04: Data Aquisition Measurements
- Date
Donnerstag, 12. März 2020 10:16
Nr* |
An gle |
** Dir** |
F req |
Li mit |
Pre amp |
R ate |
Str uct |
T emp |
T ime |
Volt age* |
dB* |
|---|---|---|---|---|---|---|---|---|---|---|---|
** 430** |
45 |
Down |
17 |
0.20 |
False |
8 |
Pl usses |
30 |
600 |
2.5 |
0 .0100 |
** 431** |
45 |
Up |
17 |
0.20 |
False |
8 |
Pl usses |
30 |
600 |
2.5 |
0 .0100 |
** 432** |
45 |
Down |
17 |
0.10 |
True |
16 |
Pl usses |
30 |
1024 |
2.5 |
0 .0025 |
** 433** |
45 |
Up |
113 |
0.10 |
True |
16 |
Pl usses |
30 |
1024 |
2.5 |
0 .0020 |
** 434** |
45 |
Up |
113 |
0.20 |
True |
32 |
Pl usses |
30 |
512 |
2.5 |
0 .0200 |
** 435** |
45 |
Down |
113 |
0.10 |
True |
16 |
Pl usses |
30 |
1024 |
5.0 |
0 .0050 |
** 436** |
45 |
Down |
113 |
0.20 |
True |
8 |
Pl usses |
30 |
1024 |
5.0 |
0 .0050 |
** 437** |
45 |
Up |
113 |
0.15 |
False |
8 |
Pl usses |
30 |
768 |
5.0 |
0 .0050 |
** 438** |
45 |
Down |
113 |
0.10 |
False |
4 |
Pl usses |
30 |
2048 |
5.0 |
0 .0100 |
** 439** |
45 |
Down |
113 |
0.10 |
False |
16 |
Pl usses |
30 |
1024 |
5.0 |
0 .0050 |
** 440** |
45 |
Up |
113 |
0.10 |
False |
32 |
Pl usses |
30 |
512 |
5.0 |
0 .0050 |
** 441** |
45 |
Down |
113 |
0.10 |
False |
32 |
Pl usses |
30 |
512 |
5.0 |
0 .0050 |
** 442** |
45 |
Up |
113 |
0.10 |
False |
4 |
Pl usses |
30 |
2048 |
5.0 |
0 .0050 |
** 443** |
45 |
Down |
113 |
0.10 |
False |
8 |
Pl usses |
20 |
2048 |
5.0 |
0 .0050 |
** 444** |
45 |
Up |
113 |
0.10 |
False |
8 |
Pl usses |
20 |
2048 |
5.0 |
0 .0050 |
** 445** |
45 |
Down |
113 |
0.10 |
False |
2 |
Pl usses |
10 |
2048 |
5.0 |
0 .0050 |
** 446** |
45 |
Down |
113 |
0.10 |
False |
8 |
Pl usses |
15 |
2048 |
5.0 |
0 .0050 |
** 447** |
45 |
Up |
113 |
0.10 |
False |
8 |
Pl usses |
15 |
2048 |
5.0 |
0 .0050 |
** 448** |
45 |
Down |
113 |
0.10 |
False |
4 |
Pl usses |
15 |
2048 |
5.0 |
0 .0050 |
** 449** |
45 |
Up |
113 |
0.10 |
False |
4 |
Pl usses |
15 |
2048 |
5.0 |
0 .0050 |
** 450** |
45 |
Down |
113 |
0.10 |
False |
8 |
Empty |
15 |
2048 |
5.0 |
0 .0050 |
** 451** |
45 |
Up |
113 |
0.10 |
False |
8 |
Empty |
15 |
2048 |
5.0 |
0 .0050 |
** 452** |
80 |
Down |
17 |
0.30 |
False |
8 |
Pl usses |
15 |
1024 |
5.0 |
0 .0150 |
** 453** |
80 |
Up |
17 |
0.30 |
False |
8 |
Pl usses |
15 |
1024 |
5.0 |
0 .0150 |
** 454** |
80 |
Down |
17 |
0.15 |
False |
8 |
Pl usses |
15 |
2048 |
5.0 |
0 .0050 |
** 455** |
80 |
Up |
17 |
0.15 |
False |
8 |
Pl usses |
15 |
2048 |
5.0 |
0 .0050 |
** 456** |
80 |
S TATIC |
17 |
0 |
False |
8 |
Pl usses |
15 |
20 48*60 |
5.0 |
0 |
SR830 as DAQ
- Date
Donnerstag, 12. März 2020
10:16
Using the SR830 internal Storage as DAQ. Getting data via FAST mode.
m430: SR830DAQ scheduled without preamp
- Date
Donnerstag, 12. März 2020
10:17
Angle of sensor θ |
+45 |
||||||||
|---|---|---|---|---|---|---|---|---|---|
Temp |
30 K |
||||||||
Plusses |
|||||||||
|
|||||||||
sweeping from +200mT → -200mT measuring every 10mT steps |
|||||||||
Resistance Box |
——-+——-+——+——-+—–+ | |ima | ge56| |
MΩ* | ge57| | | ge58| | |
+=======+ =======+=======+======+=======+=====+ | |ima |
ge59| |
MΩ* | ge60| | | ge61| | |
——-+——-+——+——-+—–+ |
||||||||
+——+— —-+——-+——-+——-+——-+ | Sens | 20 |
| ge65| | | | Hz* |
+======+=== ====+=======+=======+=======+=======+ | τ | 1 00 | * | *AC | Gr | *N | | | ms * | Input | | ound | ormal | | |
|
| | | | erve* |
+——+— —-+——-+——-+——-+——-+ DAQ settings: Rate: 8 Hz |
|||||||||
Period of measurement (min) |
600 sec for each field |
||||||||
Data files |
in Folder NewMeasurements2020m430m430.5* |
m430: Problem not stopping SR830DAQ
- Date
Donnerstag, 12. März 2020
12:21
At some field vaules the measurement didn’t stop, but continue for the next field (e.g. this data contains field .2T in range 0-600s and field .19T in the second half):
Splitting these data files manually.
Fields to split:
.19
.17
-.2
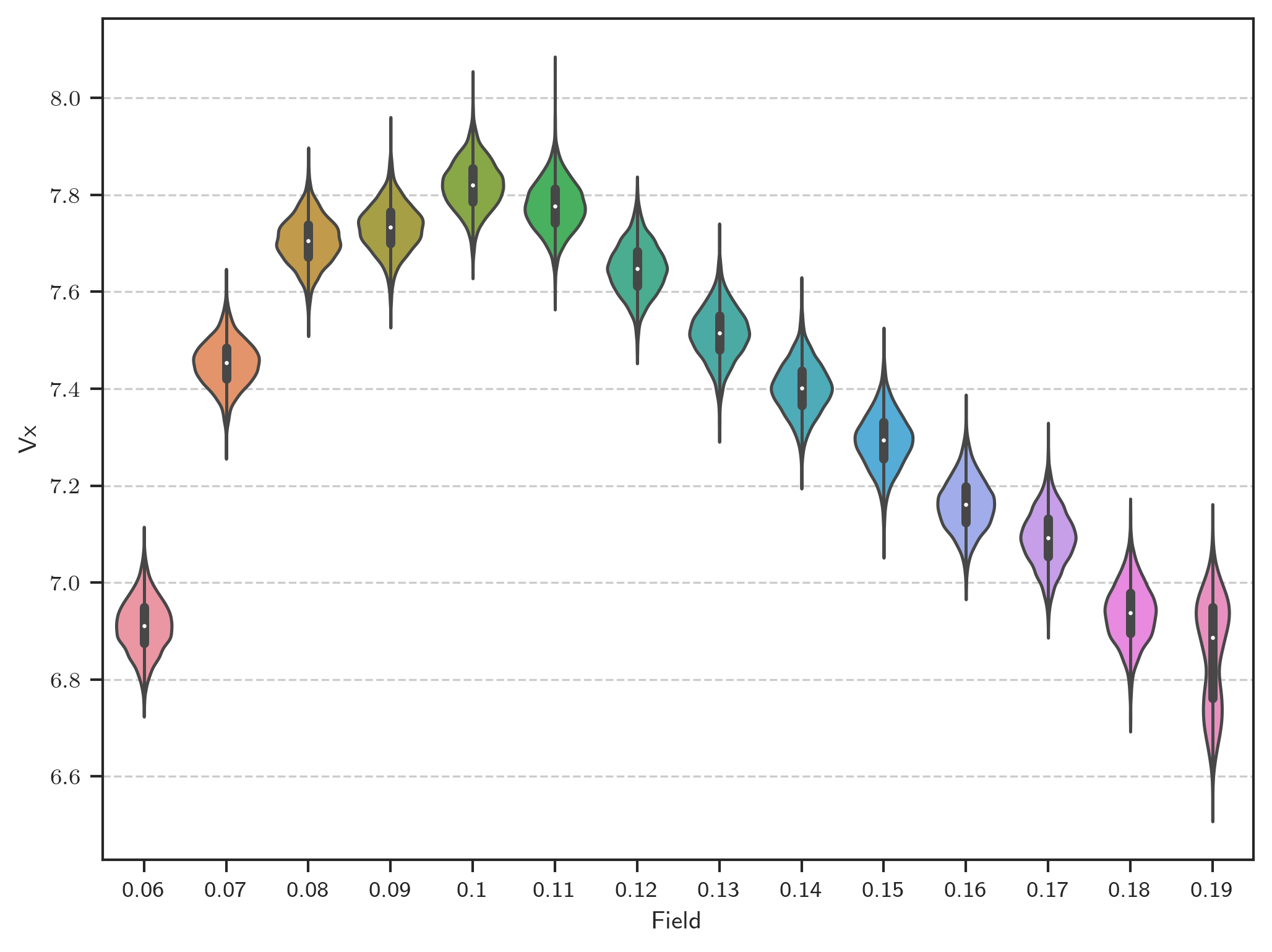
m431: SR830DAQ scheduled without preamp
- Date
Donnerstag, 12. März 2020
10:17
Angle of sensor θ |
+45 |
||||||||
|---|---|---|---|---|---|---|---|---|---|
Temp |
30 K |
||||||||
Plusses |
|||||||||
|
|||||||||
sweeping from +200mT → -200mT measuring every 10mT steps (41 different steps) |
|||||||||
Resistance Box |
——-+——-+——+——-+—–+ | |imag | e125| |
MΩ* | e126| | | e127| | |
+=======+ =======+=======+======+=======+=====+ | |imag |
e128| |
MΩ* | e129| | | e130| | |
——-+——-+——+——-+—–+ |
||||||||
+——+— —-+——-+——-+——-+——-+ | Sens | 20 |
| e134| | | | Hz* |
+======+=== ====+=======+=======+=======+=======+ | τ | 1 00 | * | *AC | Gr | *N | | | ms * | Input | | ound | ormal | | |
|
| | | | erve* |
+——+— —-+——-+——-+——-+——-+ DAQ settings: Rate: 8 Hz |
|||||||||
Period of measurement (min) |
600 sec for each field |
||||||||
Data files |
in Folder NewMeasurements2020m431m431* |
Time signal
Freitag, 13. März 2020
Distribution of Time signal
Freitag, 13. März 2020
12:34
Evaluate m431 (Development of the time signal)
- Date
Donnerstag, 12. März 2020
16:08
Evaluate m431 (Noise representation)
Freitag, 13. März 2020
10:40
Info with second spectrum
Mittwoch, 22. April 2020
09:59
Noise Hysteresis (430/431)
Montag, 20. April 2020
17:10
m432: rate:16 Hz length:1024 s with preamp (Down Sweep)
- Date
Donnerstag, 12. März 2020
10:17
Angle of sensor θ |
+45 |
||||||||
|---|---|---|---|---|---|---|---|---|---|
Temp |
30 K |
||||||||
Plusses |
|||||||||
|
|||||||||
sweeping from +100mT → -100mT measuring every 2.5mT steps (81 different steps) |
|||||||||
Resistance Box |
——-+——-+——+——-+—–+ | |imag | e201| |
MΩ* | e202| | | e203| | |
+=======+ =======+=======+======+=======+=====+ | |imag |
e204| |
MΩ* | e205| | | e206| | |
——-+——-+——+——-+—–+ |
||||||||
Pre Amplifier (SR560) |
Gain Mode: Low | Output: 50O -> Lock In Input A | Gain: 1e2 Filter Cutoffs: Off | Coupling: AC |
||||||||
+——+— —-+——-+——-+——-+——-+ | Sens | 1 mV | |imag | 2,5 V | *f* | *17 | | | → 20 | e210| | | | Hz* | | | mV
+======+=== ====+=======+=======+=======+=======+ | τ | 3 0 | * | *AC | Gr | *N | | | ms * | Input | | ound | ormal | | |
|
| | | | erve* |
+——+— —-+——-+——-+——-+——-+ DAQ settings: Rate: 16 Hz |
|||||||||
Period of measurement (min) |
1024 sec for each field |
||||||||
Data files |
in Folder NewMeasurements2020m432\* |
||||||||
Notes |
Badly choosen Sensitivity resulted in Overload! Not usable! |
m432: Overload B <= -50mT
- Date
Freitag, 13. März 2020
15:20
Changed the Sensitivity to 20mV
Need to Remeasure Values
-.0475
-.05
-.0525
-.055
-.0575
-.06
Evaluate m432 (Timesignal near 0)
Freitag, 13. März 2020
11:08
Time signals (Non Gaussian Noise)
Freitag, 13. März 2020
14:36
Time signals (Gaussian Noise)
Freitag, 13. März 2020
16:37
m433: rate:16 Hz length:1024 s with preamp (Up Sweep)
- Date
Freitag, 13. März 2020
18:51
Angle of sensor θ |
+45 |
||||||||
|---|---|---|---|---|---|---|---|---|---|
Temp |
30 K |
||||||||
Plusses |
|||||||||
|
|||||||||
Saturating at -.3T. sweeping from -100mT → +100mT measuring every 2mT steps (101 different steps) |
|||||||||
Resistance Box |
——-+——-+——+——-+—–+ | |imag | e274| |
MΩ* | e275| | | e276| | |
+=======+ =======+=======+======+=======+=====+ | |imag |
e277| |
MΩ* | e278| | | e279| | |
——-+——-+——+——-+—–+ |
||||||||
Pre Amplifier (SR560) |
Gain Mode: Low | Output: 50O -> Lock In Input A | Gain: 1e2 Filter Cutoffs: Off | Coupling: AC |
||||||||
+——+— —-+——-+——-+——-+——-+ | Sens | 20 |
| e283| | | | Hz* |
+======+=== ====+=======+=======+=======+=======+ | τ | 3 0 | * | *AC | Gr | *N | | | ms * | Input | | ound | ormal | | |
|
| | | | erve* |
+——+— —-+——-+——-+——-+——-+ DAQ settings: Rate: 16 Hz |
|||||||||
Period of measurement (min) |
1024 sec for each field |
||||||||
Data files |
in Folder NewMeasurements2020m433\* |
Second Spectrum overview
Mittwoch, 22. April 2020
10:08
m434: rate:32 Hz length:512 s with preamp (Down Sweep)
- Date
Sonntag, 15. März 2020
09:00
Angle of sensor θ |
+45 |
||||||||
|---|---|---|---|---|---|---|---|---|---|
Temp |
30 K |
||||||||
Plusses |
|||||||||
|
|||||||||
Saturating at .3T. sweeping from +200mT → -200mT measuring every 20mT steps (21 different steps) |
|||||||||
Resistance Box |
——-+——-+——+——-+—–+ | |imag | e342| |
MΩ* | e343| | | e344| | |
+=======+ =======+=======+======+=======+=====+ | |imag |
e345| |
MΩ* | e346| | | e347| | |
——-+——-+——+——-+—–+ |
||||||||
Pre Amplifier (SR560) |
Gain Mode: Low | Output: 50O -> Lock In Input A | Gain: 1e2 Filter Cutoffs: Off | Coupling: AC |
||||||||
+——+— —-+——-+——-+——-+——-+ | Sens | 20 |
| e351| | | | Hz* |
+======+=== ====+=======+=======+=======+=======+ | τ | 3 0 | * | *AC | Gr | *N | | | ms * | Input | | ound | ormal | | |
|
| | | | erve* |
+——+— —-+——-+——-+——-+——-+ DAQ settings: Rate: 32 Hz |
|||||||||
Period of measurement (min) |
512 sec for each field |
||||||||
Data files |
in Folder NewMeasurements2020m434\* |
Big Vy signal
Montag, 16. März 2020
12:16
Solution:
Changing + and - connections for next measurement (m435).
Results in a larger Vx signal and lower Vy signal.
m435: rate:16 Hz Switched Polarity (Down Sweep)
- Date
Montag, 16. März 2020
18:51
Angle of sensor θ |
+45 |
||||||||
|---|---|---|---|---|---|---|---|---|---|
Temp |
30 K |
||||||||
Plusses |
|||||||||
|
|||||||||
Saturating at -.3T. sweeping from 100mT → -100mT measuring every 5mT steps (41 different steps) |
|||||||||
Resistance Box |
——-+——-+——+——-+—–+ | |imag | e409| |
MΩ* | e410| | | e411| | |
+=======+ =======+=======+======+=======+=====+ | |imag |
e412| |
MΩ* | e413| | | e414| | |
——-+——-+——+——-+—–+ |
||||||||
Pre Amplifier (SR560) |
Gain Mode: Low | Output: 50O -> Lock In Input A | Gain: 1e2 Filter Cutoffs: Off | Coupling: AC |
||||||||
+——+– —–+——-+——+——-+——-+ | Sens | 2 0 mV | |imag | 5 V | f | *113 | | |
+======+== =====+=======+======+=======+=======+ | τ | * 30 | * | AC | Gr | *N | | | m s | Input | | ound* | ormal | | |
|
| | | | erve* |
+——+– —–+——-+——+——-+——-+ DAQ settings: Rate: 16 Hz |
|||||||||
Period of measurement (min) |
1024 sec for each field |
||||||||
Data files |
in Folder NewMeasurements2020m435\* |
m436: rate:8 Hz Down Sweep
- Date
Dienstag, 17. März 2020
15:13
Angle of sensor θ |
+45 |
||||||||
|---|---|---|---|---|---|---|---|---|---|
Temp |
30 K |
||||||||
Plusses |
|||||||||
|
|||||||||
Saturating at -.3T. sweeping from 200mT → -200mT measuring every 5mT steps (41 different steps) |
|||||||||
Resistance Box |
——-+——-+——+——-+—–+ | |imag | e475| |
MΩ* | e476| | | e477| | |
+=======+ =======+=======+======+=======+=====+ | |imag |
e478| |
MΩ* | e479| | | e480| | |
——-+——-+——+——-+—–+ |
||||||||
Pre Amplifier (SR560) |
Gain Mode: Low | Output: 50O -> Lock In Input A | Gain: 1e2 Filter Cutoffs: Off | Coupling: AC |
||||||||
+——+– —–+——-+——+——-+——-+ | Sens | 2 0 mV | |imag | 5 V | f | *113 | | |
+======+== =====+=======+======+=======+=======+ | τ | * 100 | * | AC | Gr | *N | | | m s | Input | | ound* | ormal | | |
|
| | | | erve* |
+——+– —–+——-+——+——-+——-+ DAQ settings: Rate: 8 Hz |
|||||||||
Period of measurement (min) |
1024 sec for each field |
||||||||
Data files |
in Folder NewMeasurements2020m436\* |
Second Spectrum Overview
Mittwoch, 22. April 2020
10:32
m437: rate:8 Hz Up Sweep
- Date
Mittwoch, 18. März 2020
15:13
Angle of sensor θ |
+45 |
||||||||
|---|---|---|---|---|---|---|---|---|---|
Temp |
30 K |
||||||||
Plusses |
|||||||||
|
|||||||||
Saturating at -.3T. sweeping from -150mT → 150mT measuring every 5mT steps (61 different steps) |
|||||||||
Resistance Box |
+——-+- ——+——-+——-+——-+—–+ | |imag | *1 | |imag | 13,5 | |imag | | | e543| | MΩ* | e544| | kΩ | e545| | | +=======+= ======+=======+=======+=======+=====+ | |imag | *1 | |imag | *1* | |imag | *1* | | e546| | MΩ* | e547| | | e548| | | +——-+- ——+——-+——-+——-+—–+ |
||||||||
+——+– —–+——-+——+——-+——-+ | Sens | 5 0 μV | |imag | 5 V | f | *113 | | |
+======+== =====+=======+======+=======+=======+ | τ | * 100 | * | AC | Gr | *N | | | m s | Input | | ound* | ormal | | |
|
| | | | erve* |
+——+– —–+——-+——+——-+——-+ DAQ settings: Rate: 8 Hz |
|||||||||
Period of measurement (min) |
768 sec for each field |
||||||||
Data files |
in Folder NewMeasurements2020m437\* |
Info2 (64 vs 32 Averages)
Mittwoch, 22. April 2020
10:50
Second Spectrum Overview
Mittwoch, 22. April 2020
10:45
m438: rate:4 Hz 2048 s No Preamp Down Sweep
- Date
Donnerstag, 19. März 2020
14:06
Angle of sensor θ |
+45 |
||||||||
|---|---|---|---|---|---|---|---|---|---|
Temp |
30 K |
||||||||
Plusses |
|||||||||
|
|||||||||
Saturating at -.3T. sweeping from 100mT → -100mT measuring every 10mT steps (21 different steps) |
|||||||||
Resistance Box |
+——-+- ——+——-+——-+——-+—–+ | |imag | *1 | |imag | 13,5 | |imag | | | e613| | MΩ* | e614| | kΩ | e615| | | +=======+= ======+=======+=======+=======+=====+ | |imag | *1 | |imag | *1* | |imag | *1* | | e616| | MΩ* | e617| | | e618| | | +——-+- ——+——-+——-+——-+—–+ |
||||||||
+——+– —–+——-+——+——-+——-+ | Sens | 5 0 μV | |imag | 5 V | f | *113 | | |
+======+== =====+=======+======+=======+=======+ | τ | * 100 | * | AC | Gr | *N | | | m s | Input | | ound* | ormal | | |
|
| | | | erve* |
+——+– —–+——-+——+——-+——-+ DAQ settings: Rate: 4 Hz |
|||||||||
Period of measurement (min) |
2048 sec for each field |
||||||||
Data files |
in Folder NewMeasurements2020m438\* |
m439: rate:16 Hz 1024s Up Sweep
- Date
Freitag, 20. März 2020
02:09
Angle of sensor θ |
+45 |
||||||||
|---|---|---|---|---|---|---|---|---|---|
Temp |
30 K |
||||||||
Plusses |
|||||||||
|
|||||||||
Saturating at -.3T. sweeping from -100mT → 100mT measuring every 5mT steps (21 different steps) |
|||||||||
Resistance Box |
——-+——-+——+——-+—–+ | |imag | e679| |
MΩ* | e680| | | e681| | |
+=======+ =======+=======+======+=======+=====+ | |imag |
e682| |
MΩ* | e683| | | e684| | |
——-+——-+——+——-+—–+ |
||||||||
+——+– —–+——-+——+——-+——-+ | Sens | 5 0 μV | |imag | 5 V | f | *113 | | |
+======+== =====+=======+======+=======+=======+ | τ | * 100 | * | AC | Gr | *N | | | m s | Input | | ound* | ormal | | |
|
| | | | erve* |
+——+– —–+——-+——+——-+——-+ DAQ settings: Rate: 16 Hz |
|||||||||
Period of measurement (min) |
1024 sec for each field |
||||||||
Data files |
in Folder NewMeasurements2020m437\* |
m440: rate:32 Hz 512s
- Date
Samstag, 21. März 2020
10:02
Angle of sensor θ |
+45 |
||||||||
|---|---|---|---|---|---|---|---|---|---|
Temp |
30 K |
||||||||
Plusses |
|||||||||
|
|||||||||
Saturating at -.3T. sweeping from 100mT → -100mT measuring every 5mT steps (41 different steps) |
|||||||||
Resistance Box |
——-+——-+——+——-+—–+ | |imag | e745| |
MΩ* | e746| | | e747| | |
+=======+ =======+=======+======+=======+=====+ | |imag |
e748| |
MΩ* | e749| | | e750| | |
——-+——-+——+——-+—–+ |
||||||||
+——+– —–+——-+——+——-+——-+ | Sens | 2 0 mV | |imag | 5 V | f | *113 | | |
+======+== =====+=======+======+=======+=======+ | τ | * 30 | * | AC | Gr | *N | | | m s | Input | | ound* | ormal | | |
|
| | | | erve* |
+——+– —–+——-+——+——-+——-+ DAQ settings: Rate: 32 Hz |
|||||||||
Period of measurement (min) |
512 sec for each field |
||||||||
Data files |
in Folder NewMeasurements2020m440\* |
m441: rate:32 Hz 512s
- Date
Montag, 23. März 2020
16:46
Angle of sensor θ |
+45 |
||||||||
|---|---|---|---|---|---|---|---|---|---|
Temp |
30 K |
||||||||
Plusses |
|||||||||
|
|||||||||
Saturating at -.3T. sweeping from 200mT → -200mT measuring every 5mT steps (41 different steps) |
|||||||||
Resistance Box |
——-+——-+——+——-+—–+ | |imag | e811| |
MΩ* | e812| | | e813| | |
+=======+ =======+=======+======+=======+=====+ | |imag |
e814| |
MΩ* | e815| | | e816| | |
——-+——-+——+——-+—–+ |
||||||||
+——+– —–+——-+——+——-+——-+ | Sens | 2 0 mV | |imag | 5 V | f | *113 | | |
+======+== =====+=======+======+=======+=======+ | τ | * 30 | * | AC | Gr | *N | | | m s | Input | | ound* | ormal | | |
|
| | | | erve* |
+——+– —–+——-+——+——-+——-+ DAQ settings: Rate: 8 Hz |
|||||||||
Period of measurement (min) |
1024 sec for each field |
||||||||
Data files |
in Folder NewMeasurements2020m440\* |
m442: rate:4 Hz 2048s
- Date
Montag, 23. März 2020
16:46
Angle of sensor θ |
+45 |
||||||||
|---|---|---|---|---|---|---|---|---|---|
Temp |
30 K |
||||||||
Plusses |
|||||||||
|
|||||||||
Saturating at -.3T. sweeping from 200mT → -200mT measuring every 5mT steps (41 different steps) |
|||||||||
Resistance Box |
——-+——-+——+——-+—–+ | |imag | e877| |
MΩ* | e878| | | e879| | |
+=======+ =======+=======+======+=======+=====+ | |imag |
e880| |
MΩ* | e881| | | e882| | |
——-+——-+——+——-+—–+ |
||||||||
+——+– —–+——-+——+——-+——-+ | Sens | 2 0 mV | |imag | 5 V | f | *113 | | |
+======+== =====+=======+======+=======+=======+ | τ | * 30 | * | AC | Gr | *N | | | m s | Input | | ound* | ormal | | |
|
| | | | erve* |
+——+– —–+——-+——+——-+——-+ DAQ settings: Rate: 8 Hz |
|||||||||
Period of measurement (min) |
1024 sec for each field |
||||||||
Data files |
in Folder NewMeasurements2020m440\* |
m443: rate:8 Hz 2048s Down
- Date
Montag, 23. März 2020
16:46
Angle of sensor θ |
+45 |
||||||||
|---|---|---|---|---|---|---|---|---|---|
Temp |
30 - 5 K (slow cooldown due to missing exchange gas) Starting @ 17:30 with 28K (INSTABLE) |
||||||||
Plusses |
|||||||||
|
|||||||||
Saturating at -.3T. sweeping from 100mT → -100mT measuring every 5mT steps (41 different steps) |
|||||||||
Resistance Box |
——-+——-+——+——-+—–+ | |imag | e943| |
MΩ* | e944| | | e945| | |
+=======+ =======+=======+======+=======+=====+ | |imag |
e946| |
MΩ* | e947| | | e948| | |
——-+——-+——+——-+—–+ |
||||||||
+——+– —–+——-+——+——-+——-+ | Sens | 2 0 μV | |imag | 5 V | f | *113 | | |
+======+== =====+=======+======+=======+=======+ | τ | * 100 | * | AC | Gr | *N | | | m s | Input | | ound* | ormal | | |
|
| | | | erve* |
+——+– —–+——-+——+——-+——-+ DAQ settings: Rate: 8 Hz |
|||||||||
Period of measurement (min) |
2048 sec for each field |
||||||||
Data files |
in Folder NewMeasurements2020m443\* |
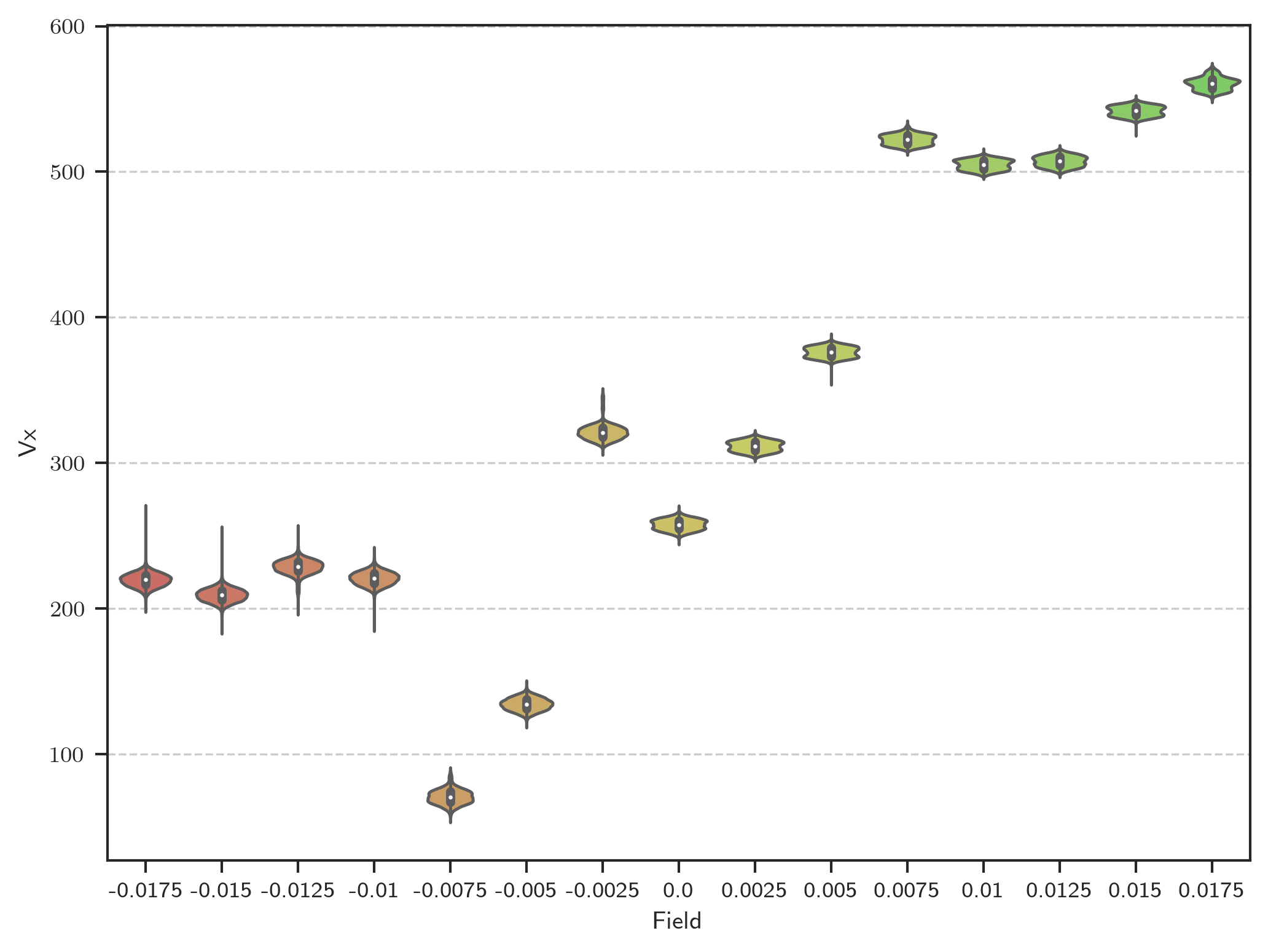
Violin Plot (-.05 -> -.01)
Mittwoch, 22. April 2020
11:47
Second Spectrum Info32
Mittwoch, 22. April 2020
11:13
Second Spectrum
Mittwoch, 22. April 2020
11:19
Time Signal vs Second Spectrum
Mittwoch, 22. April 2020
11:39
Second Spectrum 64 Averages
Mittwoch, 22. April 2020
12:45
m444: rate:8 Hz 2048s Up
- Date
Montag, 23. März 2020
17:29
Angle of sensor θ |
+45 |
||||||||
|---|---|---|---|---|---|---|---|---|---|
Temp |
Ended @ 11 K (INSTABLE) |
||||||||
Plusses |
|||||||||
|
|||||||||
Saturating at -.3T. sweeping from 100mT → -100mT measuring every 5mT steps (41 different steps) |
|||||||||
Resistance Box |
——-+——-+——+——-+—–+ | | |
image |
MΩ* | image | | image | |
1019| |
| 1020| | | 1021| | |
+=======+ =======+=======+======+=======+=====+ | | |
image |
MΩ* | image | | image | |
1022| |
| 1023| | | 1024| | |
——-+——-+——+——-+—–+ |
||||||||
+——+– —–+——-+——+——-+——-+ | Sens | 5 0 μV | | | 5 V | f | *113 | | |
|
| 1028| | | | |
+======+== =====+=======+======+=======+=======+ | τ | * 30 | * | AC | Gr | *N | | | m s | Input | | ound* | ormal | | |
|
| | | | erve* |
+——+– —–+——-+——+——-+——-+ DAQ settings: Rate: 8 Hz |
|||||||||
Period of measurement (min) |
2048 sec for each field |
||||||||
Data files |
in Folder NewMeasurements2020m444\* |
Noise Hysteresis (443/444)
Temperature Sweep from 30K -> 10K (to save Helium)
Mittwoch, 22. April 2020
11:26
Violin Plot (0.01 -> 0.05)
Mittwoch, 22. April 2020
15:07
Info 2
Mittwoch, 22. April 2020
14:33
Second Spectrum
Mittwoch, 22. April 2020
14:34
m445: rate:2 Hz ERROR
- Date
Freitag, 27. März 2020
13:58
Angle of sensor θ |
+45 |
||||||||
|---|---|---|---|---|---|---|---|---|---|
Temp |
10 K |
||||||||
Plusses |
|||||||||
|
|||||||||
Saturating at -.3T. sweeping from 100mT → -100mT measuring every 5mT steps (21 different steps) |
|||||||||
Resistance Box |
——-+——-+——+——-+—–+ | | |
image |
MΩ* | image | | image | |
1091| |
| 1092| | | 1093| | |
+=======+ =======+=======+======+=======+=====+ | | |
image |
MΩ* | image | | image | |
1094| |
| 1095| | | 1096| | |
——-+——-+——+——-+—–+ |
||||||||
+——+– —–+——-+——+——-+——-+ | Sens | 5 0 μV | | | 5 V | f | *113 | | |
|
| 1100| | | | |
+======+== =====+=======+======+=======+=======+ | τ | * 100 | * | AC | Gr | *N | | | m s | Input | | ound* | ormal | | |
|
| | | | erve* |
+——+– —–+——-+——+——-+——-+ DAQ settings: Rate: 2 Hz |
|||||||||
Period of measurement (min) |
2048 sec for each field |
||||||||
Data files |
in Folder NewMeasurements2020m445\* |
||||||||
Program did not measure the full time! It crashed always too early! |
|||||||||
Unable to evaluate data! |
m446: rate:8 Hz 2048s Down (15K)
- Date
Freitag, 27. März 2020
13:59
Angle of sensor θ |
+45 |
||||||||
|---|---|---|---|---|---|---|---|---|---|
Temp |
15 K |
||||||||
Plusses |
|||||||||
|
|||||||||
Saturating at 0.3T sweeping from 100mT → -100mT measuring every 5mT steps (41 different steps) |
|||||||||
Resistance Box |
——-+——-+——+——-+—–+ | | |
image |
MΩ* | image | | image | |
1157| |
| 1158| | | 1159| | |
+=======+ =======+=======+======+=======+=====+ | | |
image |
MΩ* | image | | image | |
1160| |
| 1161| | | 1162| | |
——-+——-+——+——-+—–+ |
||||||||
+——+– —–+——-+——+——-+——-+ | Sens | 5 0 μV | | | 5 V | f | *113 | | |
|
| 1166| | | | |
+======+== =====+=======+======+=======+=======+ | τ | * 100 | * | AC | Gr | *N | | | m s | Input | | ound* | ormal | | |
|
| | | | erve* |
+——+– —–+——-+——+——-+——-+ DAQ settings: Rate: 8 Hz |
|||||||||
Period of measurement (min) |
2048 sec for each field |
||||||||
Data files |
in Folder NewMeasurements2020m446\* |
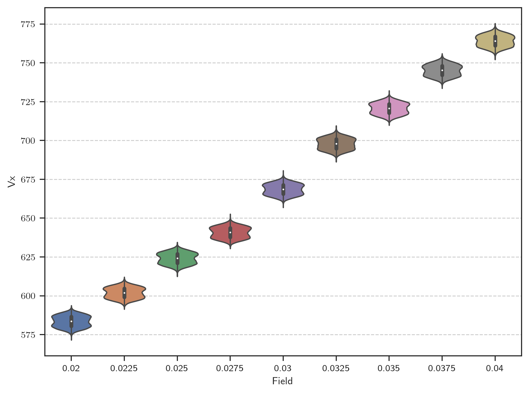
Violin Plot (-.015 -> .015)
Donnerstag, 16. April 2020
17:48
Second Spectrum
Dienstag, 21. April 2020
18:03
m447: rate:8 Hz 2048s Up (15K)
- Date
Freitag, 27. März 2020
14:01
Angle of sensor θ |
+45 |
||||||||
|---|---|---|---|---|---|---|---|---|---|
Temp |
15 K |
||||||||
Plusses |
|||||||||
|
|||||||||
Saturating at 0.3T sweeping from 100mT → -100mT measuring every 5mT steps (41 different steps) |
|||||||||
Resistance Box |
——-+——-+——+——-+—–+ | | |
image |
MΩ* | image | | image | |
1227| |
| 1228| | | 1229| | |
+=======+ =======+=======+======+=======+=====+ | | |
image |
MΩ* | image | | image | |
1230| |
| 1231| | | 1232| | |
——-+——-+——+——-+—–+ |
||||||||
+——+– —–+——-+——+——-+——-+ | Sens | 5 0 μV | | | 5 V | f | *113 | | |
|
| 1236| | | | |
+======+== =====+=======+======+=======+=======+ | τ | * 100 | * | AC | Gr | *N | | | m s | Input | | ound* | ormal | | |
|
| | | | erve* |
+——+– —–+——-+——+——-+——-+ DAQ settings: Rate: 8 Hz |
|||||||||
Period of measurement (min) |
2048 sec for each field |
||||||||
Data files |
in Folder NewMeasurements2020m447\* |
Violin Plot (.015 -> .045)
Mittwoch, 22. April 2020
15:23
Noise Hysteresis (446/447)
Mittwoch, 22. April 2020
15:22
Second Spectrum
Mittwoch, 22. April 2020
15:26
m448: rate:4 Hz 2048s Down (15K)
- Date
Dienstag, 31. März 2020
15:30
Angle of sensor θ |
+45 |
||||||||
|---|---|---|---|---|---|---|---|---|---|
Temp |
15 K |
||||||||
Plusses |
|||||||||
|
|||||||||
Saturating at 0.3T sweeping from 100mT → -100mT measuring every 5mT steps (41 different steps) |
|||||||||
Resistance Box |
——-+——-+——+——-+—–+ | | |
image |
MΩ* | image | | image | |
1297| |
| 1298| | | 1299| | |
+=======+ =======+=======+======+=======+=====+ | | |
image |
MΩ* | image | | image | |
1300| |
| 1301| | | 1302| | |
——-+——-+——+——-+—–+ |
||||||||
+——+– —–+——-+——+——-+——-+ | Sens | 5 0 μV | | | 5 V | f | *113 | | |
|
| 1306| | | | |
+======+== =====+=======+======+=======+=======+ | τ | * 100 | * | AC | Gr | *N | | | m s | Input | | ound* | ormal | | |
|
| | | | erve* |
+——+– —–+——-+——+——-+——-+ DAQ settings: Rate: 4 Hz |
|||||||||
Period of measurement (min) |
2048 sec for each field |
||||||||
Data files |
in Folder NewMeasurements2020m448\* |
m449: rate:4 Hz 2048s Up (15K)
- Date
Dienstag, 31. März 2020
15:30
Angle of sensor θ |
+45 |
||||||||
|---|---|---|---|---|---|---|---|---|---|
Temp |
15 K |
||||||||
Plusses |
|||||||||
|
|||||||||
Saturating at 0.3T sweeping from -100mT → 100mT measuring every 5mT steps (41 different steps) |
|||||||||
Resistance Box |
——-+——-+——+——-+—–+ | | |
image |
MΩ* | image | | image | |
1363| |
| 1364| | | 1365| | |
+=======+ =======+=======+======+=======+=====+ | | |
image |
MΩ* | image | | image | |
1366| |
| 1367| | | 1368| | |
——-+——-+——+——-+—–+ |
||||||||
+——+– —–+——-+——+——-+——-+ | Sens | 5 0 μV | | | 5 V | f | *113 | | |
|
| 1372| | | | |
+======+== =====+=======+======+=======+=======+ | τ | * 100 | * | AC | Gr | *N | | | m s | Input | | ound* | ormal | | |
|
| | | | erve* |
+——+– —–+——-+——+——-+——-+ DAQ settings: Rate: 4 Hz |
|||||||||
Period of measurement (min) |
2048 sec for each field |
||||||||
Data files |
in Folder NewMeasurements2020m446\* |
Noise Hysteresis (448/449)
Mittwoch, 22. April 2020
15:43
m450: EMPTY rate:8 Hz 1024s Down (15K)
- Date
Dienstag, 31. März 2020
15:30
Angle of sensor θ |
+45 |
||||||||
|---|---|---|---|---|---|---|---|---|---|
Temp |
15 K |
||||||||
Empty Cross #2 |
|||||||||
|
|||||||||
Saturating at 0.3T sweeping from 100mT → -100mT measuring every 5mT steps (41 different steps) |
|||||||||
Resistance Box |
——-+——-+——+——-+—–+ | | |
image |
MΩ* | image | | image | |
1430| |
| 1431| | | 1432| | |
+=======+ =======+=======+======+=======+=====+ | | |
image |
MΩ* | image | | image | |
1433| |
| 1434| | | 1435| | |
——-+——-+——+——-+—–+ |
||||||||
+——+– —–+——-+——+——-+——-+ | Sens | 5 00 | | | 5 V | f | 113 | | | μ V | image | | | Hz | | |
+======+== =====+=======+======+=======+=======+ | τ | * 100 | * | AC | Gr | *N | | | m s | Input | | ound* | ormal | | |
|
| | | | erve* |
+——+– —–+——-+——+——-+——-+ DAQ settings: Rate: 8 Hz |
|||||||||
Period of measurement (min) |
2048 sec for each field |
||||||||
Comment |
After Filling Helium measured high signal! Changed Sensitivity to 500 μV |
Contour Plot Info
Samstag, 16. Mai 2020
19:13
m451: EMPTY rate:8 Hz 1024s Up (15K)
- Date
Mittwoch, 1. April 2020
14:03
Angle of sensor θ |
+45 |
||||||||
|---|---|---|---|---|---|---|---|---|---|
Temp |
15 K |
||||||||
Empty Cross #2 |
|||||||||
|
|||||||||
Saturating at 0.3T sweeping from 100mT → -100mT measuring every 5mT steps (41 different steps) |
|||||||||
Resistance Box |
——-+——-+——+——-+—–+ | | |
image |
MΩ* | image | | image | |
1497| |
| 1498| | | 1499| | |
+=======+ =======+=======+======+=======+=====+ | | |
image |
MΩ* | image | | image | |
1500| |
| 1501| | | 1502| | |
——-+——-+——+——-+—–+ |
||||||||
+——+– —–+——-+——+——-+——-+ | Sens | 5 00 | | | 5 V | f | 113 | | | μ V | image | | | Hz | | |
+======+== =====+=======+======+=======+=======+ | τ | * 100 | * | AC | Gr | *N | | | m s | Input | | ound* | ormal | | |
|
| | | | erve* |
+——+– —–+——-+——+——-+——-+ DAQ settings: Rate: 8 Hz |
|||||||||
Period of measurement (min) |
1024 sec for each field |
||||||||
Comment |
After Filling Helium measured high signal! Changed Sensitivity to 500 μV |
Contour Plot Info
Samstag, 16. Mai 2020
19:14
Noise Hysteresis (Empty Reference)
Mittwoch, 22. April 2020
15:46
Changing Angle (80deg)
Donnerstag, 2. April 2020
15:26
Angle of sensor θ |
80 |
||
|---|---|---|---|
|
|||
Notes |
Voltage before Changing Angle: -17,166 mV Changing Angle to 0deg to measure new maximum Voltage: V_Max = - 25,023 mV |
<<m452_ChangeAngle.dat>>
Aiming for Hall Voltage:
Voltage measured:
New Gradiometry Setup for this Angle (Plusses: 13-1): R_12 = 15 kΩ
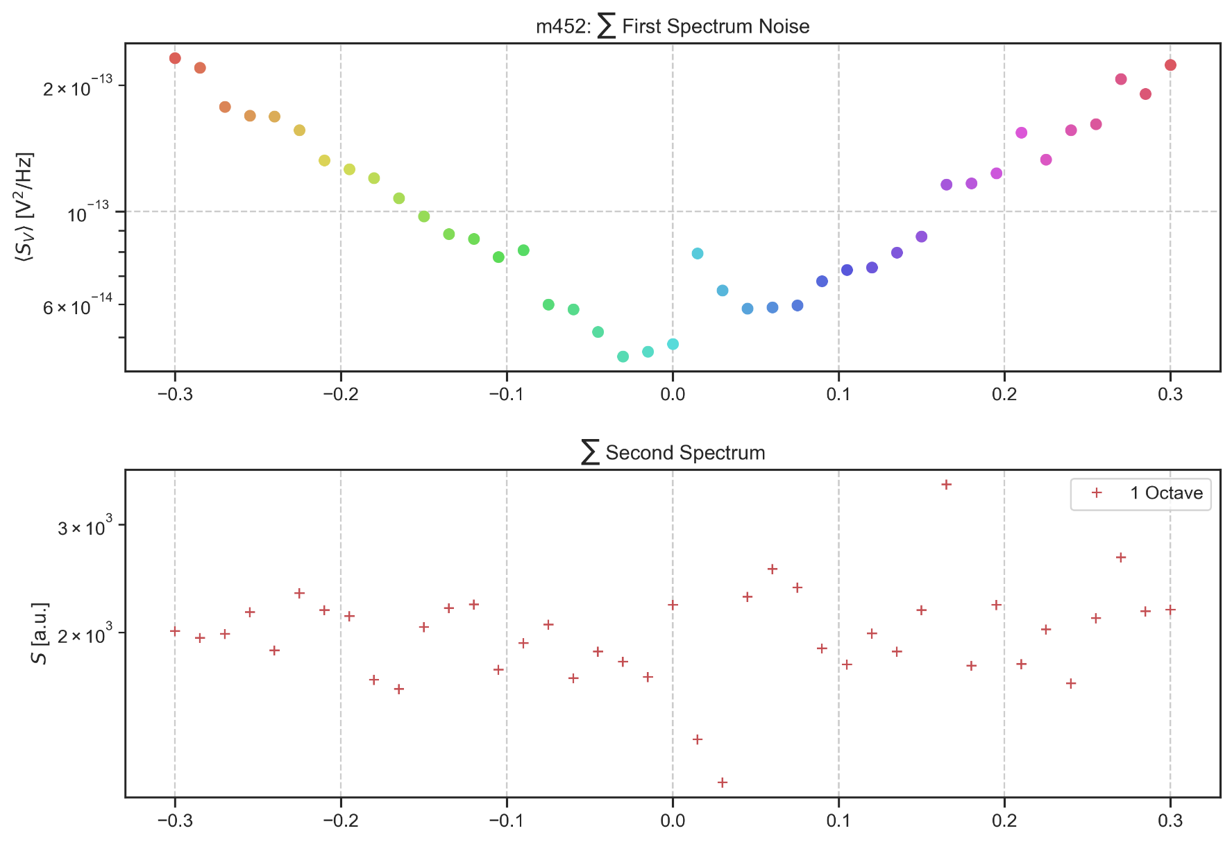
m452: rate:8 Hz 2048s Down (15K)
- Date
Dienstag, 7. April 2020
16:26
Angle of sensor θ |
+80 |
||||||||
|---|---|---|---|---|---|---|---|---|---|
Temp |
15 K |
||||||||
Plusses |
|||||||||
|
|||||||||
Saturating at 0.4T sweeping from 300mT → -300mT measuring every 15mT steps (41 different steps) |
|||||||||
Resistance Box |
+——–+– ——+——–+—–+——–+—–+ | |imag | * 1 MΩ* | |imag | 15 | |imag | | | e1587| |
+========+== ======+========+=====+========+=====+ | |imag | * 1 MΩ* | |imag | *7* | |imag | *1* | | e1590| |
+——–+– ——+——–+—–+——–+—–+ |
||||||||
+——+– —–+——-+——+——-+——-+ | Sens | 5 0 μV | | | 5 V | f | *17 | | |
|
| 1596| | | | |
+======+== =====+=======+======+=======+=======+ | τ | * 100 | * | AC | Gr | *N | | | m s | Input | | ound* | ormal | | |
|
| | | | erve* |
+——+– —–+——-+——+——-+——-+ DAQ settings: Rate: 8 Hz |
|||||||||
Period of measurement (min) |
1024 sec for each field |
||||||||
Comment |
Contour Plot Info
Samstag, 16. Mai 2020
19:34
Second Spectrum
Mittwoch, 22. April 2020
15:58
m453: rate:8 Hz 2048s Up (15K)
- Date
Freitag, 10. April 2020
10:41
Angle of sensor θ |
+80 |
||||||||
|---|---|---|---|---|---|---|---|---|---|
Temp |
15 K |
||||||||
Plusses |
|||||||||
|
|||||||||
Saturating at -0.5T sweeping from -300mT → 300mT measuring every 15mT steps (41 different steps) |
|||||||||
Resistance Box |
+——–+– ——+——–+—–+——–+—–+ | |imag | * 1 MΩ* | |imag | 15 | |imag | | | e1656| |
+========+== ======+========+=====+========+=====+ | |imag | * 1 MΩ* | |imag | *7* | |imag | *1* | | e1659| |
+——–+– ——+——–+—–+——–+—–+ |
||||||||
+——+– —–+——-+——+——-+——-+ | Sens | 5 0 μV | | | 5 V | f | *17 | | |
|
| 1665| | | | |
+======+== =====+=======+======+=======+=======+ | τ | * 100 | * | AC | Gr | *N | | | m s | Input | | ound* | ormal | | |
|
| | | | erve* |
+——+– —–+——-+——+——-+——-+ DAQ settings: Rate: 8 Hz |
|||||||||
Period of measurement (min) |
1024 sec for each field |
||||||||
Comment |
Contour Plot Info
Samstag, 16. Mai 2020
19:34
Second Spectrum
Mittwoch, 22. April 2020
16:07
Noise Hysteresis
Mittwoch, 22. April 2020
16:04
m454: rate:8 Hz 2048s Down (15K)
- Date
Freitag, 10. April 2020
10:51
Angle of sensor θ |
+80 |
||||||||
|---|---|---|---|---|---|---|---|---|---|
Temp |
15 K |
||||||||
Plusses |
|||||||||
|
|||||||||
Saturating at 0.5T sweeping from 100mT → 100mT measuring every 5mT steps (41 different steps) |
|||||||||
Resistance Box |
+——–+– ——+——–+—–+——–+—–+ | |imag | * 1 MΩ* | |imag | 15 | |imag | | | e1725| |
+========+== ======+========+=====+========+=====+ | |imag | * 1 MΩ* | |imag | *7* | |imag | *1* | | e1728| |
+——–+– ——+——–+—–+——–+—–+ |
||||||||
+——+– —–+——-+——+——-+——-+ | Sens | 5 0 μV | | | 5 V | f | *17 | | |
|
| 1734| | | | |
+======+== =====+=======+======+=======+=======+ | τ | * 100 | * | AC | Gr | *N | | | m s | Input | | ound* | ormal | | |
|
| | | | erve* |
+——+– —–+——-+——+——-+——-+ DAQ settings: Rate: 8 Hz |
|||||||||
Period of measurement (min) |
2048 sec for each field |
||||||||
Comment |
Error Measurement Length
Mittwoch, 22. April 2020
15:37
m455: rate:8 Hz 2048s Up (15K)
- Date
Freitag, 10. April 2020
10:52
Angle of sensor θ |
+80 |
||||||||
|---|---|---|---|---|---|---|---|---|---|
Temp |
15 K |
||||||||
Plusses |
|||||||||
|
|||||||||
Saturating at -0.5T sweeping from -150mT → 150mT measuring every 5mT steps (61 different steps) |
|||||||||
Resistance Box |
+——–+– ——+——–+—–+——–+—–+ | |imag | * 1 MΩ* | |imag | 15 | |imag | | | e1792| |
+========+== ======+========+=====+========+=====+ | |imag | * 1 MΩ* | |imag | *7* | |imag | *1* | | e1795| |
+——–+– ——+——–+—–+——–+—–+ |
||||||||
+——+– —–+——-+——+——-+——-+ | Sens | 5 0 μV | | | 5 V | f | *17 | | |
|
| 1801| | | | |
+======+== =====+=======+======+=======+=======+ | τ | * 100 | * | AC | Gr | *N | | | m s | Input | | ound* | ormal | | |
|
| | | | erve* |
+——+– —–+——-+——+——-+——-+ DAQ settings: Rate: 8 Hz |
|||||||||
Period of measurement (min) |
2048 sec for each field |
||||||||
Comment |
m456: rate:8 Hz multiple 2048s at 0 T
- Date
Freitag, 10. April 2020
10:53
Angle of sensor θ |
+80 |
||||||||
|---|---|---|---|---|---|---|---|---|---|
Temp |
15 K |
||||||||
Plusses |
|||||||||
|
|||||||||
Turn off magnet to save helium. Measuring while warming up. |
|||||||||
Resistance Box |
+——–+– ——+——–+—–+——–+—–+ | |imag | * 1 MΩ* | |imag | 15 | |imag | | | e1858| |
+========+== ======+========+=====+========+=====+ | |imag | * 1 MΩ* | |imag | *7* | |imag | *1* | | e1861| |
+——–+– ——+——–+—–+——–+—–+ |
||||||||
+——+– —–+——-+——+——-+——-+ | Sens | 5 0 μV | | | 5 V | f | *17 | | |
|
| 1867| | | | |
+======+== =====+=======+======+=======+=======+ | τ | * 100 | * | AC | Gr | *N | | | m s | Input | | ound* | ormal | | |
|
| | | | erve* |
+——+– —–+——-+——+——-+——-+ DAQ settings: Rate: 8 Hz |
|||||||||
Period of measurement (min) |
2048 sec for each file times 61 Files = around 35 Hours!!! |
Histogram (Gaussian Data)
Dienstag, 21. April 2020
15:49
Second Spectrum
Mittwoch, 22. April 2020
16:46
Analysis
Sonntag, 17. Mai 2020
14:01
45deg Plusses
Dienstag, 19. Mai 2020
15:34
8 Hz
Sonntag, 17. Mai 2020
14:01
32 Hz
Dienstag, 19. Mai 2020
15:36
Empty Background 45deg (450/451)
Dienstag, 19. Mai 2020
09:51
80deg wide sweep (452/453)
Dienstag, 19. Mai 2020
09:50
m458: rate:8 Hz 2048s Down (15K)
- Date
Samstag, 20. Juni 2020
13:14
Angle of sensor θ |
+80 |
||||||||
|---|---|---|---|---|---|---|---|---|---|
Temp |
15 K |
||||||||
Plusses |
|||||||||
|
|||||||||
Saturating at 0.4T sweeping from 100mT → -100mT measuring every 5mT steps (41 different steps) |
|||||||||
Resistance Box |
+——–+– ——+——–+—–+——–+—–+ | |imag | * 1 MΩ* | |imag | 15 | |imag | | | e1931| |
+========+== ======+========+=====+========+=====+ | |imag | * 1 MΩ* | |imag | *7* | |imag | *1* | | e1934| |
+——–+– ——+——–+—–+——–+—–+ |
||||||||
+——+– —–+——-+——+——-+——-+ | Sens | 1 00 | | | 5 V | f | 17 | | | μ V | image | | | Hz | | |
+======+== =====+=======+======+=======+=======+ | τ | * 100 | * | AC | Gr | *N | | | m s | Input | | ound* | ormal | | |
|
| | | | erve* |
+——+– —–+——-+——+——-+——-+ DAQ settings: Rate: 8 Hz |
|||||||||
Period of measurement (min) |
2048 sec for each field |
||||||||
Comment |
m459: rate:8 Hz 2048s Up (15K)
- Date
Samstag, 20. Juni 2020
13:14
Angle of sensor θ |
+80 |
||||||||
|---|---|---|---|---|---|---|---|---|---|
Temp |
15 K |
||||||||
Plusses |
|||||||||
|
|||||||||
Saturating at 0.4T sweeping from 100mT → -100mT measuring every 5mT steps (41 different steps) |
|||||||||
Resistance Box |
+——–+– ——+——–+—–+——–+—–+ | |imag | * 1 MΩ* | |imag | 15 | |imag | | | e1996| |
+========+== ======+========+=====+========+=====+ | |imag | * 1 MΩ* | |imag | *7* | |imag | *1* | | e1999| |
+——–+– ——+——–+—–+——–+—–+ |
||||||||
+——+– —–+——-+——+——-+——-+ | Sens | 1 00 | | | 5 V | f | 17 | | | μ V | image | | | Hz | | |
+======+== =====+=======+======+=======+=======+ | τ | * 100 | * | AC | Gr | *N | | | m s | Input | | ound* | ormal | | |
|
| | | | erve* |
+——+– —–+——-+——+——-+——-+ DAQ settings: Rate: 8 Hz |
|||||||||
Period of measurement (min) |
2048 sec for each field |
||||||||
Comment |
m460: rate:8 Hz 2048s Down (15K)
- Date
Samstag, 27. Juni 2020
12:00
Angle of sensor θ |
+80 |
||||||||
|---|---|---|---|---|---|---|---|---|---|
Temp |
15 K |
||||||||
Plusses |
|||||||||
|
|||||||||
Saturating at 0.5T sweeping from 100mT → 100mT measuring every 5mT steps (41 different steps) |
|||||||||
Resistance Box |
+——–+– ——+——–+—–+——–+—–+ | |imag | * 1 MΩ* | |imag | 15 | |imag | | | e2061| |
+========+== ======+========+=====+========+=====+ | |imag | * 1 MΩ* | |imag | *7* | |imag | *1* | | e2064| |
+——–+– ——+——–+—–+——–+—–+ |
||||||||
+——+– —–+——-+——+——-+——-+ | Sens | 1 00 | | | 5 V | f | 17 | | | μ V | image | | | Hz | | |
+======+== =====+=======+======+=======+=======+ | τ | * 30 | * | AC | Gr | *N | | | m s | Input | | ound* | ormal | | |
|
| | | | erve* |
+——+– —–+——-+——+——-+——-+ DAQ settings: Rate: 8 Hz |
|||||||||
Period of measurement (min) |
2048 sec for each field |
||||||||
Comment |
m461: rate:8 Hz 2048s Up (15K)
- Date
Samstag, 27. Juni 2020
12:00
Angle of sensor θ |
+80 |
||||||||
|---|---|---|---|---|---|---|---|---|---|
Temp |
15 K |
||||||||
Plusses |
|||||||||
|
|||||||||
Saturating at 0.5T sweeping from 100mT → 100mT measuring every 5mT steps (41 different steps) |
|||||||||
Resistance Box |
+——–+– ——+——–+—–+——–+—–+ | |imag | * 1 MΩ* | |imag | 15 | |imag | | | e2126| |
+========+== ======+========+=====+========+=====+ | |imag | * 1 MΩ* | |imag | *7* | |imag | *1* | | e2129| |
+——–+– ——+——–+—–+——–+—–+ |
||||||||
+——+– —–+——-+——+——-+——-+ | Sens | 1 00 | | | 5 V | f | 17 | | | μ V | image | | | Hz | | |
+======+== =====+=======+======+=======+=======+ | τ | * 30 | * | AC | Gr | *N | | | m s | Input | | ound* | ormal | | |
|
| | | | erve* |
+——+– —–+——-+——+——-+——-+ DAQ settings: Rate: 8 Hz |
|||||||||
Period of measurement (min) |
2048 sec for each field |
||||||||
Comment |
m462: rate:8 Hz 2048s Down (15K)
- Date
Samstag, 27. Juni 2020
12:00
Angle of sensor θ |
+80 |
||||||||
|---|---|---|---|---|---|---|---|---|---|
Temp |
15 K |
||||||||
Plusses |
|||||||||
|
|||||||||
Saturating at 0.5T sweeping from 100mT → 100mT measuring every 5mT steps (41 different steps) |
|||||||||
Resistance Box |
+——–+– ——+——–+—–+——–+—–+ | |imag | * 1 MΩ* | |imag | 15 | |imag | | | e2191| |
+========+== ======+========+=====+========+=====+ | |imag | * 1 MΩ* | |imag | *7* | |imag | *1* | | e2194| |
+——–+– ——+——–+—–+——–+—–+ |
||||||||
+——+– —–+——-+——+——-+——-+ | Sens | 1 00 | | | 5 V | f | 17 | | | μ V | image | | | Hz | | |
+======+== =====+=======+======+=======+=======+ | τ | * 30 | * | AC | Gr | *N | | | m s | Input | | ound* | ormal | | |
|
| | | | erve* |
+——+– —–+——-+——+——-+——-+ DAQ settings: Rate: 8 Hz |
|||||||||
Period of measurement (min) |
2048 sec for each field |
||||||||
Comment |






![Machine generated alternative text: Length=600s Down-Sweep Noise PSD 15 6 x 10 15 15 3 x 10 15 2 x 10 15 10 x 10 x 10 x 10 —0.20 —0.15 —0.10 2.0 1.5 1.0 0.5 x 10 —0.10 —0.20 —0.15 —0.10 —0.20 —0.15 —0.10 4 x 10 6 7 Rate x 10 5 —0.05 Fift W4e 8 0.20 10 10 6 15 14 15 Noise Fit at 1 Hz —0.05 0.00 0.05 Noise Sum —0.05 0.00 0.05 Hysteresis Loop —0.20 2.1 2.0 1.9 1.8 1.7 —0.15 100 0.00 (Beat 300 Time 0.05 0.10 = 0.00 T) Timesignal 200 0.15 500 —15 0.10 0.10 0.10 0.15 0.15 0.15 0.20 0.20 0.20 —0.05 0.00 Hext 0.05 T]](../../_images/image1713.png)















![Machine generated alternative text: Rate=16 Hz, Length =1024s 10 10 10—11 12 10 0.6 0.4 0.2 2 x 10 270 265 260 255 250 245 Noise PSD 0.00 0.02 0.04 100 10 10 6 x 10 4 x 10 3 x 10 11 12 10 10 10 10 —0.02 200 0.06 0.10 1000 —0.02 —0.02 —0.02 0.00 0.00 0.00 Noise Fit at 1 Hz 0.02 0.04 Noise Sum 0.02 0.04 Hysteresis Loop Timesignal (Bext = 0.00 T) 600 Time 0.08 800 1000 500 —500 0.06 0.06 0.06 0.08 0.08 0.08 0.10 0.10 0.10 0.02 Hext 0.04 T]](../../_images/image3413.png)










![Machine generated alternative text: Rate Length=512s Down sweep Noise PSD 10 10 —0.20 —0.15 —0.10 —0.20 —0.15 —0.10 1.0 0.5 —0.20 —0.15 —0.10 11 12 10 10 10 11 12 10 0.7 0.6 0.5 0.4 0.3 0.2 —0.20 0.00 —0.02 —0.06 100 0.00 (Bext = Noise Fit at 1 Hz —0.05 0.00 0.05 Noise Sum —0.05 0.00 0.05 Hysteresis Loop —0.15 100 —0.10 —0.05 Timesignal 200 0.05 0.10 -0.02 T) 0.15 0.20 500 —1.0 —1.5 0.10 0.10 0.10 0.15 0.15 0.15 0.20 0.20 0.20 300 Time —0.05 0.00 Hext 0.05 T]](../../_images/image4513.png)

![Machine generated alternative text: m435: Rate—IG Hz, Length—1024s switched polarity — 10 10 11 12 10 0.7 0.6 0.5 0.4 0.3 0.2 0.1 2.05 2.04 > 2.03 2.02 2.01 2.00 Noise PSD 100 —0.100 —0.075 —0.050 —0.025 0.ooo 0.025 0.050 0.075 0.100 Timesignal (Bext = 0.07 T) 11 12 10 —0.100 10 10 10 —0.075 —0.075 —0.075 Noise Fit at 1 Hz —0.050 —0.025 0.ooo 0.025 0.050 0.075 0.100 Noise Sum —0.050 —0.025 0.ooo 0.025 0.050 0.075 0.100 Hysteresis Loop 200 600 800 1000 —0.100 0 —0.100 Time —0.050 —0.025 0.ooo Hext 0.025 0.050 0.075 0.100 T]](../../_images/image4713.png)
![Machine generated alternative text: Rate Noise PSD 10 — 10 10 —0.15 —0.10 —0.05 —0.15 —0.10 —0.15 —0.10 10 11 12 2 x 10 2.00 1.75 1.50 1.25 1.00 0.75 0.50 —0.15 1.16 1.14 1.12 1.10 1.08 1.06 3 m436: x 10 Length =1027s Noise Fit at 1 Hz x 10 4 x 10 wozAe 0.00 0.05 6 0.10 — 10 10 10 10 11 12 10 —0.10 200 0.20 1000 —0.05 —0.05 —0.05 0.00 0.05 Noise Sum 0.15 0.00 0.05 Timesignal (Bext = 0.01 T) 600 Time Hysteresis Loop 800 0.10 0.10 0.10 0.15 0.15 0.15 0.20 0.20 0.20 0.00 Hext 0.05 T]](../../_images/image4813.png)









![Machine generated alternative text: m440: Rate=32 Hz, Length=512s nofSpectra: 64 Noise PSD 15 10 0.5 0.4 0.3 0.2 0.1 —0.100 —0.0172 —0.0173 —0.0174 —0.0175 —0.0176 —0.0177 3 x 10 2 x 10 6 x 10 4 x 10 3 x 10 15 15 15 —0.100 14 14 —0.100 Noise Fit at 1 Hz —0.050 —0.025 0.ooo 0.025 0.050 0.075 0.100 Noise Sum —0.050 —0.025 0.ooo 0.025 0.050 0.075 0.100 Hysteresis Loop —0.075 100 100 Fit —0.050 —0.025 0.000 Timesignal (Bext 200 Time 0.025 0.050 = 0.01 T) 300 0.075 0.100 500 0.02 0.01 0.00 —0.01 —0.02 —0.03 —0.100 —0.075 —0.075 —0.075 —0.050 —0.025 0.ooo Hext 0.025 0.050 0.075 0.100 T]](../../_images/image5913.png)

































![Machine generated alternative text: m 449 : — 4 x 10 10 x 10 x 10 10 —0.100 1.4 1.2 1.0 0.8 x 10 —0.100 —0.100 —0.0260 —0.0265 —0.0270 —0.0275 250 —0.100 Rate 0.050 1750 Length=2048s nofSpectra: 64 Noise PSD 4 0.075 2000 3 x 10 2 x 10 10 2 x 10 10 6 15 15 15 —0.075 —0.050 2 x 10 Fit o.ooo —0.025 3 0.025 15 13 13 Timesignal (Bext = 0.00 T) —0.075 —0.075 —0.075 —0.050 —0.050 —0.050 Noise Fit at 1 Hz o.ooo —0.025 Noise Sum o.ooo —0.025 Hysteresis Loop 0.01 0.00 —0.01 —0.02 —0.03 500 750 0.025 0.025 0.025 0.050 0.050 0.050 0.075 0.075 0.075 1000 Time 1250 1500 —0.025 Hext o.ooo T]](../../_images/image933.png)


















![Machine generated alternative text: m452: Noise PSD Rate=8 Hz, Length= 100 1024.os Noise PSD 10—14 10¯15 200 -100 2.2 2.0 1.8 1.6 0.3 PSD = 15.00 mT) 6 x 10 4 x 10 3 x 10 -1 -1 -1 -1 -0.3 -0.2 -0.1 Fit YI-Bbe 600 [s] 100 0.2 1000 -13 -13 10 -14 6 x 10 -0.3 -0.005 -0.010 -0.015 -0.020 -0.3 100 200 Sum 0.1 0.1 800 -0.2 -0.2 -0.1 Time resolved Hysteresis Loop 1.50 1.25 1.00 0.75 0.50 0.25 200 10 -15 -0.1 300 0.2 0.2 10-15 0.3 0.3 400 Time 0.1 uoHext [T]](../../_images/image1142.png)


![Machine generated alternative text: m453: Noise PSD Rate Length=1024s nofSpectra: 64 10 1.6 1.4 d 1.2 1.0 0.8 —0.0036 —0.0038 —0.0040 —0.0042 10 2 x 10 3 x 10 x 10 x 10 x 10 x 10 x 10 4 x 10 0.1 3 2 2 6 4 15 15 15 13 13 Noise Fit at 1 Hz 0.1 Noise Sum 0.1 Hysteresis Loop 200 Fit Timesignal (Bext Time 6 0.2 800 10 x 10 x 10 = 0.00 mT) 600 0.3 1000 o.ooo —0.005 —0.1 —0.1 0.2 0.2 0.2 0.3 0.3 0.3 Hext 0.1 T]](../../_images/image1172.png)
![Machine generated alternative text: 1024.os Noise PSD 10—14 (f) 10¯15 2.2 2.0 1.8 1.6 0.3 m453: 100 0.2 Rate=8 Hz, Length= 100 Fit YI-Bbe Noise PSD 100 200 Sum -0.2 -0.1 -1 6 x 10 -1 4 x 10 -1 3 x 10 -1 -13 -13 10 -14 6 x 10 o.ooo -0.005 -0.010 -0.015 -200 -100 -0.2 0.1 (Bext= - 15.00 mT) -0.1 0.1 Time resolved PSD Hysteresis Loop 1.50 1.25 1.00 0.75 0.50 0.25 200 10 -15 300 0.2 0.2 10-15 0.3 0.3 400 Time 600 [s] 800 1000 -0.2 -0.1 0.1 uoHext [T]](../../_images/image1182.png)


![Machine generated alternative text: Rate Length=1920s nofSpectra: 64 10 1.0 0.9 0.8 0.7 0.6 0.5 0.0010 0.0005 o.oooo —0.0005 —0.0010 —0.0015 10 0.00 250 Noise PSD 3 x 10 Fit 0.04 Noise Fit at 1 Hz 2 x 10 0.02 4 x 10 0.06 6 0.08 1500 3 x 10 2 x 10 x 10 10 0.10 15 15 0.00 13 0.00 0.02 0.02 0.02 0.04 Noise Sum 0.04 0.06 0.06 Timesignal (Bext = 0.00 mT) Hysteresis Loop 500 750 0.08 0.08 0.08 0.10 0.10 0.10 1000 Time 1250 1750 0.002 0.001 o.ooo —0.001 —0.002 0.00 0.04 Hext 0.06 T]](../../_images/image1213.png)

![Machine generated alternative text: Rate 10 13 10 Noise PSD 3 x 10 m455: 6 Length=1920s nofSpectra: 64 Noise Fit at 1 Hz —0.10 0.10 x 10 x 10 x 10 x 10 —0.15 —0.10 x 10 x 10 x 10 —0.15 —0.10 —0.15 —0.10 II 2 x 10 —0.05 4 3 2 4 3 2 1.75 1.50 d 1.25 1.00 0.75 0.50 —0.15 —0.022 —0.023 —0.024 —0.025 —0.026 Fit 0.00 (Bext = 1000 Time 10 15 15 15 13 13 13 13 0.15 1750 —0.05 —0.05 —0.05 0.00 Noise Sum 0.00 Hysteresis Loop 0.05 0.05 Timesignal 500 750 0.05 10.00 mT) 1250 —0.005 —0.010 —0.015 —0.020 —0.025 250 1500 0.10 0.10 0.10 0.15 0.15 0.15 0.00 Hext 0.05 T]](../../_images/image1232.png)












