound* | ormal | | |
|
| | | | erve* |
+——+– —–+——-+——+——-+——-+ |
|||||||||||||
Pre Amplifier (SR560) |
|
||||||||||||
Signal Analyzer (SR785) |
|
||||||||||||
Period of measurement (min) |
100 min |
||||||||||||
He (l) level consumption |
|||||||||||||
Data files |
|||||||||||||
Plot |
m395: MFN_sweep(sat)_-500mT- to -550mT_Plusses with +1Tsaturation
- Date
Donnerstag, 15. August 2019
13:00
Angle of sensor θ |
+90 |
||||||||||||
|---|---|---|---|---|---|---|---|---|---|---|---|---|---|
Temp |
5 K |
||||||||||||
Plusses |
|||||||||||||
|
|||||||||||||
with saturation +1T saturation -500mT to -550mT_0.5mT.min |
|||||||||||||
Resistance Box |
+——–+- ——-+——–+—+——–+——+ | |image | *1 MΩ* | |image | | |image | | | 11178| |
+========+= =======+========+===+========+======+ | |image | *1 MΩ* | |image | | |image | *10* | | 11181| |
+——–+- ——-+——–+—+——–+——+ |
||||||||||||
+——+– —–+——-+——+——-+——-+ | Sens | 5 |
| mage1 | | | Hz* |
|
| 1187| | | | |
+======+== =====+=======+======+=======+=======+ | τ | * 3 | * | AC | Gr | *N | | | m s | Input | | ound* | ormal | | |
|
| | | | erve* |
+——+– —–+——-+——+——-+——-+ |
|||||||||||||
Pre Amplifier (SR560) |
|
||||||||||||
Signal Analyzer (SR785) |
|
||||||||||||
Period of measurement (min) |
100 min |
||||||||||||
He (l) level consumption |
|||||||||||||
Data files |
|||||||||||||
Plot |
m396: MFN_sweep(sat)_-575mT- to -625mT_Plusses with +1Tsaturation
- Date
Donnerstag, 15. August 2019
13:00
Angle of sensor θ |
+90 |
||||||||||||
|---|---|---|---|---|---|---|---|---|---|---|---|---|---|
Temp |
5 K |
||||||||||||
Plusses |
|||||||||||||
|
|||||||||||||
with saturation +1T saturation -575mT to -625mT_0.5mT.min |
|||||||||||||
Resistance Box |
+——–+- ——-+——–+—+——–+——+ | |image | *1 MΩ* | |image | | |image | | | 11248| |
+========+= =======+========+===+========+======+ | |image | *1 MΩ* | |image | | |image | *10* | | 11251| |
+——–+- ——-+——–+—+——–+——+ |
||||||||||||
+——+– —–+——-+——+——-+——-+ | Sens | 5 |
| mage1 | | | Hz* |
|
| 1257| | | | |
+======+== =====+=======+======+=======+=======+ | τ | * 3 | * | AC | Gr | *N | | | m s | Input | | ound* | ormal | | |
|
| | | | erve* |
+——+– —–+——-+——+——-+——-+ |
|||||||||||||
Pre Amplifier (SR560) |
|
||||||||||||
Signal Analyzer (SR785) |
|
||||||||||||
Period of measurement (min) |
100 min |
||||||||||||
He (l) level consumption |
|||||||||||||
Data files |
|||||||||||||
Plot |
Filling He(l)
- Date
Donnerstag, 15. August 2019
17:50
Filling date |
15.08.2019 |
|---|---|
Before (in) |
27 |
After (in) |
36 |
consumption |
|
Person |
JP/MAM |
Notes:
‘To do:
m397: MFN_sweep(sat)_-625mT- to -575mT_Plusses with -1Tsaturation
- Date
Freitag, 16. August 2019
09:53
Angle of sensor θ |
+90 |
||||||||||||
|---|---|---|---|---|---|---|---|---|---|---|---|---|---|
Temp |
5 K |
||||||||||||
Plusses |
|||||||||||||
|
|||||||||||||
with saturation -1T saturation -625mT to -575mT_0.5mT.min |
|||||||||||||
Resistance Box |
+——–+- ——-+——–+—+——–+——+ | |image | *1 MΩ* | |image | | |image | | | 11318| |
+========+= =======+========+===+========+======+ | |image | *1 MΩ* | |image | | |image | *10* | | 11321| |
+——–+- ——-+——–+—+——–+——+ |
||||||||||||
+——+– —–+——-+——+——-+——-+ | Sens | 5 |
| mage1 | | | Hz* |
|
| 1327| | | | |
+======+== =====+=======+======+=======+=======+ | τ | * 3 | * | AC | Gr | *N | | | m s | Input | | ound* | ormal | | |
|
| | | | erve* |
+——+– —–+——-+——+——-+——-+ |
|||||||||||||
Pre Amplifier (SR560) |
|
||||||||||||
Signal Analyzer (SR785) |
|
||||||||||||
Period of measurement (min) |
100 min |
||||||||||||
He (l) level consumption |
|||||||||||||
Data files |
|||||||||||||
Plot |
m398: MFN_sweep(sat)_-50mT- to 0mT_Plusses with -1Tsaturation
- Date
Freitag, 16. August 2019
09:54
Angle of sensor θ |
+90 |
||||||||||||
|---|---|---|---|---|---|---|---|---|---|---|---|---|---|
Temp |
5 K |
||||||||||||
Plusses |
|||||||||||||
|
|||||||||||||
with saturation -1T saturation -50mT to 0mT_0.5mT.min |
|||||||||||||
Resistance Box |
+——–+- ——-+——–+—+——–+——+ | |image | *1 MΩ* | |image | | |image | | | 11388| |
+========+= =======+========+===+========+======+ | |image | *1 MΩ* | |image | | |image | *10* | | 11391| |
+——–+- ——-+——–+—+——–+——+ |
||||||||||||
+——+– —–+——-+——+——-+——-+ | Sens | 5 |
| mage1 | | | Hz* |
|
| 1397| | | | |
+======+== =====+=======+======+=======+=======+ | τ | * 3 | * | AC | Gr | *N | | | m s | Input | | ound* | ormal | | |
|
| | | | erve* |
+——+– —–+——-+——+——-+——-+ |
|||||||||||||
Pre Amplifier (SR560) |
|
||||||||||||
Signal Analyzer (SR785) |
|
||||||||||||
Period of measurement (min) |
100 min |
||||||||||||
He (l) level consumption |
|||||||||||||
Data files |
|||||||||||||
Plot |
m399: MFN_sweep(sat)_-575mT- to -625mT_Plusses with +1Tsaturation
- Date
Montag, 19. August 2019
15:41
Angle of sensor θ |
+90 |
||||||||||||
|---|---|---|---|---|---|---|---|---|---|---|---|---|---|
Temp |
5 K |
||||||||||||
Plusses |
|||||||||||||
|
|||||||||||||
with saturation +1T saturation -575mT to -625mT_0.5mT.min |
|||||||||||||
Resistance Box |
+——–+- ——-+——–+—+——–+——+ | |image | *1 MΩ* | |image | | |image | | | 11458| |
+========+= =======+========+===+========+======+ | |image | *1 MΩ* | |image | | |image | *10* | | 11461| |
+——–+- ——-+——–+—+——–+——+ |
||||||||||||
+——+– —–+——-+——+——-+——-+ | Sens | 5 |
| mage1 | | | Hz* |
|
| 1467| | | | |
+======+== =====+=======+======+=======+=======+ | τ | * 3 | * | AC | Gr | *N | | | m s | Input | | ound* | ormal | | |
|
| | | | erve* |
+——+– —–+——-+——+——-+——-+ |
|||||||||||||
Pre Amplifier (SR560) |
|
||||||||||||
Signal Analyzer (SR785) |
|
||||||||||||
Period of measurement (min) |
100 min |
||||||||||||
He (l) level consumption |
MEASUREMENT REPEATED |
||||||||||||
Data files |
|||||||||||||
Plot |
m400: MFN_sweep(sat)_0mT- to 50mT_Plusses with -1Tsaturation
- Date
Montag, 19. August 2019
15:41
Angle of sensor θ |
+90 |
||||||||||||
|---|---|---|---|---|---|---|---|---|---|---|---|---|---|
Temp |
5 K |
||||||||||||
Plusses |
|||||||||||||
|
|||||||||||||
with saturation -1T saturation 0mT to 50mT_0.5mT.min |
|||||||||||||
Resistance Box |
+——–+- ——-+——–+—+——–+——+ | |image | *1 MΩ* | |image | | |image | | | 11528| |
+========+= =======+========+===+========+======+ | |image | *1 MΩ* | |image | | |image | *10* | | 11531| |
+——–+- ——-+——–+—+——–+——+ |
||||||||||||
+——+– —–+——-+——+——-+——-+ | Sens | 5 |
| mage1 | | | Hz* |
|
| 1537| | | | |
+======+== =====+=======+======+=======+=======+ | τ | * 3 | * | AC | Gr | *N | | | m s | Input | | ound* | ormal | | |
|
| | | | erve* |
+——+– —–+——-+——+——-+——-+ |
|||||||||||||
Pre Amplifier (SR560) |
|
||||||||||||
Signal Analyzer (SR785) |
|
||||||||||||
Period of measurement (min) |
100 min |
||||||||||||
He (l) level consumption |
|||||||||||||
Data files |
|||||||||||||
Plot |
m400: MFN_sweep(sat)_0mT- to 50mT_Plusses with -1Tsaturation
- Date
Donnerstag, 13. Februar 2020
13:12
Angle of sensor θ |
+90 |
||||||||||||
|---|---|---|---|---|---|---|---|---|---|---|---|---|---|
Temp |
5 K |
||||||||||||
Plusses |
|||||||||||||
|
|||||||||||||
with saturation -1T saturation 0mT to 50mT_0.5mT.min |
|||||||||||||
Resistance Box |
+——–+- ——-+——–+—+——–+——+ | |image | *1 MΩ* | |image | | |image | | | 11598| |
+========+= =======+========+===+========+======+ | |image | *1 MΩ* | |image | | |image | *10* | | 11601| |
+——–+- ——-+——–+—+——–+——+ |
||||||||||||
+——+– —–+——-+——+——-+——-+ | Sens | 5 |
| mage1 | | | Hz* |
|
| 1607| | | | |
+======+== =====+=======+======+=======+=======+ | τ | * 3 | * | AC | Gr | *N | | | m s | Input | | ound* | ormal | | |
|
| | | | erve* |
+——+– —–+——-+——+——-+——-+ |
|||||||||||||
Pre Amplifier (SR560) |
|
||||||||||||
Signal Analyzer (SR785) |
|
||||||||||||
Period of measurement (min) |
100 min |
||||||||||||
He (l) level consumption |
|||||||||||||
Data files |
|||||||||||||
Plot |
m401: MFN_sweep(sat)_50mT- to 0mT_Plusses with +1Tsaturation
- Date
Montag, 19. August 2019
15:42
Angle of sensor θ |
+90 |
||||||||||||
|---|---|---|---|---|---|---|---|---|---|---|---|---|---|
Temp |
5 K |
||||||||||||
Plusses |
|||||||||||||
|
|||||||||||||
with saturation +1T saturation 50mT to 0mT_0.5mT.min |
|||||||||||||
Resistance Box |
+——–+- ——-+——–+—+——–+——+ | |image | *1 MΩ* | |image | | |image | | | 11668| |
+========+= =======+========+===+========+======+ | |image | *1 MΩ* | |image | | |image | *10* | | 11671| |
+——–+- ——-+——–+—+——–+——+ |
||||||||||||
+——+– —–+——-+——+——-+——-+ | Sens | 5 |
| mage1 | | | Hz* |
|
| 1677| | | | |
+======+== =====+=======+======+=======+=======+ | τ | * 3 | * | AC | Gr | *N | | | m s | Input | | ound* | ormal | | |
|
| | | | erve* |
+——+– —–+——-+——+——-+——-+ |
|||||||||||||
Pre Amplifier (SR560) |
|
||||||||||||
Signal Analyzer (SR785) |
|
||||||||||||
Period of measurement (min) |
100 min |
||||||||||||
He (l) level consumption |
|||||||||||||
Data files |
|||||||||||||
Plot |
m402: MFN_sweep(sat)_0mT- to -50mT_Plusses with +1Tsaturation
- Date
Montag, 19. August 2019
15:43
Angle of sensor θ |
+90 |
||||||||||||
|---|---|---|---|---|---|---|---|---|---|---|---|---|---|
Temp |
5 K |
||||||||||||
Plusses |
|||||||||||||
|
|||||||||||||
with saturation +1T saturation 0mT to -50mT_0.5mT.min |
|||||||||||||
Resistance Box |
+——–+- ——-+——–+—+——–+——+ | |image | *1 MΩ* | |image | | |image | | | 11738| |
+========+= =======+========+===+========+======+ | |image | *1 MΩ* | |image | | |image | *10* | | 11741| |
+——–+- ——-+——–+—+——–+——+ |
||||||||||||
+——+– —–+——-+——+——-+——-+ | Sens | 5 |
| mage1 | | | Hz* |
|
| 1747| | | | |
+======+== =====+=======+======+=======+=======+ | τ | * 3 | * | AC | Gr | *N | | | m s | Input | | ound* | ormal | | |
|
| | | | erve* |
+——+– —–+——-+——+——-+——-+ |
|||||||||||||
Pre Amplifier (SR560) |
|
||||||||||||
Signal Analyzer (SR785) |
|
||||||||||||
Period of measurement (min) |
100 min |
||||||||||||
He (l) level consumption |
|||||||||||||
Data files |
|||||||||||||
Plot |
M403: MFN_sweep(sat)_0mT- to 50mT_Plusses with -1Tsaturation
- Date
09 December 2019
10:51
Angle of sensor θ |
+90 |
||||||||||||
|---|---|---|---|---|---|---|---|---|---|---|---|---|---|
Temp |
5 K |
||||||||||||
Plusses |
|||||||||||||
|
|||||||||||||
with saturation -1T saturation 0mT to 50mT_0.5mT.min |
|||||||||||||
Resistance Box |
+——–+- ——-+——–+—+——–+——+ | |image | *1 MΩ* | |image | | |image | | | 11808| |
+========+= =======+========+===+========+======+ | |image | *1 MΩ* | |image | | |image | *10* | | 11811| |
+——–+- ——-+——–+—+——–+——+ |
||||||||||||
+——+– —–+——-+——+——-+——-+ | Sens | 5 |
| mage1 | | | Hz* |
|
| 1817| | | | |
+======+== =====+=======+======+=======+=======+ | τ | * 3 | * | AC | Gr | *N | | | m s | Input | | ound* | ormal | | |
|
| | | | erve* |
+——+– —–+——-+——+——-+——-+ |
|||||||||||||
Pre Amplifier (SR560) |
|
||||||||||||
Signal Analyzer (SR785) |
|
||||||||||||
Period of measurement (min) |
100 min |
||||||||||||
He (l) level consumption |
|||||||||||||
Data files |
|||||||||||||
Plot |
M404: MFN_sweep(sat)_0mT- to 50mT_Plusses with -1Tsaturation
- Date
09 December 2019
10:51
Angle of sensor θ |
+90 |
||||||||||||
|---|---|---|---|---|---|---|---|---|---|---|---|---|---|
Temp |
5 K |
||||||||||||
Plusses |
|||||||||||||
|
|||||||||||||
with saturation -1T saturation 0mT to 50mT_0.5mT.min |
|||||||||||||
Resistance Box |
+——–+- ——-+——–+—+——–+——+ | |image | *1 MΩ* | |image | | |image | | | 11878| |
+========+= =======+========+===+========+======+ | |image | *1 MΩ* | |image | | |image | *10* | | 11881| |
+——–+- ——-+——–+—+——–+——+ |
||||||||||||
+——+– —–+——-+——+——-+——-+ | Sens | 5 |
| mage1 | | | Hz* |
|
| 1887| | | | |
+======+== =====+=======+======+=======+=======+ | τ | * 3 | * | AC | Gr | *N | | | m s | Input | | ound* | ormal | | |
|
| | | | erve* |
+——+– —–+——-+——+——-+——-+ |
|||||||||||||
Pre Amplifier (SR560) |
|
||||||||||||
Signal Analyzer (SR785) |
|
||||||||||||
Period of measurement (min) |
100 min |
||||||||||||
He (l) level consumption |
|||||||||||||
Data files |
|||||||||||||
Plot |
M405: MFN_sweep(sat)_0mT- to 50mT_Plusses with -1Tsaturation
- Date
09 December 2019
10:51
Angle of sensor θ |
+90 |
||||||||||||
|---|---|---|---|---|---|---|---|---|---|---|---|---|---|
Temp |
5 K |
||||||||||||
Plusses |
|||||||||||||
|
|||||||||||||
with saturation -1T saturation 0mT to 50mT_0.5mT.min |
|||||||||||||
Resistance Box |
+——–+- ——-+——–+—+——–+——+ | |image | *1 MΩ* | |image | | |image | | | 11948| |
+========+= =======+========+===+========+======+ | |image | *1 MΩ* | |image | | |image | *10* | | 11951| |
+——–+- ——-+——–+—+——–+——+ |
||||||||||||
+——+– —–+——-+——+——-+——-+ | Sens | 5 |
| mage1 | | | Hz* |
|
| 1957| | | | |
+======+== =====+=======+======+=======+=======+ | τ | * 3 | * | AC | Gr | *N | | | m s | Input | | ound* | ormal | | |
|
| | | | erve* |
+——+– —–+——-+——+——-+——-+ |
|||||||||||||
Pre Amplifier (SR560) |
|
||||||||||||
Signal Analyzer (SR785) |
|
||||||||||||
Period of measurement (min) |
100 min |
||||||||||||
He (l) level consumption |
|||||||||||||
Data files |
|||||||||||||
Plot |
M406: MFN_sweep(sat)_0mT- to 50mT_Plusses with -1Tsaturation
- Date
09 December 2019
10:51
Angle of sensor θ |
+90 |
||||||||||||
|---|---|---|---|---|---|---|---|---|---|---|---|---|---|
Temp |
5 K |
||||||||||||
Plusses |
|||||||||||||
|
|||||||||||||
with saturation -1T saturation 0mT to 50mT_0.5mT.min |
|||||||||||||
Resistance Box |
+——–+- ——-+——–+—+——–+——+ | |image | *1 MΩ* | |image | | |image | | | 12018| |
+========+= =======+========+===+========+======+ | |image | *1 MΩ* | |image | | |image | *10* | | 12021| |
+——–+- ——-+——–+—+——–+——+ |
||||||||||||
+——+– —–+——-+——+——-+——-+ | Sens | 5 |
| mage1 | | | Hz* |
|
| 2027| | | | |
+======+== =====+=======+======+=======+=======+ | τ | * 3 | * | AC | Gr | *N | | | m s | Input | | ound* | ormal | | |
|
| | | | erve* |
+——+– —–+——-+——+——-+——-+ |
|||||||||||||
Pre Amplifier (SR560) |
|
||||||||||||
Signal Analyzer (SR785) |
|
||||||||||||
Period of measurement (min) |
100 min |
||||||||||||
He (l) level consumption |
|||||||||||||
Data files |
|||||||||||||
Plot |
M407: MFN_sweep(sat)_0mT- to 50mT_Plusses with -1Tsaturation
- Date
09 December 2019
10:52
Angle of sensor θ |
+90 |
||||||||||||
|---|---|---|---|---|---|---|---|---|---|---|---|---|---|
Temp |
5 K |
||||||||||||
Plusses |
|||||||||||||
|
|||||||||||||
with saturation -1T saturation 0mT to 50mT_0.5mT.min |
|||||||||||||
Resistance Box |
+——–+- ——-+——–+—+——–+——+ | |image | *1 MΩ* | |image | | |image | | | 12088| |
+========+= =======+========+===+========+======+ | |image | *1 MΩ* | |image | | |image | *10* | | 12091| |
+——–+- ——-+——–+—+——–+——+ |
||||||||||||
+——+– —–+——-+——+——-+——-+ | Sens | 5 |
| mage1 | | | Hz* |
|
| 2097| | | | |
+======+== =====+=======+======+=======+=======+ | τ | * 3 | * | AC | Gr | *N | | | m s | Input | | ound* | ormal | | |
|
| | | | erve* |
+——+– —–+——-+——+——-+——-+ |
|||||||||||||
Pre Amplifier (SR560) |
|
||||||||||||
Signal Analyzer (SR785) |
|
||||||||||||
Period of measurement (min) |
100 min |
||||||||||||
He (l) level consumption |
|||||||||||||
Data files |
|||||||||||||
Plot |
Measurements plan 12
- Date
Monday, 9. December 2019
10:01
Measurement Plan #3_magnetic field effect
- Date
02 June 2019
17:30
Field Sweeps (ΔB = T)
Nr |
St ruct |
Field From* |
Field To* |
Hlo op_br anch |
SR [mT/ min] |
F- Span |
V in(V) /sens (mV)/ gain |
Avg |
Time [min, Hr] |
Date* |
|---|---|---|---|---|---|---|---|---|---|---|
` m342:
note: #m342 %20MF N_Plu sses_ sweep %20af ter%2 0+%20 satur ation %20at %201T _0.00 5T%20 to%20 -0.00 5T_mT .min_ 1.5,% 200.7 8Hz_5 V&sec tion- id={5 FAD05 18-E3 49-4A 07-93 E8-5D 105BD 4AEB4 }&pag e-id= {0664 508E- 5C60- 4D50- 9F2A- 99136 D158C E7}&e nd&ba se-pa th=ht tps:/ /goet heuni versi taet. share point .com/ sites /Proj ect4/ SiteA ssets /Proj ect%2 04%20 Noteb ook/M agnet ic%20 Flux% 20Noi se.on e>`__ |
Pl usses |
25 mT |
-25 mT |
+Satu rated |
0.11 |
1. 5/0.7 |
5 /5/20 |
35 |
44 8_7.4 |
02.07 .2019 |
` m343:
note: #m343 %20MF N_Plu sses_ sweep %20af ter%2 0-%20 satur ation %20at %201T _0.00 5T%20 to%20 -0.00 5T_mT .min_ 1.5,% 200.7 8Hz_5 V&sec tion- id={5 FAD05 18-E3 49-4A 07-93 E8-5D 105BD 4AEB4 }&pag e-id= {9D1A 8DBE- 486A- 444C- 9890- 8A4FB 60E50 D2}&e nd&ba se-pa th=ht tps:/ /goet heuni versi taet. share point .com/ sites /Proj ect4/ SiteA ssets /Proj ect%2 04%20 Noteb ook/M agnet ic%20 Flux% 20Noi se.on e>`__ |
Pl usses |
-25 mT |
25 mT |
-Satu rated |
0.11 |
1. 5/0.7 |
5 /5/20 |
35 |
44 8_7.4 |
03.07 .2019 |
Pl usses |
-443 mT |
-611 mT |
+Satu rated |
2.352 |
1. 5/0.7 |
5 /5/20 |
35 |
44 8_7.4 |
03.07 .2019 |
|
Pl usses |
-291 mT* |
-443 mT |
+Satu rated |
0.5 |
1. 5/0.7 |
5 /5/20 |
24 |
303_5 |
03.07 .2019 |
|
Pl usses |
36 .56mT |
-2 91.13 mT |
+Satu rated |
0.5 |
1. 5/0.7 |
5 /5/20 |
51 |
655 _10.9 |
04.07 .2019 |
|
` m347:
note: #m347 %20MF N_Plu sses_ sweep %20af ter_s atura tion% 20at% 20-1T _%20- 0.036 56%20 T%20t o%200 .2913 %20T_ 0.5mT .min_ 1.5%2 0Hz_5 V_ave rages %2015 3&sec tion- id={5 FAD05 18-E3 49-4A 07-93 E8-5D 105BD 4AEB4 }&pag e-id= {16C4 D18A- 3947- 458C- ADD2- F4CBD 33558 63}&e nd&ba se-pa th=ht tps:/ /goet heuni versi taet. share point .com/ sites /Proj ect4/ SiteA ssets /Proj ect%2 04%20 Noteb ook/M agnet ic%20 Flux% 20Noi se.on e>`__ |
Pl usses |
-36 .56mT |
-2 91.13 mT |
-Satu rated |
0.5 |
1.5 |
5 /5/20 |
153 |
652 _10.9 |
04.0 7.201 9_Thu rsday night |
Empty |
36 .56mT |
-2 91.13 mT |
-Satu rated |
0.5 |
1.5 |
5 /5/20 |
153 |
652 _10.9 |
05 .07.2 019_F riday |
|
Empty |
-25 mT |
+25 mT |
-Satu rated |
0.5 |
1.5 |
5 /5/20 |
24 |
100 |
06. 07.20 19_mi dnigh t_Sat urday |
|
Pl usses |
-25 mT |
+25 mT |
-Satu rated |
0.5 |
1.5 |
5 /5/20 |
24 |
100 |
06.0 7.201 9_Sat urday _afte rnoon |
|
Pl usses |
-25 mT |
25 mT |
-Satu rated |
1 |
1.5 |
5 /5/20 |
12 |
50 |
06 .07.2 019_S aturd ay_ev ening |
|
Pl usses |
-25 mT |
25 mT |
-Satu rated |
0.1 |
1.5 |
5 /5/20 |
117 |
500 |
06.07 .2019 _Satu rday_ night |
|
Pl usses |
-25 mT |
25 mT |
-Satu rated |
0.25 |
1.5 |
5 /5/20 |
47 |
200 |
07.07 .2019 _Sund ay_mo rning |
|
` m354:
note: #m354 %20MF N_Plu sses_ sweep %20af ter_s atura tion% 20at% 20-1T _%20- 0.025 T%20t o%200 .025% 20T_2 mT.mi n_1.5 %20Hz _5V_a verag es%20 6&sec tion- id={5 FAD05 18-E3 49-4A 07-93 E8-5D 105BD 4AEB4 }&pag e-id= {962B DDFC- 8A50- 4AB8- A318- 69979 09CE9 D1}&e nd&ba se-pa th=ht tps:/ /goet heuni versi taet. share point .com/ sites /Proj ect4/ SiteA ssets /Proj ect%2 04%20 Noteb ook/M agnet ic%20 Flux% 20Noi se.on e>`__ |
Pl usses |
-25 mT |
25 mT |
-Satu rated |
2 |
1.5 |
5 /5/20 |
6 |
25 |
07. 07.20 19_Su nday_ lunch time |






















































































![Vx Lheare An 1/f3•6 requerz [Hz]](../../_images/image991.png)

![Machine generated alternative text: omi F requenz [Hz]](../../_images/image2731.png)



















![џк2 [ХАНЕ]](../../_images/image1231.png)

![Machine generated alternative text: #+ag76B1 omi F requenz [Hz]](../../_images/image1251.png)

























![Second Spectrum lo- 10-8 10 10 -11 10 -12 10 [Hz] Second Spectrum 10](../../_images/image1551.png)
![Second Spectrum 10 [Hz] Second Spectrum 10](../../_images/image1581.png)









































![Machine generated alternative text: oot 185 F requenz [Hz]](../../_images/image2371.png)














![Instruments Help Single Measurements 5R830 111 Scheduled Measurements X 5R830 11 Instruments x 5R830 Offsets Options Vx [rnV] Ampl 4 Sensitivity Autosens O Internal External 5R830 Options Vx [rnV] Ampl 4 Sensitivity Autosens Offsets O Internal External 5R830 1 5R830 Options Vx [rnV] Ampl 2500 Sensitivity Autosens X IP51201 Offsets Goto Set Initialize Internal persistent mode O External Setpoint [T] Rate [T Imin] 300000 300000 IP5120 1 Goto Set Goto Zero No overload + only incr. No overload + only incr. No overload + only incr. 15340 Janis 1](../../_images/image2541.png)
























![Machine generated alternative text: Nil omi 184 F requenz [Hz]](../../_images/image2901.png)

![Machine generated alternative text: omi 184 Nil rn27g rn27g — rn277 — rn277 F requenz [Hz]](../../_images/image2931.png)






























![//ο Kutkl (90) Field m331 (Ι" Τ (13 T m3H: (ΙΙ —ΟΙ T m337: ΙΙΙ" Τ ΡΙ""' (ΙΙ'] + — mHl: (ιων, Τ (ΙΙΙ)Ι+) 10-3 ιτ 0,500 T 0.250 T οτ -0573 T](../../_images/image3361.png)




























































![Machine generated alternative text: Sweep rate 0031 165 167 flHz] 0.1m Tm i](../../_images/image4031.png)














































































































































































































































































































































































